PODSTAWY REKREACJI - ćwiczenia
03.03.2010
Rekreacja - (z łac. Rekreo) - przywrócić do życia, ożywić, wzmocnić, pokrzepić, a także na nowo stworzyć.
Ćwiczenia fizyczne w rekreacji ruchowej mają charakter prozdrowotny, będą miały na celu:
zwiększyć adaptację fizyczną organizmu do wysiłku fizycznego
poprawić sprawność ruchową
wykształcić pozytywne postawy do czynnego wypoczynku
Szczególnie rekreacja wpływa na:
zapobiega chorobom układu krążenia
wzmacnia ścięgna i kości
polepsza koordynację ruchową
zwiększa odporność na nieprzewidziane trudy życia codziennego
aktywność ruchowa poprawia samopoczucie psychiczne (wydzielanie endorfin w CUN)
racjonalne wykorzystanie spożytych pokarmów (lepsze spalanie)
zmniejsza otyłość i ułatwia jej leczenie.
10.03.2010.
Istota treningu rekreacyjnego.
Każdy bodziec o odp. Intensywności, działając na organizm człowieka w ciągu dłuższego czasu wywołuje określoną reakcję, zwykle ma ona charakter morfofunkcjonalny, co oznacza, że organizm odpowiada na nią zarówno wytoczeniem pewnych cech strukturalnych, jak też określonych sposobów reagowania (tzw. czynnościowych stereotypów dynamicznych)
Ruch jest bodźcem, na który organizm odpowiada reakcją przystosowawczą.
Zwiększona aktywność ruchowa powoduje wzrost poziomu wydolności fizycznej rozumianej jako zdolność do ciężkich lub długotrwałych wysiłków fizycznych, wykonywanych z udziałem dużych grup mięśniowych bez szybko narastającego zmęczenia, tzn. w warunkach równowagi czynnościowej - homeostazy.
VO2max - maksymalna ilość pobieranego tlenu.
Mięśnie poprzecznie prążkowane:
Mięsień zbudowany jest z cienkich, długich komórek zwanych włóknami mięśniowymi (dł. Od 1 mm do kilkunastu cm, gr do 0,1 mm. Włókno mięśniowe otacza błona komórkowa (sarcolenna) w obrębie cytoplazmy tzw sarkoplazmy.
Miofibryle posiadają ciemniejsze prążki zwane A - anizotropowe (z jasnymi przebarwieniami H) i jaśniejsze prążki I - izotropowe (ciemniejsze przebarwienia Z). Odcinek pomiędzy 2 warstwami Z tworzy jednostkę kurczliwą - sarkomer.
Włókna mięśniowe składają się z 2 rodzajów białek: aktyny i miozyny. Podczas skurczu nici miozyny wciągają nitki aktyny (aktyna przesuwa się względem miozyny).
Przemiana materii i energii w mięśniach:
Produkty pokarmowe ulegają przemianie na mniejsze cząsteczki w drodze hydrolizy (poziom układu pokarmowego) i fosfolizy (poziom komórkowy).
Podstawowym źródłem energetycznym jest ATP, który w wyniku przemian przekształca się w ADP.
Reaktywacja ATP w wyniku przemian:
tlenowych
beztlenowych kwasomlekowych
beztlenowych niekwasomlekowych
Paliwem mięśni szkieletowych wykorzystywanym jako czynnik energetyczny jest glikogen (zawartość ok. 400 g w mięśniach).
Proces spalania (utleniania) glukozy i innych związków chemicznych.
Glikoliza w warunkach beztlenowych.
W wyniku impulsu nerwowego mięsień jest pobudzony (polaryzacja)
Skurcze:
izotoniczny - mięsień się skraca, napięcie jest stałe
izometryczny - mięsień stały, napięcie zmienne
auksotoniczny - zmienia się i długość i napięcie
tężcowy - skurcz w serii kilku bodźców
kloniczny - seria szybkich skurczów
Mięsień nierozciągnięty kurczy się z małą siłą, zwiększając rozciągnięcie mięśnia, zwiększamy potencjalną siłę jego skurczu ( i odwrotnie). Przekraczanie optymalnego rozciągnięcia powoduje obniżenie siły skurczu.
Ruchy całego ciała są spowodowane skurczami auksotonicznymi i tężcowymi!
Zmęczenie mięśnia to zmniejszenie jego aktywności w wyniku wyczerpywania substratów energetycznych w mięśniu lub zmniejszenia aktywności bioelektrycznej (zmęczenie nerwowe) - zwiększa się zawartość wody, mięsień jest obrzmiały i skrócony. W takim mięśniu podwyższony jest poziom kwasu mlekowego i obniżony jest poziom glikogenu.
17.03.2010
Trening - proces specjalizacji sportowej nie poruszający harmonijnego rozwoju osobowości zawodnika, zmierza do maksymalnego rozwinięcia cech fizycznych, psychicznych i wychowawczych zapewniających osiągnięcie najlepszego wyniku.
W sporcie kształtujemy specyficzne zdolności motoryczne w rekreacji fizycznej. Kształtowanie tych zdolności ma charakter ogólny - podtrzymujący - kompensacyjny.
Zdolności motoryczne - potencjalne możliwości organizmu gwarantujące aktywność ruchową (rekreacyjną i sportową)
dyspozycje psychiczne
dyspozycje umysłowe
dyspozycje koordynacyjne
dyspozycje kondycyjne
budowa ciała
interdyspozycja osobnicza zespolona umiejętność działania
Rozgrzewka - zespól specjalnie dobranych ćwiczeń fizycznych, które zawodnik wykonuje świadomie w celu przygotowania organizmu do czekającego go wysiłku.
Rozgrzewka powinna stopniowo pobudzić układy
nerwowy
ruchowy
oddechowy
krążenia
z fizjologicznego punktu widzenia rozgrzewka stanowi jeden z czynników przyspieszających adaptację organizmu do wysiłku fizycznego.
Pod wpływem rozgrzewki następuje:
lepsze ukrwienie mięśni
zwiększa się elastyczność więzadeł i mięśni
zostaje pobudzony układ nerwowy
podwyższa się temperatura ciała.
