Fal Jacek 14.11.2005
Sprawozdanie z ćwiczenia nr.10
Wyznaczenie częstotliwości drgań widełek stroikowych metodą pomiaru częstotliwości dudnienia.
Rodzaje fal.
Zasada superpozycji, interferencja.
Zjawisko dudnienia.
Fale mechaniczne polegają na wytrąceniu zespołu cząstek ośrodka sprężystego z położenia równowagi, co powoduje ich drganie wokół tego położenia, przy czym dzięki właściwościom sprężystego ośrodka, zaburzenie przenosi się z jednej warstwy na następną, wprawiając ją w ruch drgający o określonej częstotliwości. W zależności od kierunku drgań cząsteczek ośrodka w stosunku do kierunku rozchodzenia się fali rozróżnia się fale poprzeczne lub podłużne. Fala poprzeczna występuje wtedy, gdy cząsteczki ośrodka sprężystego drgają prostopadle do kierunku rozchodzenia się fali. Fala podłużne natomiast występuje, gdy cząsteczki ośrodka drgają wzdłuż kierunku rozchodzenia się fali.
Odległość między dwoma najbliższymi cząsteczkami ośrodka drgającego mającymi jednakowe fazy nazywamy długością fali λ. Okres T jest to czas, w którym ruch falowy przenosi się na odległość λ. Tak, więc prędkość v ruchu falowego określa się wzorem:
![]()
Częstotliwość drgań f wynosi:
![]()
Jeżeli przez ośrodek sprężysty przechodzi równocześnie kilka fal rozchodzących się z różnych źródeł drgań, to każda cząsteczka ośrodka uczestniczy w kilku nakładających się wzajemnie ruchach drgających. Zasada superpozycji mówi nam, że wychylenie jakiego doznaje każda cząsteczka ośrodka jest sumą wektorową wychyleń jakich doznawałaby przy rozchodzeniu się każdej z tych fal z osobna. Drgania cząsteczki mogą się osłabiać lub wzmacniać, w zależności czy są wynikiem nakładania się fal o fazach zgodnych, czy też przeciwnych. Zjawisko to nosi nazwę interferencji fal.
Szczególnym przypadkiem interferencji jest powstawanie fali stojącej, będącej wynikiem nakładania się dwóch fal o jednakowych amplitudach, częstotliwościach i prędkościach, rozchodzących się w ośrodku sprężystym w przeciwnych kierunkach. W tym przypadku są cząsteczki, w których drgania nie występują, zwane węzłami fali stojącej.
Dudnienie jest to zjawisko spowodowane nakładaniem się dwu ciągów fal o równych amplitudach rozchodzących się w tym samym ośrodku.
Zaburzenie spowodowane przez jedną z fal w dowolnym punkcie opisuje równanie:
![]()
można przyjąć, że φ1=0 φ2=0 oraz x=0.
Zgodnie z zasadą superpozycji:
![]()
podstawiając ω1=2πf1 i ω2=2πf2 otrzymujemy:
![]()
Drgania wypadkowe mają więc częstotliwość: ![]()
, a amplitudę A opisuje wyrażenie:
![]()
Maksymalna amplituda, czyli dudnienie występuje wówczas, gdy:
![]()
czyli zdarza się dwa razy w ciągu okresu. Częstotliwość dudnień jest równa podwójnej częstotliwości modulacji.
![]()
fdud = 2fmod = f2 - f1
Przebieg ćwiczenia.
Ustawić widełki stroikowe tak aby pudła rezonansowe były skierowane otworami ku sobie.
Nałożyć pierścień i ustawić go w położeniu y1. Częstotliwość drgań widełek z pierścieniem przyjmujemy f1.
Uderzając młoteczkiem w obie pary widełek wywołujemy dudnienie.
Mierzymy czas t1 dziesięciu kolejnych wzmocnień dźwięku. Pomiary powtarzamy 10 razy i obliczamy okres dudnienia Td1.
Zmieniamy położenie pierścienia do pozycji drugiej y2 i powtarzamy czynności z punktu 3. W analogiczny sposób obliczamy Td2.
Obliczamy częstotliwość drgań widełek stroikowych z pierścieniem za pomocą wzoru:
![]()
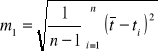
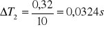
Błąd pomiaru czasu ∆t i okresu ![]()
obliczamy jako średni błąd kwadratowy, błąd częstotliwości fd metodą różniczki zupełnej.
Obliczenia.
f2= 435 Hz
![]()
y1 y2
![]()
![]()
![]()
![]()
![]()
![]()
![]()
![]()
![]()
![]()
![]()
![]()
![]()
![]()
![]()
![]()
![]()
![]()
![]()
![]()
![]()
y1 y2
![]()
![]()
![]()
![]()
![]()
![]()
![]()
![]()
![]()
![]()
![]()
![]()
![]()
![]()
![]()
![]()
![]()
![]()
![]()
![]()
![]()
![]()
y1 y2
f1= 435-0,53 = 434,47 Hz f1= 435-0,47 = 434,53 Hz
f2= 435-0,6 = 434,4 Hz f2= 435-0,48 = 434,52 Hz
f3= 435-0,58 = 434,42 Hz f3= 435-0,53 = 434,47 Hz
f4= 435-0,63 = 434,37 Hz f4= 435-0,47 = 434,53 Hz
f5= 435-0,67 = 434,33 Hz f5= 435-0,52 = 434,48 Hz
f6= 435-0,63 = 434,37 Hz f6= 435-0,52 = 434,48 Hz
f7= 435-0,65 = 434,35 Hz f7= 435-0,51 = 434,49 Hz
f8= 435-0,61 = 434,39 Hz f8= 435-0,53 = 434,47 Hz
f9= 435-0,01 = 434,99 Hz f9= 435-0,5 = 434,5 Hz
f10= 435-0,64 = 434,36 Hz f10= 435-0,52 = 434,48 Hz

