WYDZIAŁ ZARRRRZĄDZANIA
I PODSTAW TECHNIKI
W.T.4.1.
1.Agnieszka Baran
2.Bielecka Barbara
3.Sławomir Depta
4.Gardyga Konrad
5.Szałata Jarosław
LABORATORIUM ELEKTROTECHNIKI
ĆWICZENIE NR 2
TEMAT: POMIARY REZYSTANCJI, INDUKCYJNOŚCI I POJEMNOŚCI.
Rezystancja.
Zasadniczą rolę w obwodach elektrycznych odgrywają przewodniki metalowe, z których wykonuje się przemysłowe linie energetyczne, instalacje elektryczne, elementy grzejne w odbiornikach, itp.
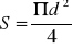
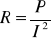
Rezystancja przewodnika metalowego w zależności od wymiarów geometrycznych i rodzaju materiału wynosi:
![]()
![]()
gdzie:
l-długość przewodnika,[m];
S-pole przekroju poprzecznego przewodnika,[mm2];
q-rezystywność (opór właściwy ),![]()
;
γ-konduktywność (przewodność właściwa ),![]()
.
Rezystywność jest to cecha materiału z którego wykonany jest przewodnik i jest to rezystancja w Ω przewodnika o długości 1m. i przekroju 1mm2.
Rezystancja przewodników metalowych wraz ze wzrostem temperatury rośnie;
![]()
gdzie:
Rt-rezystancja przewodnika w temperaturze t,
R0-rezystancja przewodnika w temperaturze początkowej t0,
α-temperaturowy współczynnik rezystancji.
Temperaturowy współczynnik rezystancji określa względną zmianę rezystancji przewodnika przy zmianie temperatury o 1°C.
pomiar rezystancji małych
Dla dwóch przewodników C1 iC2uformowanych w postaci dwóch cewek jednowarstwowych o danej liczbie zwojów 100 i 100, średnicy cewki 60mm i średnicy drutu odpowiednio 0,95 i 0,52 mm, mierzmy ich rezystancje mostkiem Thomsona i porównujemy rezystancjami obliczonymi wg wzoru:
![]()
CEWKA |
Liczba zwojów |
Średnica cewki |
Średnica drutu |
Materiał |
|
- |
mm |
mm |
- |
C1 |
135 |
60 |
0,7 |
Cu |
C2 |
100 |
60 |
0,6 |
Cu |
CEWKA |
Wyniki pomiarów |
Wartość średnia |
Obliczona z danych |
||
|
I |
II |
III |
|
|
|
Ω |
Ω |
Ω |
Ω |
Ω |
C1 |
1,2 |
1,2 |
1,2 |
1,2 |
1,16 |
C2 |
1,4 |
1,4 |
1,4 |
1,4 |
1,2 |
![]()
![]()
![]()
![]()
l1=Π*60*135*10-3;
l2=Π*60*100*10-3;
S1=∏*d2/4=∏*(0,7)2/4;
S2=∏*d2/4=∏*(0,6)2/4;
R1=∏*60*135*10-3*4/56*∏*(0,7)2=1,16Ω
R2=∏*60*100*10-3*4/56*∏*(0,6)2=1,2Ω
Jeżeli chodzi o cewkę pierwszą to różnica między wartością średnia a obliczoną jest niewielka. Spowodowanie to mogło być niedokładnym odczytem z miernika. Natomiast w cewce drugiej różnica między wartością średnią a obliczoną jest znaczna. Spowodowane może być to nieprecyzyjnym wykonaniem pomiaru.
pomiar rezystancji dużych
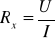
Pomiar rezystancji jednego opornika dokonujemy trzema metodami:
-miernikiem RLC z odczytem cyfrowym,
-technicznym mostkiem Wheatstone'a,
-metodą techniczna.
Pomiary wykonujemy dla trzech wartości napięcia zasilającego nastawionych autotransformatorem AT.
Miernik RLC |
Mostek Wheatston'a |
Metoda techniczna |
|||
RX |
RX |
U |
I |
RX |
RXśr |
Ω |
Ω |
V |
A |
Ω |
Ω |
157 |
158 |
60 |
0,38 |
157,9 |
159,5 |
|
|
30 |
0,18 |
166,7 |
|
|
|
40 |
0,26 |
153,8 |
|
Rx obliczamy z prawa Ohma:
![]()
Rx1=60/0,38=157,9Ω
Rx2=30/0,18=166,7Ω
Rx3=40/0,26=153,8Ω
Wykorzystanie metody pod względem pracochłonności można przedstawić w tej samej kolejności lak są w tabelce (ostatniej). Najbardziej pracochłonna z całą pewnością jest metoda techniczna, ponieważ wyniki otrzymujemy metodą pośrednią (po odczytaniu wielkości napięcia i natężenia rezystancję trzeba samodzielnie wyliczyć).
wyznaczanie temperatury cewki nagrzanej z przyrostu rezystancji
Do próby wykorzystujemy cewkę uzwojoną drutem miedzianym.
Autotransformatorem nastawiamy prąd w obwodzie około 1,2 In (In-prąd znamionowy cewki) i nagrzewamy cewkę przez około 10min.