Czas rozgrzewki uzależniony jest od ogólnego przygotowania zawodników i od temperatury powietrza. Rozgrzewka powinna trwać 20 - 25 minut, a gdy jest gorąco, duszno, może trwać krócej.
Tok rozgrzewki:
ramiona - krążenia, wymachy
tułów - skłony, wyprosty, skłony boczne, krążenia
brzuch - leżenie tyłem, siady równoważne
grzbiet
nogi - bieg, krok odstawno dostawny
ćwiczenia równoważne - obniżanie, podwyższanie środka ciężkości
ćwiczenia skocznościowe
ćwiczenia szybkościowe
płaszczyzna strzałkowa, poprzeczna, złożona.
24.03.10.
Obciążenia wysiłkowe stosowane w prowadzeniu zajęć rekreacyjnych:
obciążenie wysiłkowe ma bezpośredni wpływ na przebieg adaptacji organizmu do wysiłku.
O skuteczności obciążenia wysiłkowego decyduje:
Objętość ( ilość wykonywanej pracy):
czas trwania ćwiczeń fizycznych
ilość powtórzeń
intensywność (ilość pracy wykonywanej w jednostce czasu):
szybkość wykonywania ćwiczeń
częstotliwość ruchów
częstość tętna
Efekty stosowania obciążeń treningowych:
objętość pracy wywołuje długotrwałe zmiany morfologiczno-funkcjonalne i ma wpływ na długość okresu utrzymania się poziomu sprawności fizycznej
intensywność decyduje o szybkości osiągania określonego poziomu sprawności fizycznej.
Zalecenia co do stosowania obciążeń wysiłkowych:
obciążenie powinno być dostosowane do poziomu sprawności fizycznej oraz indywidualnych możliwości wysiłkowych.
Objętość i intensywność (bodźce wysiłkowe) powinny osiągać wielkość większą od indywidualnych wielkości progowych
Zwiększanie obciążeń jest nieodzownym warunkiem skuteczności wysiłku.
Metody realizacji obciążeń treningowych:
Kryterium klasyfikacji
ciągły charakter wysiłku
przerywany charakter wysiłku
1.Metody ciągłe:
jednostajna: - brak przerw wypoczynkowych, intensywność stała 40 - 60%
zmienna: intensywność zmienna 30 - 90%
efekty treningowe - wytrzymałość ogólna, siłowa, szybkościowa.
2.Metody przerywane - przerwy wypoczynkowe
interwałowa.
ściśle określone parametry: intensywność 50 - 90%, czas trwania bodźca 8 - 15 sekunf, niepełna przerwa wypoczynkowa (1/3 pełnej przerwy - 120 - 130 HR), określona liczba powtórzeń
efekty treningowe - wytrzymałość ogólna, siłowa, szybkościowa, siła szybka i dynamiczna
3. Metoda powtórzeniowa
ściśle określone parametry: intensywność maksymalna 90 - 100%, krótki czas trwania wysiłku, pełna przerwa wypoczynkowa (100 HR)
efekty treningowe: wytrzymałość szybkościowa, siła szybka i maksymalna, szybkość
Kształtowanie wytrzymałości w zajęciach rekreacyjnych.
Wytrzymałość - odporność organizmu na zmęczenie wywołane wysiłkiem fizycznym o określonej intensywności, która ogranicza czas wykonywanej pracy. Zależy od:
czynników fizjologicznych (wydolność)
czynników psychicznych (motywacja, odporność psychiczna, siła woli)
czynników somatycznych (wysokość i masa ciała, zawartość włókien wolnokurczliwych)
stopnia opanowania techniki, umiejętności taktycznych.
Obciążenia treningowe zalecane w kształtowaniu wytrzymałości:
intensywność - min. 40% HRmax - optymalna 70 - 85% HRmax
objętość - min 10 -15 minut, optymalna 30 - 40 minut
częstotliwość - min 2x w tygodniu - optymalna 3 - 5x tygodniu
metody treningowe zalecane w kształtowaniu wytrzymałości:
metody ciągłe: jednostajna, zmienna
metody interwałowe.
Metody terenowe w kształtowaniu wytrzymałości (w naturalnym środowisku):
duża zabawa biegowa
część I - rozruch ogólnorozwojowy:
bieg
ćwiczenia rozciągające
ćwiczenia kształtujące
ćwiczenia koordynacyjne
część II - rytmowa
2/3 stałe tempo wolniejsze, 1/3 przyspieszenie
powrót w truchcie do pełnego wypoczynku
część III - tempowa
3/3 stałe tempo - szybkie
powrót w truchcie do niepełnego wypoczynku
część IV
ćwiczenia rozluźniające
trucht
marsz
fartlek - bieg w terenie
mała zabawa biegowa - nie ma części III - tempowej.
Szacowanie wydatku energetycznego na podstawie ilości pobranego tlenu - przykład dla 55 letniej osoby.
VO2max - 45 ml/kg/min
Masa ciała 73 kg
1 litr pochłanianego tlenu = 5kcal/min (przy jej czerpaniu ze spalania węglowodanów)
obliczenie wydatku energetycznego - czas wysiłku 30 minut, intensywność 75% VO2max
45 ml/kg/min x 73 kg = 3,3 l/min
75% z 3,3l = 2,5l
2,5l x 5kcal = 12,5 kcal/min
12,5 kcal x 30 min = 375 kcal
bieg 12-minutowy (test Coopera)
poziom VO2 max (ml/kg/min) oszacowany w wyniku biegu 12 minutowego
minimalne, pożądane ze względu na korzystne związki ze zdrowiem wartości VO2max
dla mężczyzn
20 - 39 lat 36 ml/kg/min
40-49 lat 32
50-59 lat 28
>60 lat 24
dla kobiet
20 -29 26
40 - 49 23
50 59 21
>60 19
pośrednie sposoby oceny poziomu wydolności fizycznej (step-test (mcardle i wsp. 1972)
przeznaczenie - kobiety i mężczyźni
wysokość stopnia - 41 cm
rytm wchodzenia - 24 wejść/min mężczyźni, 22 wejścia kobiety/min kobiety
czas trwania - 3 minuty
VO2max:
=111,33 - /0,42 x HR/ kobiety
=65,81 - /0,1847 x HR/ mężczyźni
HR -tętno
31.03.2010.
