EKONOMETRIA - ĆWICZENIA.
Ćwiczenia z dnia 25.03.2012 r.
Praca domowa zad 1.4
Zmienna X3 jest zmienną objaśnianą więc trzecia kolumna z macierzy R będzie macierzą R0 , a macierz nowo powstała będzie bez trzeciego wiersza i trzeciej kolumny.


r* = 0,38
Eliminujemy wszystkie zmienne których wartość jest mniejsza od r* .
Z macierzy R0 eliminujemy X1 , X6 , a z macierzy R eliminujemy pierwszy wiersz i pierwszą kolumnę (X1) i wiersz szóstego wyrazu i kolumnę przedostatnią (X6).
Wybieramy zmienną najsilniej skorelowaną z Y .
W naszym przypadku najsilniej skorelowaną zmienną w macierzy R0 jest zmienna X4 (-0,97)
Eliminujemy zmienne w macierzy R w wierszu zaznaczonym których zależność jest większa od r* .
W naszym przypadku w macierzy R eliminujemy -0,39 (X2) , 0,97 (X5) , -0,39 (X7 ) .
Więc do naszego modelu wchodzi X4 a wzór wygląda tak:
![]()
Praca domowa zad 1.6
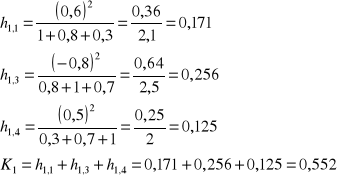
K1 = {X1 , X3 , X4 }
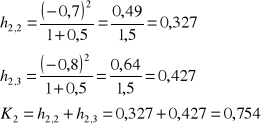
K2 = { X2 , X3 }



Lepsza w sensie pojemności informacji jest kombinacja zmiennych objaśniających K2 .
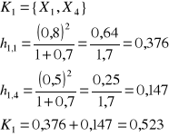
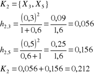
Praca domowa zad 1.7


Lepszą pojemność ma I model zmiennej.

a1 = wielkości oszacowań parametru
Zad 2.1
1.
2.
X |
Y |
|
|
|
|
|
|
|
|
1 |
2 |
-3 |
9 |
-4,2 |
12,6 |
3,113 |
1,239 |
17,64 |
1 |
2 |
4 |
-2 |
4 |
-2,2 |
4,4 |
4,142 |
0,02 |
4,84 |
4 |
2 |
4 |
-2 |
4 |
-2,2 |
4,4 |
4,142 |
0,02 |
4,84 |
4 |
5 |
6 |
1 |
1 |
-0,2 |
-0,2 |
7,229 |
1,51 |
0,04 |
25 |
3 |
7 |
-1 |
1 |
0,8 |
-0,8 |
5,171 |
3,345 |
0,64 |
9 |
4 |
7 |
0 |
0 |
0,8 |
0 |
6,20 |
0,64 |
0,64 |
16 |
5 |
8 |
1 |
1 |
1,8 |
1,8 |
7,229 |
0,594 |
3,24 |
25 |
5 |
7 |
1 |
1 |
0,8 |
0,8 |
7,229 |
0,052 |
0,64 |
25 |
6 |
8 |
2 |
4 |
1,8 |
3,6 |
8,258 |
0,067 |
3,24 |
36 |
7 |
9 |
3 |
9 |
2,8 |
8,4 |
9,287 |
0,082 |
7,84 |
49 |
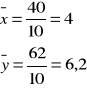
40 |
62 |
X |
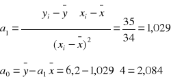
34 |
X |
35 |
|
7,569 |
43,60 |
194 |


![]()
![]()
JEŻELI ZATRUDNIENIE WZROŚNIE O JEDNĄ JEDNOSTKĘ TO WARTOŚĆ PRODUKCJI WZROŚNIE O 1,029 MLN ZŁ.
3.
4. odchylenie resztowe , współczynnik zbieżności , współczynnik determinacji, współczynnik zmienności
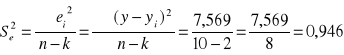
ODCHYLENIE RESZTOWE

![]()
WIELKOŚĆ PRODUKCJI WYZNACZONA NA PODSTAWIE FUNKCJI REGRESJI RÓŻNI SIĘ OD WIELKOŚCI RZECZYWISTEJ PRZECIĘTNIE O 0,973 MLN ZŁ.
WSPÓŁCZYNNIK ZMIENNOŚCI LOSOWEJ

(DO 35%) SĄ TO MAŁE , NIEWIELKIE ODCHYLENIA, NIEWIELKI UDZIAŁ W ŚREDNIEJ Y .
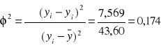
WSPÓŁCZYNNIK ZBIEŻNOŚCI

W 17,4% ZMIENNOŚĆ PRODUKCJI NIE JEST WYJAŚNIONA Z ZMIENNOŚCIĄ ZATRUDNIENIA.
WSPÓŁCZYNNIK DETERMINACJI

W 82,6% ZMIENNOŚĆ PRODUKCJI JEST WYJAŚNIONA ZMIENNOŚCIĄ ZATRUDNIENIA.
r2 - ok. 0,8 - dobrze dopasowany
powyżej 0,9 - bardzo dobrze dopasowany
5. ![]()
BARDZO SILNA ZALEŻNOŚĆ MIĘDZY ZMIENNYMI, DODATNIA.
6. 
SZACUJĄC WIELKOŚCI PARAMETRÓW ![]()
NA PODSTAWIE 10 ELEMENTOWEJ PRÓBY MYLIMY SIĘ ŚREDNIO O 0,735 DLA ![]()
I 0,167 DLA ![]()
7.
![]()
PRODUKCJA W ZAKŁADZIE, W KTÓRYM ZATRUDNIENIE WYNOSI 90 OSÓB BĘDZIE WYNOSIĆ PRZECIĘTNIE 11,345 MLN ZŁ.
-0,97
-0,19 -0,39 1 0,97 -0,24 -0,39
1