LIGA ZADANIOWA - ETAP 1
Czas dostarczenia rozwiązań: 21 listopada 2008 r.
Zad 1. Pewien człowiek prowadzi psa na smyczy w stronę domu, ze stałą prędkością 4 mil na godzinę. W odległości 10 mil od domu pies zostaje spuszczony ze smyczy i natychmiast biegnie do domu z prędkością 6 mil na godzinę. Po dotarciu na miejsce pies zawraca i biegnie do pana z tą samą prędkością. Dobiegłszy do pana, znowu zawraca w kierunku domu. Sytuacja taka powtarza się, aż w końcu właściciel psa dociera do domu i wpuszcza psa do środka. Ile mil przebiegnie pies od chwili spuszczenia ze smyczy do chwili wejścia do domu?
Zad. 2. Siostra jest o trzy lata młodsza od brata. Brat ma obecnie dwa razy tyle lat, ile miała siostra wtedy, kiedy brat miał tyle, ile ma siostra teraz. Ile lat ma siostra, a ile brat?
Zad. 3. Aby skosić łan zboża pierwszy kosiarz potrzebuje 6 godzin, drugi kosiarz 5 godzin, trzeci kosiarz 4 godziny, czwarty kosiarz 3 godziny, piąty kosiarz 2 godziny. Ile godzin zajmie im skoszenie łanu zboża, jeżeli będą pracować razem, każdy ze swoją wydajnością?
Zad. 4. Oblicz: ![]()
Zad. 5. Rozwiąż układ równań:

Zad. 6. Wpisz brakujące liczby od 1 do 16 tak, aby powstał kwadrat magiczny, w którym suma liczb w każdej linii pionowej, poziomej i na przekątnych jest taka sama.
|
|
15 |
|
|
|
|
|
|
|
10 |
|
|
|
|
|
Zad 1. Całą drogę pies musi pokonać w takim samym czasie, co czas potrzebny człowiekowi na powrót do domu, czyli:
![]()
![]()
.
Odp. Pies przebiegnie od chwili spuszczenia ze smyczy do chwili wejścia do domu dystans 15 mil.
Zad. 2.
![]()
: wiek (obecny) brata.
Siostra jest o trzy lata młodsza od brata, czyli ![]()
, to wiek (obecny) siostry.
3 lata temu brat miał ![]()
(czyli tyle co siostra ma teraz), a siostra miała ![]()
lat.
Brat ma obecnie dwa razy tyle lat, ile miała siostra wtedy.
![]()
![]()
![]()
Odp. Brat ma 12 lat, a siostra 9.
Zad. 3. Jako ciekawostka (niezwiązanie z rozwiązaniem):
Miary wielkości łana na ziemiach polskich
1 łan (huba) pruska 16,5 ha (~30 morg, = 66 pruskich morg)
1 łan frankoński 24,2 ha (48 morg) Małopolska
1 łan chełmiński 17,995 ha (~30 morg)
1 łan brandenburski 17,0215 ha (~30 morg)
1 łan warmiński 17,3387 ha (Prusy, (~30 morg, ~ 67 pruskich morg)
1 łan oleski 15,648 ha (Prusy Wschodnie 1720)
Rozwiązanie:
![]()
- ilość zboża, którą kosi 1 kosiarz w ciągu 1 godziny;
![]()
- ilość zboża, którą kosi 2 kosiarz w ciągu 1 godziny;
![]()
- ilość zboża, którą kosi 3 kosiarz w ciągu 1 godziny;
![]()
- ilość zboża, którą kosi 4 kosiarz w ciągu 1 godziny;
![]()
- ilość zboża, którą kosi 5 kosiarz w ciągu 1 godziny;
![]()
- czas potrzebny na wspólne skoszenie łana zboża.
![]()
, ![]()
, ![]()
, ![]()
, ![]()
![]()
![]()
, ![]()
, ![]()
, ![]()
, ![]()

.
Odp. Wspólne skoszenie łana zboża zajmie im ![]()
godziny.
Zad. 4.
![]()
= 
=
![]()
![]()
= 24.
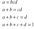
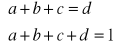
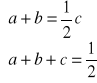
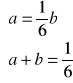
Zad. 5. Z (iii) i (iv) równania otrzymujemy: 
co po podstawieniu daje: ![]()
, czyli ![]()
.
Teraz, z (ii) i (iii) równania otrzymujemy: 
co po podstawieniu daje: ![]()
, czyli ![]()
.
Ponownie, z (i) i (ii) równania otrzymujemy: 
co po podstawieniu daje: ![]()
, czyli ![]()
.
A z równania (i) wynika, że ![]()
.
Odp. 
Zad. 6. Suma liczb w każdej linii pionowej, poziomej i na przekątnych jest taka sama, czyli równa ![]()
sumie wszystkich liczb od 1 do 16: ![]()
Skorzystałem tu z wzoru na sumę: ![]()
.
Jest wiele możliwych rozwiązań (), między innymi następujące:
4 |
9 |
15 |
6 |
14 |
7 |
1 |
12 |
5 |
16 |
10 |
3 |
11 |
2 |
8 |
13 |
12 |
1 |
15 |
6 |
4 |
9 |
7 |
14 |
5 |
8 |
10 |
11 |
13 |
16 |
2 |
3 |
www.pitagorejczycy.strefa.pl