Wartość pieniądza w czasie
Pojęcie wartości pieniądza w czasie wiąże się głownie z takimi kategoriami finansowymi jak koszt pożyczki czy koszt kapitału własnego. Oznacza to ze 1000 zł będący do dyspozycji w chwili obecnej jest więcej wart niż ten sam 1000 zł otrzymany w przyszłości, np. za rok.
Wynika to z następujących powodów:
Kwota jaka mamy do dyspozycji wcześniej może być już teraz zainwestowana i może być źródłem zysków i wpływów finansowych
Kwota jaka mamy do dyspozycji wcześniej umożliwia jednostce posiadanie określonych, pożądanych dóbr wcześniej
Z obietnicą otrzymania pieniędzy w przyszłości wiąże się zazwyczaj ryzyko rzeczywistej realizacji transakcji.
W analizie finansowej, w podejmowaniu decyzji mających skutki pieniężne, istnieje konieczność sprowadzenia do porównywalności kwot pieniężnych przypływających w różnych okresach, czyli określenie ich wartości na ten sam okres. Z punktu widzenia menedżera działanie to ma znaczenie ze względu na całkowicie wiarygodne określanie konkretnych kwot, a głównie kosztów. Np. .te same koszty powstające w różnych okresach stają się całkowicie porównywalne a nie tylko przybliżone do siebie, pozwala to na przeprowadzanie wszelkich analiz finansowych, których wyniki są wiarygodne i na podstawie których można podejmować odpowiedzialne decyzje. Menedżer jest także w stanie dokładnie określać rzeczywiste koszty zaciąganych pożyczek, kredytów a także innych płatności.
Tym punktem odniesienia może być okres prowadzenia rozważań, czyli okres bieżący, nazywany również bazowym. Może być nim również pewien okres w przyszłości.
Kiedy punktem odniesienia jest okres bieżący otrzymujemy wartość bieżącą - PV. Gdy punktem odniesienia jest pewien okres w przyszłości otrzymujemy wartość przyszłą - FV.
Wybór punktu odniesienia wynika z potrzeb dla jakich sprowadza się określone kwoty do porównywalności.
Sposoby sprowadzania wartości pieniądza do jego wartości w danym okresie czasu (punkcie odniesienia):
Przy założeniu stałej stopy procentowej:
WARTOSĆ PRZYSZŁA
Obliczanie wartości przyszłej może służyć np. obliczaniu zysku jaki można osiągnąć z wpłaty określonej kwoty na lokatę, która oprocentowana jest stała stopą procentową.
Menedżerowi umiejętność korzystania z poniższego wzoru może przydać się podczas np. wyboru odpowiedniej formy inwestowania kapitału.
Jeżeli kapitalizacja odsetek (dopisywanie odsetek do kapitału) będzie dokonywana po każdym okresie, to sprowadzeniu obecnej kwoty do przyszłości służą dwa następujące wzory:
![]()
Gdzie:
PV - kwota początkowa, na koniec okresu zerowego (początek okresu pierwszego)
r - stopa procentowa (dla jednego okresu)
n - liczba okresów
FVn - przyszła kwota na koniec n-tego okresu
We wzorze tym przyjmuje się założenie, ze kapitalizacja odsetek następuje na koniec każdego okresu, a w kolejnym okresie odsetki są już liczone od większej podstawy.
Zgodnie z powyższym worem wartość przyszła (FVn) na koniec n-tego okresu jest równa iloczynowi wartości bieżącej (PV) oraz współczynnika zależnego od stopy procentowej (r) i liczby okresów (n).
![]()
Gdzie:
FVIF r,n - współczynnik wartości przyszłej dla n-tego okresu i r procent
Współczynnik ten można obliczyć z następującego wzoru:
![]()
Współczynnik ren wyznaczony na podstawie tabeli jest podany w przybliżeniu. Ponadto zwykle wartość tego współczynnika jest liczona od liczb całkowitych tj całkowitej liczby okresów i całkowitej stopy procentowej.