Kształtowanie szybkości w zajęciach rekreacyjnych.
Szybkość - zdolność pozwalająca na wykonywanie ruchów w jak najkrótszym czasie. Uwarunkowana jest procesami energetycznymi, procesami sterowania i regulacji ruchów.
Źródłem energii w wysiłkach o charakterze szybkościowym są niekwasomlekowe przemiany beztlenowe. Energia do pracy jest czerpana z rozpadu ATP i CP
Składowe szybkości:
czas reakcji
czas pojedynczego ruchu
częstotliwość ruchów.
Najczęściej stosowaną metodą kształtowania szybkości jest metoda powtórzeniowa.
Uwzględnia ona:
maksymalną lub submaksymalną intensywność wykonywanych ćwiczeń
krótki czas wykonywania ćwiczeń - 6 - 10 sekund
pełna przerwa wypoczynkowa
mała liczba powtórzeń ćwiczenia (ostatnie powtórzenie powinno być wykonane z szybkością zbliżoną do szybkości pierwszego powtórzenia).
W kształtowaniu szybkości muszą być spełnione następujące warunki:
element techniki musi być tak opanowany, aby wykonać go z krańcową szybkością
czas wykonywania ćwiczeń musi być tak dobrany, aby szybkość nie uległa zmniejszeniu na skutek zmęczenia
czas trwania przerw powinien zapewnić optymalny poziom odnowy i gotowość do podjęcia następnego powtórzenia
długość przerwy między powtórzeniami ćwiczenia powinna mieć charakter wypoczynku czynnego, umożliwiającego utrzymanie optymalnego pobudzenia układu nerwowego
kształtowanie szybkości powinno być wspomagane przez ćwiczenia siłowe.
W procesie przygotowania szybkościowego w grach rekreacyjnych (czynności złożone) należy uwzględnić trzy podstawowe etapy pracy, do których zaliczamy:
wszechstronne przygotowanie ogólnorozwojowe
ukierunkowane przygotowanie szybkościowe
przygotowanie specjalne zawierające w swojej treści powiązanie szybkości ogólnej z techniką gry.
Mamy możliwość stosowania różnorodnych form ćwiczeń szybkościowych, które można podzielić na trzy grupy:
w zależności od kierunku biegu
w zależności od pozycji startowej
w połączeniu z ćwiczeniami technicznymi
Przy szybkości zawodnika w grach rekreacyjnych mamy do czynienia z:
szybkim biegiem
szybkim i pewnym operowaniem piłką
szybkością działania taktycznego
Na szybkość zawodnika wpływają:
właściwości wrodzone i nabyte
ogólne przygotowanie fizyczne
strona psychiczna
warunki atmosferyczne
Reguły niezbędne w ćwiczeniu szybkości:
dokładna i solidna rozgrzewka
ćwiczenia w maksymalnym tempie
oznaki nawet lekkiego zmęczenia są sygnałem do zakończenia treningu a jeżeli trening przebiega dalej, mamy do czynienia z kształtowaniem szybkości wytrzymałościowej
Cz. I - rozgrzewka biegowo - gimnastyczna + akcenty szybkościowo-siłowe
Cz. II - ćwiczenia szybkościowe
Cz. III - ćwiczenia uspakajające, korekcyjne, przeplatane stretchingiem
Kształtowanie siły w zajęciach rekreacyjnych.
Siła mięśniowa będąca efektem skracania i napięcia mięśni jest zdolnością pozwalającą na pokonywanie oporu zewnętrznego lub na przeciwdziałanie mu kosztem wysiłku mięśniowego.
Siła zależy od:
powierzchni fizjologicznej przekroju mięśnia (siła wzrasta 1,5 - 2 krotnie szybciej niż masa)
optymalnej długości mięśni
liczby i synchronizacji aktywności jednostek motorycznych
szybkości skracania się mięśni
techniki - stopień rozciągnięcia mięśni przed skurczem, ustawienie kątowe części ciała stawach, pozycja wyjściowa)
Zdolności siłowe powinny być rozwijane dla lepszego opanowania różnych podstawowych zadań ruchowych występujących w codziennym życiu, pracy, rekreacji fizycznej.
Kształtując i doskonaląc siłę należy stosować przeważnie ćwiczenia izotoniczne, auksotoniczne z małymi i średnimi obciążeniami.
W treningu siłowym - ćwiczenia rozciągające - zapewnienie optymalnej długości mięśnia
Metody kształtowania siły:
maksymalne obciążenie - opory od 75 do 95% wartości obciążenia, jakie jest w stanie pokonać zawodnik
liczba powtórzeń w serii waha się od 1 do 3-4 razy. Ilość serii - 5, po obciążeniu przerwa około 2 minut
między seriami wykonuje się ćwiczenia rozluźniające, relaksacyjne i oddechowe, trwające do 5 minut
W rozwijaniu siły dynamicznej wykonuje się metodę szybkościową, 30 - 50% maksymalnego obciążenia.
Pojedyncze ćwiczenia powtarzane około 6 -12 razy z maksymalną szybkością w czasie nie dłuższym niż 15 sekund.
Czas przerwy - dopełnienie czasu do jednej minuty.
Liczba serii - od 4 do 5, aktywna przerwa między nimi - około 5 minut - ćwiczenia gibkościowe, rozluźniające.
14.04.2010.
Metoda izometryczna - napinanie mięśni.
Metoda obwodowa (siłowy tor obwodowy - sprawnościowy) i metoda stacyjna
W tych metodach należy stosować ćwiczenia o zróżnicowanym charakterze oddziaływania mięśniowego.
