Magnusson r. 12 - Rzetelność indywidualna - (ZESTAW 7) - TEST
zad. 12A
→ zy = rxy · zx kryterium = rzetelność · predykator
zx = rgg - zmienna predykcyjna; zy - zmienna kryterialna
zad. 12B
→ rxy = rtg - trafność
→ txx - wynik w predykatorze; ocena
skala |
M |
SD |
staninowa |
5 |
2 |
Wechsler |
10 |
3 |
→ skale:
→ Z![]()
= rozkład.normalny.s.odw(![]()
)
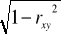
→ syx = sy · ![]()
błąd standardowy przewidywania
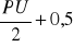
→ T'y = (tx - Mx) · rxy · ![]()
+ My
→ Yl,u = T'y ± syx · zα/2
→ < ; > = zaokr.do.całk(Yl,u)
zad. 12C
→ syx
→ T'y
→ z![]()
= moduł.liczby
→ P = rozkład.normalny.s (Z![]()
)
→ p = 1 - P
zad. 12D
→ rtg - korelacja pomiędzy testem a kryterium
→ rtt - rzetelność testu
→ rgg - rzetelność kryterium;
→ rTG = 
estymowany współczynnik korelacji między wynikami prawdziwymi
w zmiennej testowej i kryterialnej
→ rtG = ![]()
korelacja z poprawką na nierzetelność kryterium
zad. 12E
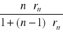
→ wzór Spearmana-Browna: ruu = rttn = ![]()
rzetelność testu po n-krotnym przedłużeniu
→ 
trafność testu po n-krotnym przedłużeniu
zad. 12F
AD. 12
→ Yc - granica przejścia
→ zc = 
wartość krytyczna
→ zp = rozkład.normalny.s.odw(p)
→ z'x = 
granica cięcia
→ X' = z'x · sx + Mx
→ t'x = zaokr.góra(X')
AD. 13
→ T'y = (tx - Mx) · rxy · ![]()
+ My
X'
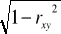
→ syx = sy · ![]()
Yc
→ z![]()
= moduł.liczby
→ p = 1 - P
→ P = rozkład.normalny.s (Z![]()
)
zad. 12G
→ zc - wartość krytyczna
→ rxy - trafność
→ zp = rozkład.normalny.s.odw(p)
→ z'x = 
granica cięcia