Wyznaczanie współczynnika załamania światła w powietrzu.
Wykonali:
Olejnik A.,
Szymanek J.,
Ciapała T.,
Grupa nr: 3,
Sekcja nr: 1,
Wydział: RAu,
WSTĘP.
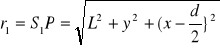
W celu wyznaczenia współczynnika załamania światła w gazie można wykorzystać zjawisko interferencji wiązek światła spójnego, pochodzących z dwóch szczelin. Wiązka światła z punktowego źródła światła dociera do dwóch szczelin S1 i S2.
Wiązki świetlne wychodzące ze szczelin ulegają interferencji w punkcie obserwacji. Drogi r1 i r2 przebyte przez wiązki wynoszą :
![]()
![]()
gdzie :
L - odległość szczelin od płaszczyzny obserwacji, d - wzajemna odległość szczelin, x, y - współrzędne punktu obserwacji,
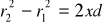
Ponieważ ![]()
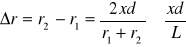
różnica dróg przebytych przez promienie wynosi:
![]()
przy założeniu, że r1 r2 L.
Jeżeli współczynnik załamania ośrodka, w którym rozchodzą się wiązki światła wynosi n , to różnica dróg optycznych promieni będzie równa :
![]()
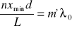
Położenia kolejnych maksimów i minimów obrazu interferencyjnego można określić z warunków:
![]()
, m = 0, 1, 2, ...
![]()
, m = ½, 3/2, 5/2, ...
przy czym 0 oznacza długość fali świetlnej.
Jeżeli na drodze jednej z wiązek znajdzie się ośrodek o współczynniku załamania, w którym wiązka ta przebywa drogę geometryczną l, to zmiana drogi optycznej wiązki, wynosząca (n'-n)l, spowoduje zmianę rzędu widma o wartość m.
m można wyznaczyć z warunku :
(n' - n) l = m 0
Wyrażenie występujące po prawej stronie tego równania jest równe zmianie drogi optycznej l . Wynika stąd, że zmiana współczynnika załamania n = n'-n jest równa względnej zmianie drogi optycznej l/l, czyli
n = l / l
2. OPIS PRZEBIEGU ĆWICZENIA.
W doświadczeniu tym użyto interferometru (refraktometru) szczelinowego wykorzystującego zjawisko interferencji wiązek światła spójnego pochodzących z dwóch szczelin.
Światło z punktowego źródła światła S pada na soczewkę kolimującą L1, a następnie na szczeliny S1 i S2, które są wtórnymi źródłami równoległych wiązek światła spójnego. Na drodze wiązek świetlnych umieszczone są kuwety z badanym gazem, płytki kompensujące C1 i C2 oraz soczewka L2. Do jednej z kuwet podłączona jest pompa umożliwiająca dokonanie niewielkich zmian ciśnienia powietrza w stosunku do ciśnienia atmosferycznego. Obraz interferencyjny w płaszczyźnie obserwacji stanowić dwa układy prążków, przy czym jeden z nich jest stałym układem prążków odniesienia. Układ ten powstaje wskutek interferencji wiązek światła biegnących poniżej kuwet. Zmiana współczynnika załamania ośrodka na drodze jednej z wiązek przechodzących przez kuwety powoduje zmian rzędu widma Δm, którą obserwuje się jako przesunięcie układu prążków pomiarowych względem układu prążków odniesienia. Układ płytek kompensacyjnych C1 i C2, z których jedna ruchoma połączona jest ze śrubą mikrometryczną, umożliwia skompensowanie zmiany współczynnika załamania i wyznaczenie wartości Δm.
Zmieniając skokowo ciśnienie w jednej z kuwet interferometru, odczytano dla każdej wartości ciśnienia p wskazania śruby mikrometrycznej, przy którym górne i dolne prążki interferencyjne pokrywały się. Ciśnienie nieco wyższe (p0+Δp) i nieco niższe od aktualnego uzyskano za pomocą pompki, przekładając wąż na odpowiedni jej wylot. Pomiary starano się wykonać dla całego zakresu pomiarowego manometru wodnego, służącego do pomiaru Δp. W przypadku, gdy położenie śruby przechodziło przez zero, zmieniano znak jego odczytu. Ciśnienie atmosferyczne przyjęto:
p0=1000 hPa
Wyniki pomiarów przedstawiono w tabeli :
Ciśnienie [mm słupa wody] |
Ilość działek śruby mikrometrycznej |
0 |
31 |
40 |
57 |
75 |
83 |
110 |
142 |
140 |
161 |
165 |
182 |
195 |
200 |
215 |
215 |
245 |
240 |
265 |
252 |
-25 |
11 |
-45 |
-22 |
-70 |
-46 |
-90 |
-64 |
-120 |
-88 |
-155 |
-108 |
-185 |
-133 |
-210 |
-150 |

Pomiary przeprowadzano przy ciśnieniu atmosferycznym równym p0 = 1000 hPa =10190 mm słupa wody.
Po wykonaniu regresji liniowej, gdzie oś Y to działki śruby mikrometrycznej a oś X to ciśnienie w mm słupa wody otrzymano wartość współczynnika kierunkowego prostej
a = 0.886 działek / mm wody,
natomiast
Δa = ± 0,014 działek / mm wody,
Korzystając ze wzoru
n = l + akp0 /l
gdzie:
k - przelicznik działek śruby mikrometrycznej na długość drogi optycznej (k=0.02μm. / działkę)
l - długość rurki, w której zmieniano ciśnienie powietrza (l = 0.5 m)
obliczmy współczynnik załamania światła w powietrzu:
3. ANALIZA BŁĘDÓW I DYSKUSJA OTRZYMANYCH WYNIKÓW.
Celem tego ćwiczenia było wyznaczenie wartości współczynnika załamania światła w powietrzu. Do wyznaczenia tego współczynnika wykorzystano zjawisko interferencji wiązek światła spójnego, pochodzących z dwóch szczelin. Na drodze tych wiązek umieszczone są kuwety z powietrzem, płytki kompensujące oraz soczewka. Do jednej z kuwet podłączona jest pompa umożliwiająca dokonanie niewielkich zmian ciśnienia powietrza w stosunku do ciśnienia atmosferycznego. Obraz interferencyjny stanowić dwa układy prążków, przy czym jeden z nich jest stałym układem odniesienia. Zmian współczynnika załamania obserwuje się jako przesunięcie układu prążków pomiarowych względem układu prążków odniesienia. Układ płytek kompensujących, z których jedna ruchoma połączona jest ze śrubą mikrometryczną, umożliwia skompensowanie zmiany współczynnika załamania i wyznaczenie zmiany rzędu widma. Pomiary przeprowadzano dla nadciśnienia i dla podciśnienia. Wyniki jakie uzyskano za pomocą tych dwóch rodzajów pomiarów są w przybliżeniu taki same. Przeprowadzone pomiary pozwoliły nam stwierdzić obserwowane zmiany współczynnika załamania są liniową funkcją przyrostów ciśnienia (co widać na dołączonym wykresie). Opracowane wyniki są podane z wielkim przybliżeniem, a błędy są nieznaczne (m.in. wynikają one z dokładności przyrządów pomiarowych.