Sposób treningu |
obwodowa |
stacyjna |
Ścieżki zdrowia |
Małych obwodów |
Liczba dni treningowych |
3 |
3 |
3 |
3 i więcej |
Liczba ćwiczeń |
8 - 12 |
8 - 12 |
7 - 10 |
3 -5 |
Liczba obwodów |
3 - 5 |
3 - 5 |
3 |
7 - 10 |
Liczba powtórzeń w serii |
10 - 15 |
8 - 12 |
Do 20 |
10 - 15 |
Procent ciężaru max |
40 -50% |
60 - 80% |
Do 40% |
50 - 70% |
Tempo ćwiczeń |
szybkie |
wolne |
szybkie |
Umiarkowane |
Czas przerwy |
- brak przerwy między ćwiczeniami w obwodzie - 1 - 3 minut przerwy między obwodami
|
- do 60 sekund w obwodzie - 3 minuty przerwy między obwodami |
- przerwy czynne między ćwiczeniami trwające do 30 sekund - 1 - 3 minut przerwy między obwodami |
-brak przerwy między ćwiczeniami - 2 minuty przerwy między obwodami |
Koordynacyjne zdolności motoryczne
Uwarunkowane są stanem i poziomem rozwoju układu nerwowego.
Definiuje się je jako zintegrowane właściwości psychofizyczne zależne w dominujący sposób od procesów sterowania i regulacji ruchu których podłożem jest centralny układ nerwowy.
Wg Raczka proces koordynacyjnego przygotowania sprawnościowego obejmuje kształtowanie następujących zdolności:
szybkiej reakcji
równowagi
rytmizacji
różnicowania (czucia mięśniowego)
orientacji
dostosowania i przedstawiania
sprzężenia (łączenia ruchów).
20.04.2010.
W ostatnich latach można zaobserwować znaczny spadek aktywności ruchowej społeczności.
Hipokinezja - zmniejszenie aktywności ruchowej
Uczenie się czynności motorycznych.
Zmysłowe odbieranie od otoczenia bodźców - informacji i przetwarzanie ich w celach wykonywania czynności motorycznej a następnie wykonywanie tej czynności za pomocą systemu motorycznego oraz sprawdzenie skuteczności tej czynności odbywa się w różnych sytuacjach otoczenia.
Uczenie się rozpatrywane jest w 3 aspektach:
poznawczym - rozwój procesów mentalnych, np. poprawa wiedzy, zdolności rozwiązywania problemów
afektywnym - emocje i uczucia
psychomotorycznym - rozwój motorycznych zdolności - umiejętności ruchowe podstawowe jak i szczegółowe
Cechą procesu nauczania motorycznego jest występowanie relacji nauczający - uczący w procesie uczenia się ruchu i występowania czynnika asocjacyjnego - jego główną rolę odgrywa intelekt, świadomość i procesy antycypacji.
Predyspozycje - genetyczne uwarunkowania organizmu człowieka
Zdolności - potencjalne możliwości, właściwości organizmu, które rzutują na latwość opanowania nowych umiejętności. Uwarunkowane są predyspozycjami, wpływem otoczenia i aktywnością jednostki.
Dyspozycje - zdolności, które korelują ze sprawnością działania.
Etapy uczenia się czynności ruchowej:
poznawczy
kojarzeń
samodzielności
nawyk ruchowy - zdolność ruchowa charakteryzująca się zautomatyzowanym przebiegiem nie wymagającym koncentracji uwagi.
Rodzaje nawyków ruchowych:
zamknięte - oparte na uwarunkowaniach wewnętrznych a istotą jest ścisłe odwzorowanie wcześniej zaprogramowanej formy ruchowej.
otwarte - konieczne dostosowanie formy ruchu do sytuacji zmieniającej się w środowisku zewnętrznym.
Zachowanie a działanie
Sposoby uczenia się czynności ruchowych w rekreacji:
mimowolne przez naśladownictwo.
metoda prób i błędów (sukcesów i porażek)
L = I1/I2
L<1 v L=1
L - proces uczenia się
I1 - informacja na wyjściu - czynność wykonywana przez uczącego się
I2 - informacja na wejściu - instrukcja nauczyciela
W miarę zbliżania się czynności wykonywanej przez uczącego się do postawionego przez nauczyciela zadania ułamek dąży do 1. Gdy L= 1, informacja została przekazana i wykonana z pełną poprawnością.
Właściwości uczącego się - stopień dojrzałości organizmu
Faza progresywna - 0 do 30 lat
Faza równowagi - 30 - 60 lat
Faza regresji + 60 lat.
27.04.2010.
Etapy nauczania - rozkład treści szkolenia dzieci i młodzieży.
- wstępny - 6 - 10 lat 5 - 40 - 55
- podstawowy 11 - 13 15 - 50 - 35
- doskonalenie umiejętności 14 - 15 40 - 40 - 20
- trenowania 16 - 17 60 - 25 - 15
- maksymalnych możliwości + 18 65 - 25 - 10
przygotowanie specjalne - ukierunkowane - ogólne
etapy selekcji:
dobór wstępny (7 - 10)
dobór właściwy (13 - 16)
selekcja właściwa (16 - 18)
selekcja specjalna (+18)
zasady nauczania - racjonalny sposób postępowania ułatwiający uczenie się:
świadomości
aktywności
systematyczności
utrwalania (powtarzalności)
wszechstronności
poglądowości
dostępności
metody nauczania - sposób uczenia się oraz droga do systematycznego i skutecznego przekazywania wiedzy:
słowne
poglądowe
myślowo - wyobrażeniowe
praktycznego działania (odtwórcze, twórcze)
5.05.2010.
Wielostronna metoda kształcenia (W. Okonia)
Droga uczenia się Metoda nauczania
1. przyswajanie Podające
2. odkrywanie Poszukujące
3. Przeżywanie Eksponujące
4. Działanie Praktyczne
Formy nauczania
Formy nauczania to organizacyjna struktura ćwiczeń w kształtowaniu czynności ruchowej.
Rodzaje form nauczania:
zabawowa
ścisła
fragmentów gry
formy gier (pomocnicze, małe gry taktyczne, uproszczonej, szkolnej, wlaściwej)
wiązana
Intelektualizacja procesu nauczania:
świadome uczestnictwo ucznia w procesie nauczania - metody oddziaływujące na intelekt ucznia (trening mentalny)
Części składowe treningu mentalnego:
uczenie się ruchów przez zrozumienie
uczenie się ruchów przez postrzeganie
uczenie się ruchów przez wyobrażenie
Trening :
praktyczny
mentalny:
ćwiczenia przez obserwacje : pokaz, rysunki, symbole abstrakcyjne
ćwiczenia ideomotoryczne (wyobrażeniowe): z towarzystwem słów, bez słów
Gry jako wymóg intelektualizacji nauczania.
