Z zagadnieniem wartości pieniądza w czasie wiążą się pojęcia stóp procentowych - nominalna stopa procentowa, efektywna roczna stopa procentowa, realna stopa procentowa.

Nominalna stopa procentowa (r) to stopa procentowa pokazująca nominalny przychód z posiadanego kapitału lub cenę kapitału udostępnionego. Nominalna stopa procentowa nie uwzględnia modelu kapitalizacji, ani inflacji. Jest to stopa ogłaszana w gazetach, reklamach, witrynach bankowych.

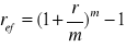
Efektywna roczna stopa procentowa (0x01 graphic
) jest uzależniona od nominalnej stopy procentowej oraz okresów, w jakich następuje naliczanie odsetek, czyli od częstotliwości kapitalizacji. Efektywna roczna stopa procentowa może być wyrażona wzorem:

0x01 graphic

r - nominalna roczna stopa procentowa

m - liczba kapitalizacji w ciągu roku

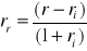
Realna stopa procentowa (0x01 graphic
) jest to stopa procentowa nominalna pomniejszona o stopę inflacji, czyli procent wzrostu średniego poziomu cen. Jest ona miarą wzrostu dochodów z tytułu depozytów po uwzględnieniu faktu, że w wyniku inflacji wzrastają ceny dóbr, które można zakupić w ciągu roku. Można wyznaczyć ją ze wzoru:

0x01 graphic

0x01 graphic
- stopa inflacji

Zadanie 4

Wylicz efektywną stopę procentową oferowaną przez banki A, B, C, D z Zadania 2. Wyniki sprawdzi w arkuszu kalkulacyjnym.

Zadanie 5

Jaka jest realna stopa procentowa oferowana przez te banki (dane z Zadania 2) przy stopie inflacji 1,7%.

A na koniec proszę obejrzeć:

http://www.nbportal.pl/pl/np/animacje/filmy_animowane/pieniadz/st_procentowe