PRZYKŁAD 3-2

Zaprojektować śrubowy styk pasa rozciąganego blachownicy. Przekrój pasa wynosi 20 x 350 mm , stal St3S (fd=205 MPa).
Ponieważ nie jest znana siła w pasie , obliczenie przeprowadzono metodą „na przekrój”. Przyjęto jedną nakładkę na zewnątrz styku , o przekroju 10 x 350 mm i dwie nakładki od wewnątrz , o przekroju 12 x 150 mm każda.
Orientacyjne określenie średnicy śruby:
![]()
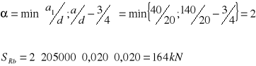
Przyjęto śruby M20-5.6 - SR, kN

Przekrój pasa:
![]()
![]()
Obliczenie wymaganej liczby śrub ze względu na ścinanie i docisk:

Ostatecznie przyjęto , z pewnym zapasem , po 10 śrub z każdej strony styku.