GRA (uczący się)
rozumienie gry
świadomość taktyczna
podjęcie świadomej decyzji (co robić? Jak robić?)
realizacja umiejętności
wykonanie działania
W treningach wyróżnia się 3 okresy:
przygotowawczy (budowa formy)
startowy (zachowanie i stabilizacja formy)
przejściowy (względny wypoczynek)
Mikrocykl (okres tygodniowy) składa się z kilku jednostek treningowych.
Mezocykl (okres miesięczny) składa się z kilku mikrocykli
Makrocykl (roczny, półroczny) składa się z mezocyki.
11.05.2010.
Sylwetka instruktora rekreacji.
instruktor rekreacji powinien posiadać wiedzę:
humanistyczną - pozwalającą zrozumieć potrzeby ludzi i procesy społeczne
przyrodniczą - dającą podstawę zrozumienia zależności człowiek - środowisko - aktywność
ekonomiczną i organizacyjną - pozwalającą zrozumieć mechanizmy gospodarki rynkowej
instruktor rekreacji powinien posiadać umiejętności
w zakresie nauczania czynności ruchowej
organizacji i kierowania imprezami rekreacyjnymi
swobodnego nawiązywania kontaktów
posługiwania się językami obcymi.
do czynności instruktora rekreacji należy:
stymulowanie aktywności uczestników rekreacji
umiejętny dobór form i metod zajęć rekreacyjnych
kierowanie grupą rekreacyjną w zakresie organizacji zajęć
kompetencje instruktora rekreacji w aspekcie prowadzenia zajęć:
aksjologiczne - wie, po co działamy (cel, sens, wartość działania)
komunikacyjne - wie, co jest treścią zajęć (znajomość problemu)
technologiczne - wie jak działać (zna sposób działania)
osobiste (zaradność, kontrolowanie własnych emocji)
interpersonalne (umiejętność nawiązywania kontaktów)
organizacyjne (tworzenie klimatu w organizowaniu zajęć)
Czynności osobowościowe do pracy w charakterze instruktora rekreacji:
neurotyczność - podatność na rozemocjonowanie (pozytywna - niska)
ekstrawersja - otwartość na zewnątrz
otwartość na doświadczenie - tolerancja na nowość, ciekawość poznawcza, kreatywność w działaniu, racjonalność
ugodowość - cecha związana z pozytywnym nastawieniem na poglądy innych ludzi
sumienność - to cecha wolicjonalna, związana z wytrwałością i systematycznym osiąganiem celu
inne cechy - wspierający, cierpliwy itp..
Elementy procesu komunikowania się jako warunek efektywnej pracy jako instruktora rekreacji.
Warunki dobrej komunikacji:
trafność w przekazie (kompetentność)
dostępność w przekazie - odbiorca interpretuje przekaz zgodny z intencjami nadawcy
Wytyczne w dobrej komunikacji:
krótkie, treściwe informacje
wspomaganie informacji werbalnej informacją wizualną
gestykulacja
dotyk i kontakt fizyczny
wygląd fizyczny
kontakt wzrokowy
pozycja ciała
organizacja środowiska pracy
Grupa rekreacyjna - grupa społeczna stanowiąca zespół ludzi mających poczucie wewnętrznej więzi i zewnętrznej odrębności. Cechuje się:
dużą aktywnością (nieformalny charakter stosunków społecznych - dobrowolność, pozytywne zabarwienie emocjonalne, wspólne zainteresowania, bezkonfliktowość).
Dużym poziomem interakcyjności społecznej (podmiotowość, bezpośredniość, pozbawienie formalizmu)
Celem działania (prozdrowotny)
Łagodnością norm (łagodny regulamin)
Facylitacją (mobilizacja w działaniu)
Fazy rozwoju grupy - dominujące zjawiska - role prowadzącego.
19.05.2010. i 26.05.2010.
Podstawowe zasady i zalecenia w organizacji imprezy rekreacyjno-sportowej:
Stworzenie koncepcji i określenie celów imprezy
Ustalenie zespołu organizacyjnego oraz ustalenie funkcji zadań
Opracowanie programu, regulaminu, scenariusza i planu finansowego
Przygotowanie alternatywnego rozwiązania
Ustalenie zabezpieczenia technicznego (teren, obiekty, sprzęt, nagłośnienie)
Weryfikacja stanu przygotowań i korygowanie niedociągnięć lub braków
Kontrola wykonania założonych planów
Dokonanie rozliczeń i podziękować
Opracowanie dokumentacji podsumowującej i sprawozdającej
Merytoryczna analiza imprezy
Skład zespołu organizacyjnego imprezy:
Przewodniczący zespołu
Zastępca przewodniczącego
Sekretarz
Przewodniczący sekcji specjalistycznych:
Programowo sportowej
Techniczno-finansowej
Organizacyjno-marketingowej
Zadania przewodniczącego i zastępcy:
Opracowanie szczegółowego planu imprezy
Dokonanie podziału pracy zespołu organizacyjnego i poszczególnych sekcji
Przygotowanie planowanych spotkań organizatorów
Nadzór nad całością przedsięwzięcia
Koordynowanie i kierowanie działaniami we wszystkich fazach organizacji imprezy
Reprezentowanie imprezy wobec współorganizatorów i władz lokalnych
Rozliczenie kosztów całościowych imprezy po jej zakończeniu
Zadania sekretarza:
Prowadzenie korespondencji
Przyjmowanie zgłoszeń
Prowadzenie ogólnej dokumentacji imprezy
Sporządzanie sprawozdania opisowego
Zadania przewodniczących sekcji:
Podział zadań dla każdego z członków sekcji
Nadzór nad całością działań realizowanych w podległych sekcjach
