UKŁADY RÓWNAŃ LINIOWYCH
I UKLADY CRAMERA
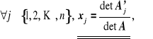
1) Rozwiązywanie metodą macierzową układu równań Cramera (n równań z n niewiadomymi i nieosobliwą macierzą współczynników A):

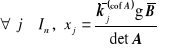
2) Rozwiązywanie za pomocą gotowych wzorów Cramera :

gdzie ![]()
- wyznacznik macierzy powstałej z macierzy A przez zastąpienie i-tej kolumny kolumną wyrazów wolnych B.
Szkic dowodu:

stąd
![]()
, gdzie 
.
II UKLADY OGÓLNE (twierdzenie Kroneckera-Capelliego)
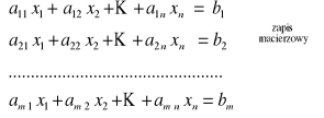
Podamy teraz warunki rozwiązalności ogólnego układu równań liniowych, zapisanego w symbolice macierzowej, tzn. 
![]()
,
gdzie ![]()
jest zadaną macierzą współczynników układu, ![]()
- zadanym wektorem kolumnowym wyrazów wolnych, ![]()
- wektorem kolumnowym niewiadomych.
Zdefiniujmy w tym celu macierz utworzoną z macierzy A przez dołączenie do niej dodatkowej ![]()
kolumny wyrazów wolnych B . Będziemy ją oznaczać przez U i nazywać macierzą uzupełnioną (rozszerzoną), czyli
![]()
.
Twierdzenie (Kroneckera-Capelliego). Mogą zajść dwa przypadki:
układ rozwiązalny: ![]()
,
układ sprzeczny: ![]()
(ściślej: ![]()
)
W przypadku 1):
układ posiada dokładnie jedno rozwiązanie ![]()
,
układ posiada nieskończenie wiele rozwiązań zależnych od ![]()
parametrów
![]()
Podamy algorytm uzyskania rozwiązań w przypadku 1):
Niech M jest podmacierzą kwadratową stopnia r macierzy współczynników A o wyznaczniku różnym od 0, zwaną macierzą bazową (istnieje, bo ![]()
). Zmienne, których współczynniki występują w tej macierzy nazywamy zmiennymi bazowymi (jest ich r).
Usuwamy z układu te równania, których współczynniki nie wchodzą w skład macierzy M, otrzymując układ równań równoważny wyjściowemu.
Przyjmujemy jako dowolne parametry rzeczywiste te zmienne niebazowe (jest ich ![]()
), których współczynniki nie występują w macierzy bazowej M i składniki z tymi parametrami przenosimy do kolumny wyrazów wolnych.
Rozwiązujemy otrzymany w ten sposób układ Cramera stopnia r ze zmiennymi bazowymi i macierzą współczynników M oraz z kolumną wyrazów wolnych zawierających parametry.
METODA ELIMINACJI GAUSSA I JORDANA -GAUSSA
Idea:
Rozwiązywanie układów równań liniowych w oparciu o twierdzenie Kroneckera-Capelliego dla dużej liczby równań i niewiadomych staje się na ogół kłopotliwe. Dlatego w obliczeniach numerycznych stosuje się metodę opartą na sukcesywnej eliminacji (rugowaniu) niewiadomych zwaną metodą elimimacji Gaussa lub metodą Jordana -Gaussa.
Idea tej metody polega na przekształcaniu równoważnym wyjściowego dowolnego układu ![]()
za pomocą operacji na równaniach (inaczej operacji na wierszach macierzy ![]()
nie zmieniających jej rzędu) do postaci
![]()
(w metodzie Gaussa)
gdzie

jest tzw. macierzą trójkątną (z zerami pod główną przekątną) oraz
![]()
(w metodzie Jordana-Gaussa)
z macierzą jednostkową ![]()
.
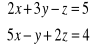
Przykład: (skrócony zapis układu: 
)

Tw. K-C: ![]()
, układ ma dokładnie jedno rozwiązanie ![]()
Przykłady:
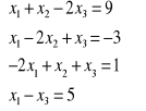
1) Rozwiązać układy równań (lub stwierdzić, że układ jest sprzeczny):
a) 
b) 
.
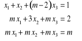
2) Dany jest układ równań z parametrem ![]()
:

.
Zbadać istnienie rozwiązań i podać rozwiązania, gdy istnieją, w zależności od
parametru m .
3