POLITECHNIKA CZĘSTOCHOWSKA
LABORATORIUM ELEKTROTECHNIKI TEORETYCZNEJ
Ćwiczenie nr 5
Temat: Badanie składowych symetrycznych w niesymetrycznym układzie trójfazowym trójprzewodowym.
Wykonali:
Pal Sylwester
Ogłaza Damian
Nowak Katarzyna
Pazera Anna
sem. IV gr.V
Cel ćwiczenia.
Celem ćwiczenia są pomiary składowych symetrycznych zgodnej i przeciwnej napięć przewodowych oraz porównanie otrzymanych wyników z wyliczeniami analitycznymi i wykreślnymi.
Składowe symetryczne układów trójfazowych niesymetrycznych można wyznaczyć w sposób doświadczalny za pomocą specjalnych układów wyodrębniających badane składowe. W oparciu o te układy budowane są tzw. filtry składowych symetrycznych, z których jeden zastosowano w badanym układzie pomiarowym.
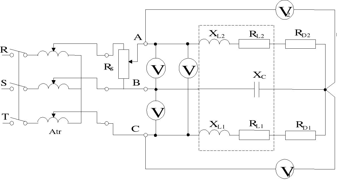
Schemat układu pomiarowego.

Atr - autotransformator trójfazowy
Rs - opornica suwakowa
RL1, XL1, RL2, XL2 - dwie jednakowe cewki powietrzne
Xc - kondensator
RD1, RD2 - oporniki dodatkowe, dekadowe
RD1 = 686,4 Ω
RD2 = 686,8 Ω
V - woltomierze elektromagnetyczne
V1, V2 - woltomierze lampowe
Tabela wyników pomiarowych.
Lp. |
Pomiary |
Obliczenia |
Wykreślnie |
||||||
|
Uab |
Ubc |
Uca |
U1 |
U2 |
U1 |
U2 |
U1 |
U2 |
|
V |
V |
V |
V |
V |
V |
V |
V |
V |
1 |
52,5 |
53,5 |
50 |
52,2 |
2,78 |
51,67 |
2,114 |
51,66 |
3 |
2 |
26,2 |
52,2 |
42,5 |
38,63 |
16,16 |
38,524 |
15,115 |
38,3 |
15,3 |
3 |
2 |
52,5 |
51 |
30,5 |
29,2 |
30,482 |
29,288 |
30 |
29 |
4 |
32,5 |
33 |
30 |
32,05 |
2,02 |
31,69 |
1,805 |
31,6 |
3 |
5 |
15 |
32,5 |
26,5 |
23,75 |
10,9 |
21,448 |
9,999 |
23,6 |
10 |
6 |
2 |
32,5 |
31 |
18,8 |
19,35 |
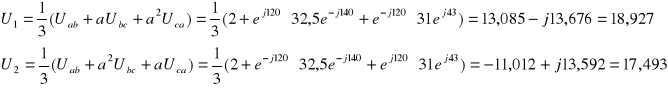
18,927 |
17,493 |
18,5 |
17,5 |
Obliczenia.
Pomiar 1:

![]()

Pomiar 2:

![]()

Pomiar 3:

![]()

Pomiar 4:

![]()

Pomiaru 5:

![]()

Pomiar 6:

![]()

Wnioski.
Podczas wykonywania tego ćwiczenia zapoznaliśmy się z wpływem niesymetrii układu na wartość składowych symetrycznych napięć przewodowych. Składowe symetryczne pozwalają na zastąpienie dowolnego układu trójfazowego napięć lub prądów zespołem trzech układów symetrycznych : kolejności zgodnej , przeciwnej oraz zerowej , a następnie zastosować dla nich superpozycję.
W układach trójkątnych i gwiazdowych napięcia liniowe nie zawierają składowej zerowej kolejności. Im bardziej układ jest niesymetryczny tym wartość skuteczna składowej kolejności przeciwnej jest większa co możemy potwierdzić na podstawie przeprowadzonego ćwiczenia. Wraz ze wzrostem asymetrii układu wzrastał wskaz składowej kolejności przeciwnej (U2), malał natomiast wskaz składowej kolejności zgodnej. Tak więc składowa kolejności przeciwnej świadczy o stopniu asymetrii układu.
Składowa symetryczna układu trójfazowego można wyznaczyć również metodą graficzną.