Przykładowe zakresy zadań dla poszczególnych sekcji:
Sekcja programowo-sportowa:
Opracowanie programu i scenariusza imprezy
Przygotowanie regulaminu ogólnego oraz poszczególnych konkurencji technicznych
Powołanie komisji sędziowskiej
Przeprowadzenie rozgrywek
Obliczenie wyników i punktacji końcowej
Opracowanie komunikatu końcowego
Sekcja techniczno-finansowa:
Przygotowanie i zabezpieczenie odpowiednich obiektów, urządzeń oraz sprzętu sportowo-rekreacyjnego
Przygotowanie technicznej strony przekazu informacji (wizualnej, dźwiękowej i innej)
Opracowanie preliminarza imprezy
Gromadzenie środków finansowych (dotacje, wpisowe, sponsorzy i inne)
Sekcja organizacyjno-marketingowa:
Analiza środowiska
Przygotowanie oraz skierowanie do odbiorców materiałów informacyjnych i reklamowych
Promocja imprezy: ogłoszenia, plakaty, informacje w radiu, TV, prasie oraz inne sposoby informacji i zachęty
Dekoracja miejsca, w którym będzie przygotowywana impreza
Zapewnienie informacji bieżącej w trakcie trwania imprezy (spiker, wolontariusze)
Zapewnienie pomocy medycznej
Przygotowanie dyplomów, upominków, nagród
Organizacja uroczystości otwarcia i zamknięcia imprezy
Wskazówki dotyczące bezpieczeństwa imprezy:
Wybranie i sprawdzenie miejsca(terenu) organizacji imprezy
Konsekwentne przestrzeganie postanowień ujętych i regulaminach- ogólnym i poszczególnych konkurencji
Stała obserwacja uczestników, ze szczególnym zwróceniem uwagi na ich stan emocjonalny
Niedopuszczenie do przebywania w miejscu wydzielonym do rozgrywania konkurencji innych osób oprócz organizatorów i startujących
Wykluczenie możliwości kolizji i zderzeń zawodników
Zdecydowane eliminowanie wszelkich przejawów brutalności i nieuczciwości
Udzielenie pomocy i ochrony uczestnikom na każdym etapie przebiegu imprezy
Umożliwienie z korzystania z pierwszej pomocy medycznej oraz ważnych numerów telefonicznych
Systemy gier dla dowolnej ilości graczy
Tabele rozgrywek:
Układamy dla parzystej liczby drużyn, w przypadku nieparzystej dodajemy pauzującą drużynę X. Przykład dla 6 drużyn:
Drużyny dzielimy na dwie równe kolumny, zapisując je kolejno
1 - 6
2 - 5
3 - 4 Drużyna nr.1 gra z drużyną nr.6, nr.2 z nr.5, a nr.3 z nr.4
Drużyna nr.1 zawsze pozostaje w tym samym miejscu, nie przemieszcza się.
Drużyna która grała z nr.1 przechodzi teraz w tę samą kolumnę co nr.1, tylko że pod nią, spychając po kolei pozostałe numery o jeden w dół, pamiętając o tej samej kolejności (czyli zamiana miejsc 623456). Czyli w naszym przypadku:
1 - 5
6 - 4
2 - 3
I tak dalej, aż nie dojdziemy do początkowego ustawienia.
Każdy z każdym:
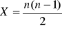
Jest to bardzo wygodny system, który pozwala na szybkie ustalenie kolejek rozgrywek. Polega na spotkaniu się każdej drużyny z każdą raz bądź dwa razy (mecz i rewanż). Liczbę rozgrywanych meczów ustala się według wzoru:
![]()
gdzie X- to liczba spotkań, a n- liczba drużyn. Kolejność rozgrywek jest tu ustalona tzw. tabelą Bergera, np.
3 drużyny:
I |
II |
II |
2 - 3 |
1 - 2 |
1 - 3 |
4 drużyny:
I |
II |
III |
1 - 4 |
4 - 3 |
4 - 2 |
2 - 3 |
1 - 2 |
3 - 1 |
5 drużyn:
I |
II |
III |
IV |
V |
2 - 5 |
5 - 3 |
3 -1 |
1 - 4 |
4 - 2 |
3 - 4 |
1 - 2 |
4 - 5 |
2 - 3 |
5 - 1 |
6 drużyn:
I |
II |
III |
IV |
V |
1 - 6 |
6 - 4 |
2 - 6 |
6 - 5 |
6 - 3 |
2 - 5 |
5 - 3 |
4 - 1 |
1 - 4 |
4 - 2 |
4 - 3 |
1 - 2 |
3 - 5 |
2 - 3 |
5 - 1 |
10 drużyn:
I |
II |
III |
IV |
V |
VI |
VII |
VIII |
IX |
1 - 10 |
10 - 6 |
2 - 10 |
10 - 7 |
3 - 10 |
10 - 8 |
4 - 10 |
10 - 9 |
5 - 10 |
2 - 9 |
7 - 5 |
3 - 1 |
8 - 6 |
4 - 2 |
9 - 7 |
5 - 3 |
1 - 8 |
6 - 4 |
3 - 8 |
8 - 4 |
4 - 9 |
9 - 5 |
5 - 1 |
1 - 6 |
5 - 2 |
2 - 7 |
7 - 3 |
4 - 7 |
9 - 3 |
5 - 8 |
1 - 4 |
6 - 9 |
2 - 5 |
7 - 1 |
3 - 6 |
8 - 2 |
5 - 6 |
1 - 2 |
6 - 7 |
2 - 3 |
7 - 8 |
3 - 4 |
8 - 9 |
4 - 5 |
9 - 1 |
Tworzy się ją w następujący sposób:
Pierwsza kolejka - pod najwyższym numerem parzystym (znajdującym się zawsze w rundach nieparzystych na drugim miejscu w pierwszej parze) układamy kolejne mniejsze liczby naturalne, pod nią kolejne liczby mniejsze, zgodnie z ruchem wskazówek zegara. (np. 1-8, 2-7, 3-6, 4-5)
W każdej kolejnej kolejce nieparzystej, zostawia się najwyższą liczbę parzystą w tym samym miejscu, pozostałe liczby zmienia się o jedne miejsce zgodnie z ruchem wskazówek zegara.(np. w III kolejce 2-8, 3-1, 4-7, 5-6, w V kolejce 3-8, 4-2, 5-1, 6-7, w VII kolejce 4-8, 5-3, 6-2, 7-1)
Kolejki parzyste układamy rozpoczynając od rundy najwyższej, przy czym najwyższa liczba parzysta staje na pierwszym miejscu w pierwszej parze, a pod nią znajduje się w tej rundzie 1. Po prostu przesuwamy w kierunku przeciwnym do wskazówek zegara ( w stosunku do I kolejki) wszystkie liczby. (np. kolejka VI ma postać 7-8, 1-6, 2-5, 3-4).