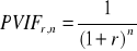
WARTOŚĆ BIEŻĄCA
Transakcjom finansowym często towarzyszą wpływy i wydatki ponoszone w różnych okresach. Aby móc je porównać, wartości pieniężne z przyszłości sprowadza się na moment bieżącymi. Innymi słowy określamy wartość bieżącą przyszłych kwot pieniężnych.
Sprowadzenie przyszłej kwoty do jej wartości bieżącej jest możliwe dzięki zastosowaniu następujących wzorów:
![]()
1)
Gdzie:
PV - wartość bieżąca przyszłej płatności (sprowadzona na moment bieżący)
FVn - wartość przyszła na koniec n-tego okresu
r - stopa dyskontowa
n - okres z końca którego sprowadzamy przyszła wartość na początek okresu bieżącego
Wartość bieżąca (PV) jest równa iloczynowi wartości przyszłej (FVn) oraz współczynnika zależnego od stopy dyskontowej (r) i liczby okresów (n), z końca których sprowadzamy przyszłą kwotę.
![]()
2)
Gdzie:
PVIFr,n - współczynnik wartości bieżącej dla n-tego okresu i r procent
Współczynnik ten można obliczyć z następującego wzoru:
![]()
Wynik otrzymany z tablic wartości pieniądza w czasie jest przybliżony. Ponadto wartości współczynników zwykle są wyznaczane dla liczb całkowitych tj dla całkowitej liczby okresów (n) i całkowitej stopy dyskontowej (r).
Można zaobserwować ścisłą zależność między tempem spadku wartości bieżącej a wartość stopy dyskontowej (r). Podobnie z im odleglejszego momentu w przyszłości sprowadzamy kwoty, tym ich wartość bieżąca jest mniejsza.
PŁATNOŚCI ANNUITOWE
Annuity oznacza serie stałych płatności (PMT) dokonywanych w ciągu n okresów, w równych odstępach czasu. Przykładem tego typu płatności są:
Spłaty rat kapitałowych kredytu bankowego
Opłaty leasingowe
Spłaty kredytu annuitowego (w kolejnych okresach równe sumy rat i odsetek)
Płatności wynikające z umowy wynajmu lub dzierżawy
Płatności ubezpieczeniowe
Płatności na fundusze emerytalne
Annuity może być seria stałych i regularnych wpływów do firmy, np. wynikających z uruchomienia inwestycji.
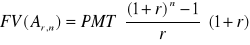
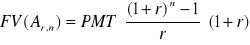
WARTOŚĆ PRZYSZŁA ANNUITY
Niekiedy interesuje nas wartość przyszła strumienia płatności lub wydatków. Przykładowo taka sytuacja ma miejsce przy wyznaczeniu wartości przyszłej serii stałych płatności na rzecz funduszu emerytalnego. Próbuje się wówczas ustalić, czy wartość tej przyszłej kwoty jest satysfakcjonująca.
W tej sytuacji wartość bieżącą annuity sprowadzamy do jej przyszłej wartości.
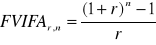
Skumulowaną przyszłą wartość annuity tj. serii stałych płatności na koniec n-tego okresu, określają wzory:
![]()
1)
Gdzie:
FV(Ar,n) - przyszła wartość annuity na koniec n-tego okresu dla n płatności okresowych
r - stopa procentowa (dla jednego okresu)
n - liczba płatności równa licznie okresów
PMT - wielkość annuity realizowanej na koniec każdego okresu
Z powyższego wzoru wynika, ze wartość przyszła serii stałych płatności zależy od wielkości płatności annuitowej (PMT) oraz od współczynnika zależnego od liczby okresów (n) i stopy procentowej (r).
