PRACOWNIA FIZYCZNA AKADEMII PODLASKIEJ W SIEDLCACH |
|||
Monika Demianiuk |
1 Grupa |
||
Imię i nazwisko, kierunek studiów |
|
||
22b Nr ćwiczenia |
24.03.2003. Data wykonania |
Ocena zaliczenia |
Podpis |
Wyznaczanie współczynnika temperaturowego oporu.
Tabela pomiarów:
T[oC] |
22 |
25 |
30 |
35 |
40 |
45 |
50 |
55 |
60 |
65 |
70 |
75 |
Opór R[*] |
4930 |
4660 |
3600 |
2700 |
2030 |
1560 |
1190 |
890 |
730 |
600 |
520 |
440 |
Sporządzamy wykres zależności R=f(t)

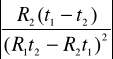
Wyznaczamy współczynnik temperaturowy oporu * korzystając ze wzoru:
*=
*=
=
= - 0,012469
*1: 22 * t * 50
*1=
=
= - 0,016975
*2: 50 * t *75
*2=
=
= - 0,011152
Przeprowadzamy rachunek błędów metodą różniczki zupełnej:
**=![]()
*R1+![]()
*R2+![]()
*t1+![]()
*t2
**=
*R1+
*R2+
*t1+
*t2
gdzie:
*R1=*R2=10*
*t1=*t2=1oC
R1=4930 *
R2=440 *
t1 =22oC
t2=75oC
**=17,99*10-8*10+201,61*10-8*10+1524,38*10-8*1+17080,02*10-8*1= 20800,4*10-8 = 0,000208
Zatem
*= * 0,012469 * 0,000208
Wnioski
Celem doświadczenia było wyznaczenie współczynnika temperaturowego oporu przy pomocy mostka Wheatstone'a. Błąd może wynikać z niedokładnego odczytywania czasu oraz oporu. Niewielki wpływ może mieć również niedokładność urządzenia pomiarowego oraz zaokrąglanie wyników.