Stan cewki |
U |
I |
P |
R |
t |
|
V |
A |
W |
Ω |
°C |
Zimny (temp. otoczenia) |
252 |
1 |
88 |
88 |
22 |
nagrzany |
256 |
1 |
100 |
100 |
57 |
Rezystancję R obliczamy ze wzoru:
![]()
i po przekształceniu:
![]()
R0=88/12=88Ω
Rt=100/12=100Ω
Temperaturę nagrzanego uzwojenia wyliczamy ze wzoru:
![]()
Temperaturowy współczynnik rezystancji dla miedzi wynosi:
![]()
t=100-88/0,0039*88+22=57oC
2. Indukcyjność
Indukcyjność własna cewki określa zależności:
![]()
gdzie:
L-indukcyjność własna cewki,[H];
z-liczba zwojów cewki;
Rμ-reluktancja obwodu magnetycznego,![]()
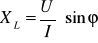
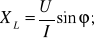
Reaktancja cewki:
![]()
![]()
![]()
Dla cewki powietrznej, rezystancja wynika z zależności:
![]()
jest praktycznie rezystancją przewodu uzwojenia cewki:
pomiar indukcji
Pomiar indukcji cewki bez rdzenia wykonujemy dla trzech różnych liczb zwojów miernikiem technicznym.
Cewka |
Liczba zwojów |
Metoda techniczna |
Miernik RLC |
|||||||
|
|
U |
I |
P |
cosϕ |
Z |
R |
XL |
L |
L |
|
|
V |
A |
W |
- |
Ω |
Ω |
Ω |
H |
H |
Bez rdzenia |
4400 |
100 |
0,56 |
22 |
0,39 |
178,6 |
69,7 |
162,5 |
0,52 |
- |
|
4800 |
100 |
0,46 |
17 |
0,37 |
217,4 |
80,4 |
202,2 |
0,64 |
- |
|
5200 |
100 |
0,4 |
13 |
0,33 |
250 |
82,5 |
235 |
0,75 |
- |
![]()
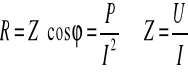
cosφ1=22/100*0,56=0,36
cosφ2=0,37
cosφ3=0,33

Z1=100/0,56=178,6Ω
Z2=217,4Ω
Z3=250Ω
R1=Z1*cosϕ1=178,6*0,39=69,7Ω
R2=Z2*cosϕ2=80,4Ω
R2=Z3*cosϕ3=82,5Ω
![]()
ϕ1=arc cosϕ1=0,91
XL=U1/I1sinφ1=100/0,56*0,91=162,5Ω
Φ2=arc cosφ2=0,93
XL=U2/I2sinφ2=100/0,46*0,93=202,2Ω
Φ3=arc cosφ3=0,94
XL=U3/I3sinφ3=100/0,4*0,94=235Ω
L=XL/2Πf
f=50Hz
L1=XL1/2Πf=162,5/2Π50=0,52H
L2=XL2/2Πf=0,64H
L3=XL3/2Πf=0,75H
Sprawdzamy warunek ![]()
porównując stosunki indukcyjności wynikające z danych liczb zwojów cewki ze stosunku tych indukcyjności uzyskanych pomiarów metodą techniczną.
Lmax/Lmin=(Zmax/Zmin)2
0,75/0,52=250/178,6
1,4=1,39
Popełnione przez nas błędy spowodowane były niedokładnym odczytem wskazań przyrządów a także zaokrągleniem obliczeń do drugiego miejsca po przecinku. Większą dokładność mogliśmy uzyskać zaokrąglając uzyskiwane przez nas wyniki do 5-6 cyfr po przecinku.
3. Pojemność
Kondensator jest to urządzenie elektryczne składające się z dwóch przewodników metalowych odizolowanych dielektrykiem. Kondensator ma zdolność gromadzenia ładunków elektrycznych. Napięcie zasilające U, ładunek q, i pojemność kondensatora C powiązane są zależnością:
![]()
Pojemność kondensatora może być zmierzona bezpośrednio lub wyznaczona metodami pośrednimi.
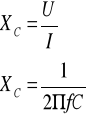
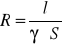
Do pomiarów bezpośrednich stosuje się mierniki RLC, natomiast pośrednio, na podstawie pomiarów napięcia przemiennego o znacznej częstotliwości i natężenia prądu płynącego przez kondensator:

pomiary pojemności
Wykonujemy pomiary dwóch kondensatorów metoda techniczną.
Kondensator |
Metoda techniczna |
Miernik RLC |
Pojemność dana |
|||
|
U |
I |
XC |
C |
C |
C |
|
V |
A |
Ω |
μF |
μF |
μF |
C1 |
100 |
0,88 |
113,6 |
28 |
- |
28 |
C2 |
100 |
0,38 |
263,2 |
12,1 |
- |
12 |
Błąd dopuszczalny poj. Kondensatora wynosi 10%
Xc1=U1/I1=100/0,88=113,6Ω
Xc2=U2/I2=100/0,38=263,2Ω
![]()
C1=1/35670,4=28μF
C2=12,1μF
Jak widać pojemność kondensatora uzyskana metodą techniczną w sposób pośredni ma wartość zbliżona do pojemności na kondensatorach. Różnica jest wynikiem błędu jaki popełniamy podczas odczytu z mierników, a także błędu popełnionego podczas liczenia.
Nie jesteśmy w stanie przeprowadzić pomiarów w ten sposób by wartość pojemności uzyskana metodą pośrednią była taka sama jak wartość dana.