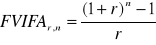
![]()
2)
Gdzie:
FVIFAr,n - współczynnik wartości przyszłej dla n płatności anuuitowych i r procent
Współczynnik ten można obliczyć z następującego wzoru:
![]()
Jeżeli płatności są dokonywane na początku każdego okresu, podany wyżej wzór wartości przyszłej annuity modyfikuje się do postaci:
![]()
We wzorze tym zakłada się, ze płatności są dokonywane o jeden okres wcześniej w porównaniu z annuitami finansowymi z dołu (na koniec okresu), bo te annuity są nazywane annuitami finansowymi z góry.
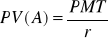
WARTOŚĆ BIEŻĄCA ANNUITY,
Serię stałych płatności, realizowanych na koniec n okresów przy stopie dyskontowej r, można sprowadzić na koniec okresu bieżącego za pomocą wzorów:
Oznacza to, że przyszłą wartość annuity sprowadzamy do jej wartości w bieżącym okresie (na dzień dzisiejszy). Może to służyć menedżerowi także przy wyborze sposobu spłaty i oprocentowania zaciąganego kredytu bankowego.
![]()
1)
Gdzie:
PV(Ar,n) - wartość bieżąca annuity dla n płatności is topy dyskontowej równej r
PMT - wielkość annuity realizowanej na koniec każdego okresu
r - stopa dyskontowa (dla jednego okresu)
n - liczba płatności
Wartość bieżąca płatności annuitowych zależy od wielkości płatności (PMT) oraz stopy dyskontowej (r) i liczby okresów (n).
![]()
2)
Gdzie:
PVIFAr,n - współczynnik wartości bieżącej dla n płatności annuitowych i r procent
Współczynnik ten można obliczyć z następującego wzoru:
![]()
Jeżeli płatności są dokonywane na początku każdego okresu, podany wyżej wzór wartości przyszłej annuity modyfikuje się do postaci:
![]()
We wzorze tym zakłada się, ze płatności są dokonywane o jeden okres wcześniej w porównaniu z annuitami finansowymi z dołu (na koniec okresu), bo te annuity są nazywane annuitami finansowymi z góry.
ANNUITY STAŁE DO NIESKOŃCZONOŚCI
Kiedy zakładamy, ze liczba okresów (n) dąży do nieskończoności, wówczas wzór na obliczanie bieżącej wartości annuity stałej upraszcza się do postaci:
![]()
Wzór ten może służyć do wyceny aktywów i instrumentów finansowych generujących stałe przepływy pieniężne w długim okresie.
Oznacza to, ze sprawdza się ile warte są instrumenty finansowe firmie i ile warte są na dzień dzisiejszy wpływy jakie z nich napływają i będą napływać w przyszłości.
ANNUITY ROSNĄCE DO NIESKOŃCZONOŚCI
Gdy zakładamy ze liczba okresów (n) dąży do nieskończoności(nie przewiduje się zakończenia działalności), ale dodatkowo zakładamy także, że:
Płatności realizowane w kolejnych okresach są o g% większe od płatności okresu poprzedniego (PTT=PTT-1·(1+g))
Stopa dyskontowa (r) jest większa od tempa wzrostu (g), tj r>g
Wzór na wartość bieżącą annuity upraszcza się do postaci:
![]()
Gdzie:
PMT1 - płatność na koniec okresu pierwszego, większa o g% od płatności okresu zerowego (oznacza to, że PMT1=PMT0·(1+g))
Wzór ten jest stosowany do wyceny bieżącej wartości strumieni pieniężnych realizowanych w długim okresie (w przybliżeniu do nieskończoności).
Wzór ten nazywa się modelem Gordona.
Przy założeniu zmiennej stopy procentowej i dyskontowej
W praktyce często mamy do czynienia z sytuacjami, w których stopa dyskontowa ulega zmianie. Może to wynikać ze zmiany kosztów kapitałów dostępnych dla firmy lub ze zmiany poziomu ryzyka funkcjonowania firmy albo projektu inwestycyjnego.