W kolejnych kolejkach przesuwamy w kierunku przeciwnym do wskazówek zegara wszystkie liczby oprócz 8. (np. IV na postać 8-6, 7-5, 1-4, 2-3, a II 8-5, 6-4, 7-3, 1-2)
Dla liczb nieparzystych tabela działa podobnie, tylko np. dla 7 drużyn w miejsce 8 wpisujemy 0 i oznacza to, że drużyna nie rozgrywa wówczas meczu.
Pucharowy:
Stosowany przy dużej liczbie drużyn i braku możliwości zorganizowania dostatecznej
liczby spotkań. Polega, najogólniej mówiąc, na tym, że wszystkie zgłaszane drużyny zestawia się (losowaniem) w pary. Przegrywające drużyny odpadają, wygrywające znów tworzą pary, i tak aż do momentu, kiedy zostają tylko dwie drużyny, które rozgrywają finał. Jest to jednak system nie najsprawiedliwszy. Zdarza się, że silniejsze drużyny odpadają, a słabsze awansują. Można temu częściowo zaradzić stosując tak zwane rozstawienie najsilniejszych drużyn. Chodzi o to, żeby nie spotkały się one na początku eliminacji. Najlepiej układa się dla 4, 8 16 drużyn. Gdy liczba jest inna trzeba wtedy tak ułożyć "drabinkę", aby po pierwszej rundzie rozgrywek na placu boju zostało właśnie 16, 8 lub 4 drużyny.
Na przykładzie tego schematu można wyjaśnić zasadę rozstawiania. Wiemy np, że 4 z 8 zgłaszanych drużyn reprezentują wyższy poziom, i chcemy uniknąć sytuacji, w której spotykają się one w pierwszej rundzie. Drużyny te rozstawiamy wiec na pozycje l, 3, 5, 7 a pozostałe 4 drużyny dolosowujemy do drużyn rozstawionych. W naszym przypadku właśnie te 4 rozstawiane drużyny wygrały swe mecze w ćwierćfinałach.
Do dwóch przegranych:
Sprawiedliwszy od pucharowego, bo drużyna która raz przegrała ma szansę się odegrać. Pierwsza runda jest rozgrywana jak w systemie pucharowym:
Następnie w rozgrywkach bierze udział tylko 7 drużyn.
System Prawa-Lewa:
Polega na rywalizacji dwuetapowej. System "prawa-lewa" polega na tym, że zawodnik przegrywając walkę w pierwszej rundzie walczy kolejną walkę również z zawodnikiem pokonanym w pierwszej rundzie. Nazwa systemu wzięła się stąd, że dodatkowa drabinka turniejowa rysowana jest po lewej stronie od pierwszej drabinki pucharowej. System ten umożliwia każdemu zawodnikowi rozegranie minimum 2 walk (tylko w przypadku, gdy ilość uczestników stanowi naturalną potęgę 2).
Style zarządzania grupą w rekreacji:
Autokratyczny:
Charakterystyka:
Kierownik zachowuje całą władzę i odpowiedzialność
Decyzje podejmowane są bez konsultacji z podwładnymi
Zadania i sposób ich wykonania są określone przez kierownika
Dominuje komunikacja jednokierunkowa „z góry na dół”
Zalety:
Zapewnia porządek i przewidywalność wyników działań w organizacji
Wady:
Krępuje inicjatywę i samodzielne myślenie podwładnych
Demokratyczny:
Charakterystyka:
Kierownik deleguje znaczący zakres władzy, ale zatrzymuje ostateczną odpowiedzialność za wykonanie zadań oraz środki kontroli i interwencji, które mają zapewnić realizację celów zespołu
Podwładni mają duży zakres swobody w podziale zadań i określenia sposobu ich wykonania, jednak kierownik podejmuje ostateczną decyzję
Dominuje komunikacja dwukierunkowa pomiędzy szczeblem kierowniczym i wykonawczym
Zalety:
Sprzyja zaangażowaniu pracowników poprzez stworzenie możliwości udziału w podejmowaniu decyzji
Wady:
Partycypacyjny sposób podejmowania decyzji jest czasochłonny
Liberalny:
Charakterystyka:
Kierownik dąży do jak najdalej idącej delegacji władzy
Kierownik pozostawia podwładnym całkowitą swobodę decydowania o podziale zadań i sposobów ich wykonania
Dominuje komunikacja pozioma pomiędzy członkami grupy
Zalety:
Umożliwia rozwiązywanie niektórych problemów bez niepotrzebnej ingerencji kierownika
Wady:
Poszczególne osoby lub grupy narażone są na niebezpieczeństwo działania w złym kierunku lub anarchii
02.06.2010.
Zmęczenie i wypoczynek
Zmęczenie fizyczne - stan fizjologiczny objawiający się przejściowym zmniejszeniem sprawności ruchowej organizmu.
Zmęczenie stanowi mechanizm zabezpieczający organizm przed nadmiernym wysiłkiem i tym samym przed nadmiernym zaburzeniem homeostazy organizmu.
Zmęczenie jest spowodowane następującymi czynnikami:
niedotlenienie pracujących tkanek
gromadzenie się metabolitów beztlenowej przemiany materii
wyczerpywanie się zasobów glikogenu w mięśniach
odwodnienie miocytów (komórek mięśniowych)
przesunięciem jonowym
hipoglikemią
zmiany w stanie OUN (znużenie neuronów - indukcja hamowania impulsu)
Zmęczenie może dotyczyć zmęczenia fizycznego albo zmęczenia psychicznego.
Fizyczne dotyczy układu ruchu, występuje jako zmęczenie lokalne i obwodowe (ogólne)
Psychiczne wynika z zaburzenia procesów pobudzenia i hamowania układu nerwowego, związane jest z:
pracą twórczą
uczeniem się
napięciem psychicznym
monotonią (spadek zainteresowania i motywacji)
Zmęczenie obejmuje kompleksowe (całościowe, połączone) procesy zmęczenia fizycznego i psychicznego
Można przypuszczać, że wraz z rozwojem techniki (przemysłu) będzie malało zmęczenie fizyczne a rosło psychiczne.
