Rafał Więcek

Treść: Wyznaczyć metodą pochodnych transformatę Fouriera funkcji sgnw (sgnt = { 1 dla t0x01 graphic
; -1 dla t<0}. Na jej podstawie wyznaczyć transformatę dystrybucji 1(t).

Rozwiązanie:

(sgnt = { 1 dla t0x01 graphic
; -1 dla t<0}

mamy f(t) 0x01 graphic
F(jw)

oraz f'(t) 0x01 graphic
jwF(jw)stąd

0x01 graphic
sgnt = 20x01 graphic
(t)

0x01 graphic
sgnt = jwF(jw)

jwF(jw)= F{20x01 graphic
(t)}

F{0x01 graphic
(t)} = 1

jwF(jw) = 2

F(jw)=0x01 graphic

F{sgnt} = 0x01 graphic

1(t) można przedstawić:

1(t) = 0x01 graphic
+ 0x01 graphic
sgnt

a jej transformata wynosi:

F{1(t)} = F{0x01 graphic
} + 0x01 graphic
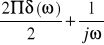
F{sgnt}

F{1(t)} = 0x01 graphic

F{1(T)} = 0x01 graphic