WARTOŚĆ PRZYSZŁA
Kiedy mamy do czynienia z różnymi stopami procentowymi w kolejnych okresach wartość przyszłą można wyznaczyć ze wzoru:
![]()
Gdzie:
FV2 - wartość przyszła annuity
PV - wartość bieżąca annuity
r1, r2, rn - stopa procentowa w kolejnych okresach
Za pomocą tego wzoru możemy obliczy np. ile zyskamy na depozycie złożonym w banku, który oprocentowany jest zmienną stopa procentową.
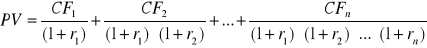
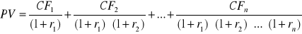
WARTOŚC BIEŻĄCA
Kiedy mamy do czynienia z różnymi stopami procentowymi w kolejnych okresach wartość bieżącą można wyznaczyć ze wzoru:
![]()
Gdzie:
PV - wartość bieżąca annuity
CF1,CF2,CFn - wpływy finansowe w kolejnych latach
r1, r2, rn - stopy dyskontowe w kolejnych latach
Dzięki temu wzorowi możemy obliczyć wartość bieżącą przyszłych wpływów pieniężnych powstałych np. w wyniki jakiejś inwestycji.
EFEKTYWNA ROCZNA STOPA PROCENTOWA
Efektywna roczna stopa procentowa - równoważny roczny koszt pożyczki. Jest on uzależniony od nominalnej stopy procentowej oraz okresów w jakich następuje kapitalizacja odsetek tj. od częstotliwości kapitalizacji.
Wzór na efektywną równoważną stopę procentową (rear) jest następujący:
![]()
Gdzie:
rear - efektywne równoważne oprocentowanie roczne
rnom - nominalne procentowanie roczne
m - liczba kapitalizacji w roku
Jak wynika z formuły, efektywne roczne oprocentowanie zależy od: nominalnego oprocentowania rocznego (r) oraz od liczby kapitalizacji w roku (m). Liczna kapitalizacji w niejednoznaczny sposób oddziałuje na wielkość efektywnego procentowanie rocznego, gdyż wielkość m znajduje się w wykładniku potęgi oraz w mianowniku ułamka.
Wskaźnika ten określa ile w rzeczywistości wyniesie stopa procentowa w zależności od liczby kapitalizacji w roku.
Dzięki przekształceniu tego wzoru można także określić ile powinna wynosić nominalna stopa procentowa, a efektywna stopa procentowa osiągnęła oczekiwany poziom.
Korzystając z tej wartości można także obliczyć wartość przyszłą (FV) dla kapitalizacji w okresach krótszych niż rok; wykorzystujemy tutaj wzór:
![]()
Dzięki temu wzorowi możemy łatwo sprawdzić jaki sposób kapitalizacji przyniesie nam większe zyski.
Występuje tutaj także pewna zależność: zwiększając liczbę kapitalizacji, otrzymujemy większą wartość przyszłą. Jednocześnie widać że tempo wzrostu wartości przyszłej (FV) jest coraz mniejsze.
WARTOŚĆ PIENIĄDZA W WARUNKACH INFLACJI
Integralnym składnikiem procesów gospodarczych jest inflacja. Zjawisku temu towarzyszy utrata siły nabywczej kapitałów posiadanych przez firmę. W praktyce firma dokonuje inwestycji o określonej nominalnej stopie zwrotu, jednak realna stopa zwrotu uwzględniać musi inflację.
Zależność miedzy nominalna stopą zwrotu, realna stopą zwrotu i stopą inflacji jest przedstawiona w równaniu Fishera:
![]()
Gdzie:
rnom - nominala stopa zworu (w jednym okresie)
rreal - realna stopa zwrotu (w jednym okresie)
i - stopa inflacji (w jednym okresie)
Przy założeniu niskiego poziomu inflacji (i bliskie zera) wzór ten upraszcza się do postaci:
![]()
![]()
![]()
![]()
![]()
![]()
![]()
![]()
![]()
![]()
![]()
![]()
![]()
![]()
![]()
![]()
![]()
![]()
![]()
![]()
![]()
![]()
![]()