, ![]()
![]()
, ![]()
![]()
, ![]()
![]()
![]()
![]()
y1 y2
f1= 434,47 Hz f1=434,53 Hz
f2=434,41 Hz f2=434,52 Hz
f3=434,42 Hz f3=434,47 Hz
f4=434,37 Hz f4=434,53 Hz
f5=434,33Hz f5=434,48 Hz
f6=434,37Hz f6=434,48 Hz
f7=434,35 Hz f7=434,49 Hz
f8=434,39Hz f8=434,47 Hz
f9=434,99 Hz f9=434,51 Hz
f10=434,36 Hz f10=434,48 Hz
y1


y2


fśr=(434,45 ± 0,06)Hz fśr=(434,49 ± 0,01)Hz
Wnioski.
Na podstawie przeprowadzonego doświadczenia możemy stwierdzić że dudnienie zachodzi w równych odstępach czasów i dla każdej próby ma zbliżoną częstotliwość. Różnice w poszczególnych częstotliwościach wynikają z niedoskonałości aparatu słuchowego wykonujących doświadczenie.
Lp. |
y |
f2 [Hz] |
t [s] |
Td [s] |
fd [Hz] |
f1±f2 [Hz] |
1 |
y1 |
435 |
18,8 |
1,88 |
0,53 |
434,45±0,06 |
2 |
|
|
16,8 |
1,68 |
0,6 |
|
3 |
|
|
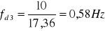
17,36 |
1,74 |
0,58 |
|
4 |
|
|
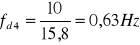
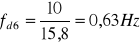
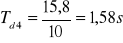
15,8 |
1,58 |
0,63 |
|
5 |
|
|
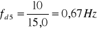
15,0 |
1,5 |
0,67 |
|
6 |
|
|
15,8 |
1,58 |
0,63 |
|
7 |
|
|
15,47 |
1,55 |
0,65 |
|
8 |
|
|
16,53 |
1,65 |
0,61 |
|
9 |
|
|
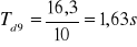
16,31 |
1,63 |
0,61 |
|
10 |
|
|
15,72 |
1,57 |
0,64 |
|
1 |
y2 |
|
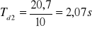
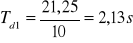
21,25 |
2,13 |
0,47 |
434,49±0,01 |
2 |
|
|
20,7 |
2,07 |
0,48 |
|
3 |
|
|
18,78 |
1,88 |
0,53 |
|
4 |
|
|
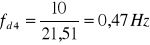
21,51 |
2,15 |
0,47 |
|
5 |
|
|
19,06 |
1,91 |
0,52 |
|
6 |
|
|
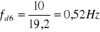
19,20 |
1,92 |
0,52 |
|
7 |
|
|
19,47 |
1,95 |
0,51 |
|
8 |
|
|
18,87 |
1,89 |
0,53 |
|
9 |
|
|
20,06 |
2,01 |
0,5 |
|
10 |
|
|
19,44 |
1,94 |
0,52 |
|