Subiektywne i obiektywne objawy zmęczenia.
Wypoczynek - proces fizjologiczny prowadzący nie tylko do restytucji ale także procesy wywołujące w organizmie funkcjonalne, tworzące wyższy poziom równowagi czynnościowej.
Wypoczynek po pracy fizycznej polega przede wszystkim na:
wyrównaniu zadłużenia tlenowego tkanek (długu tlenowego)
eliminacji produkcji wysiłkowej przemiany materii
przywróceniu równowagi wodnej i elektrolitowej
uzupełnieniu strat w zakresie źródeł energetycznych.
Procesy wypoczynku największe są w pierwszym okresie po przerwaniu pracy a następnie stopniowo maleją.
Najszybciej po wypoczynku powracają funkcje układu oddechowego, krążenia a najwolniej przemiany metaboliczne.
Procesy resyntezy związków energetycznych zachodzą:
najszybciej w OUN
wolniej w mięśniu sercowym
najwolniej w mięśniach szkieletowych i wątrobie.
Charakter pracy i przybliżony czas restytucji po obciążeniu:
wysiłek o charakterze szybkościowym - czas wypoczynku - 24h
wysiłek o charakterze szybkościowo - wytrzymałościowym - 48h
wysiłek o charakterze wytrzymałościowym - 72 h - najwyższy stopień zmęczenia obwodowego.
Zjawisko superkompensacji - proces podwyższenia stanu funkcjonalnego organizmu po stanie obciążenia i wypoczynku.
Wypoczynek w czasie pracy mogą znacznie zregenerować siły witalne.
Sen - naturalna postać wypoczynku, stanowi fizjologiczną konieczność każdego człowieka. Człowiek na sen przeznacza ok. 1/3 życia.
REM - sen paradoksalny (krótkofalowy) - faza snu, w której występują szybkie ruchy gałek ocznych. Na tym etapie występuje:
wysoka aktywność mózgu
oddech jest nieregularny
wzrasta częstość skurczów serca
pojawiają się marzenia senne
Stanowi ¼ całości snu i daje mniej wypoczynku niż sen wolnofalowy (NREM).
NREM - sen długofalowy, głęboki, najdłuższa faza snu, organizm najbardziej odpoczywa.
tempo metabolizmu zmniejsza się
spada ciśnienie krwi
zwolnienie oddechu i rytmu serca
nerki produkują mniej moczu
pokarm przesuwany jest przez jelita wolniej
spada również o pół stopni temperatura naszego ciała
w fazie tej wzrasta poziom niektórych hormonów
szybciej goją się rany.
16.06.2010.
PROBLEMY WYCHOWANIA DO REKREACJI
Wychowanie - to świadome organizowanie działalności społecznej, której celem jest wywołanie określonych zmian w osobowości człowieka.
Wychowanie ściśle związane jest z wychowaniem do rekreacji(sfera pożytecznych zmian w osobowości, dla zdrowia człowieka)
W rekreacji problemem tym zajmuje się pedagogika rekreacji (pedagogika czasu wolnego).
Potocznie, 2 tezy, które pozornie rozwiązują problem rekreacji fizycznej:
człowiek jako istota aktywna w swojej naturze - czy będzie zawsze aktywny?
człowiek jako istota rozumna - czy zawsze wybierze aktywność?
Wychowanie do rekreacji polegać powinno na kształtowaniu właściwych proporcji w realizowaniu aktywnych i pasywnych form rekreacji oraz na ich trwałym zhierarchizowani w ogólnej strukturze zachowań człowieka.
Wychowanie do rekreacji to popularyzowanie wzorów, kształtowanie nawyków, przyzwyczajeń i postaw.
Wychowanie do rekreacji - to działanie kompleksowe, obejmuje 3 sfery aktywności człowieka:
sfera poznawcza - świadoma, po.aktywnośc do rekreacji
sfera emocjonalna- dostrzeganie w rekreacji ważnych wartości i postaw jednostek
sfera motoryczna - podwyższanie sprawności fizycznej, charakter utylitarny.
Zadaniem wychowania do rekreacji jest:
- rozbudzanie, zainteresowań i potrzeb
- wzmacnianie, motywacji oraz kształtowanie systemu wartości i postaw do rekreacji
- zapoznanie z nowymi formami rekreacji oraz w wyrabianiem umiejętności wybory właściwej formy rekreacji
Wychowanie rekreacyjne jest istotnym czynnikiem w procesie wychowania współczesnego człowieka stanowiące obok wych. Fizycznego i zdrowotnego zasadniczy element wychowania do kultury fiz. i czasu wolnego
Formy wychowania do rekreacji:
- upowszechnianie (informacja, reklama, propaganda rekreacyjna o celu pozytywnych postaw i wartości dla zdrowia i rozwoju osobowości)
- animacja(animo- ożywić), animator- instruktor - zorganizowane formy zajęć rekreacyjnych, placówki rekreacyjne.
- nauczanie - jako forma wychowania do rekreacji - rozwój zdolności motorycznych - działalność prospektywna, rozwój dyspozycji instrumentalnych -specjalista, dla danej formy rekreacji - działanie aktualistyczne
- poradnictwo (udzielanie informacji w zakresie możliwości, wyborze i sposobie aktywności rekreacyjnej
- autodedukcja - świadoma i aktywna forma wychowania do rekreacji - jednostka posiada wiedzę o działaniu rekreacji
Wychowanie do czasu wolnego i rekreacji jest jedynym z najsłabszych ogniw w ogólnym procesie wychowania współczesnego człowieka. Korzystania z czasu wolnego trzeba się uczyć, tak jak ucz się pracy! O tak!
Instytucje odpowiedzialne za wychowanie do rekreacji:
-rodzina
- szkoła
-org.społeczne TKKF, PTTK, ZHP
Instytucje te powinny: upowszechniać, anonimowa, udostępniać czynności w zakresie kształtowania kultury rekreacyjnej.