Pogrupuj urządzenia odczytowe z odpowiednimi systemami odczytowymi
system jednomiejscowy
system dwumiejscowy
a. wskaźnik
b. mikroskop skalowy
c. mikrometr optyczny z dwoma parami klinów optycznych
Zaznacz „x” elementy dwumiejscowego systemu odczytowego
pryzmat rozdzielczy skala mikroskopu
obiektyw systemu odczytowego pokrętło mikrometru
para płytek płasko równoległych krzyż nitek
Geodezyjne dalmierze elektromagnetyczne dzielimy na:
długościowe i kątowe fazowe, laserowe i impulsowe
fazowe i impulsowe podczerwone, radarowe i ultrafioletowe
Błąd kolimacji to:
Nieprostopadłość poziomej osi obrotu lunety do osi obrotu instrumentu
Nieprostopadłość osi celowej do poziomej osi obrotu lunety
Nieprostopadłość osi libeli alidadowej do pionowej osi obrotu instrumentu
Nierównoległość osi celowej i osi libeli kolimacyjnej
Zaznacz części składowe spodarki:
śruba ustawcza uchwyt nóg
śruba sercowa płyta dolna
głowica sprzęg czopu alidady
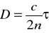
Wzór na odległość mierzoną dalmierzem impulsowym wygląda następująco:
![]()
![]()
![]()
![]()
Co wpływa na dokładność pomiaru dalmierzem impulsowym?
Dokładność określenia współczynnika załamania n oraz dokładność (zmienność) określenia częstotliwości wzorcowej
Dokładność określenia współczynnika załamania n, dokładność określenia czasu przebiegu impulsu oraz dokładność fazomierza
Dokładność określenia współczynnika załamania n, dokładność określenia czasu przebiegu impulsu oraz dokładność (zmienność) określenia częstotliwości wzorcowej
Dokładność określenia współczynnika załamania n oraz dokładność określenia czasu przebiegu impulsu
Jakie wyróżniamy elektroniczne systemy pomiaru kątów?
Optyczne, kodowe i impulsowe Kodowe oraz impulsowe
Kodowe, impulsowe oraz dynamiczne Fazowe i impulsowe
W jakiej metodzie pomiaru długości stosuje się ekspanderowy interpolator czasu:
metoda fazowa metoda impulsowa
metoda interferencyjna metoda dynamiczna
Przy sprawdzaniu dalmierza na odcinku o nieznanej długości możemy określić:
błąd cykliczny fazomierza stałą dodawania
stałą mnożną i stałą dodawania stałą skali i błąd cykliczny
W systemie kodowym dokładność odczytu kąta zależy od:
ilości interwałów tarczy ilości ścieżek tarczy
szybkości obrotów limbusa średnicy tarczy
Zaznacz części składowe lunety:
okular śruba sercowa
libela rurkowa krzyż kresek
korpus soczewka ogniskująca
obiektyw tubus
śruba ustawcza płytka sprężynująca
Jaki jest główny powód zmiany częstotliwości wzorcowej dalmierza elektromagnetycznego?
Zmiana ustawień przez operatora w instrumencie Starzenie się kwarcu
Różny stan naładowania baterii instrumentu Niewiadomo
Zaznacz czynniki mające wpływ na szybkość rozchodzenia się fal w atmosferze:
temperatura powietrza długość odcinka
ciśnienie atmosferyczne długość fali
kierunek i szybkość wiatru wilgotność powietrza
stopień nasłonecznienia przewyższenie
Współczynnik załamania fal w atmosferze „n” ma zawsze wartość:
n <1 n > 1 brak reguły n = 1/
Zmiana częstotliwości wzorcowej dalmierza jest kompensowana poprawką:
dodawania cykliczną fazomierza
skali geometryczną
Co jest podstawą pomiaru odległości w dalmierzu impulsowym?
Czas od momentu wyjścia konkretnego impulsu do momentu dojścia do obiektu
Czas od momentu wyjścia konkretnego impulsu do jego powrotu
Różnica faz sygnałów-wyjściowego i odebranego dojściu do obiektu
Różnica faz sygnałów-wyjściowego i odebranego po odbiciu od obiektu
Na czym polega pomiar odległości metodą fazową?
Na złapaniu odpowiedniej fazy
Na pomiarze czasu powrotu wysyłanej fali
Na pomiarze różnicy faz sygnałów wysypanych i odbieranych
Na pomiarze czasu przejęcia całego cyklu fazowego
Wpływ zmiany ciśnienia o jeden milimetr Hg przy pomiarach dalmierzem elektrooptycznym zmieni otrzymany wynik o...
0,4 mm/km 0,1 mm/km 1 mm/km 4 mm/km
Decydujący wpływ na błąd pomiaru długości mierzonej dalmierzem mikrofalowym ma...
wartość wyznaczenia temperatury wartość wyznaczenia ciśnienia
średnie nasłonecznienie podczas dnia wartość wyznaczenia prężności pary wodnej
Wzór na odległość mierzoną dalmierzem fazowym wygląda następująco:


![]()
![]()
Dla fal optycznych zmiana wartości prężności pary wodnej jest ...
...wielkością podobną do wielkości wynikającej ze zmiany temperatury i ciśnienia
...wielkością dużą, której nigdy nie należy pomija?
...wielkością bardzo małą, którą można pominąć
...wielkością małą, którą zawsze należy uwzględniać
Im mniejsza częstotliwość fali harmonicznej tym...
...mniejsza amplituda . dłuższa faza
...krótsza fala większa amlituda
Z jakim błędem średnim została określona prędkość światła?
120 [km/h] 1,2 [m/s] 0,012 [m/s] 12 [m/s]
Od czego zależy wielkość współczynnika załamania?
Od pogody i jonizacji powietrza Od temperatury, ciśnienia i nasłonecznienie
Od temperatury, ciśnienia Od temperatury, ciśnienia i prężności pary wodnej.
Na jakiej zasadzie określany jest kierunek w kodowym systemie pomiaru kątów?
Zmianom kierunku odpowiada zmiana kodu transmisyjnego
Każdemu położeniu lunety teodolitu odpowiada jednoznacznie określony stan napięcia
Poprzez proste urządzenie giroskopowe zamontowane w instrumencie
Odpowiednim zmianom położenia lunety odpowiada ściśle określona liczba impulsów
Jak rozwiązano problem nieznanego kierunku ruchu w impulsowym systemie pomiaru kątów?
Ten problem nie występuje w tym systemie.
Zastosowano nanometr skalowy z noniuszem.
Zastosowano tarcze z dwoma identycznymi ścieżkami rysek impulsowych.
Nie jest to jeszcze problem rozwiązany.
Czym są komparatory polowe?
Są to zbiory punktów znajdujące się w terenie w postaci stabilizowanych na czas komparacji celów
Są to zbiory punktów zastabilizowanych w terenie w linii prostej w postaci postumentów betonowych.
Są to specjalne urządzenia służące do automatycznej komparacji w terenie
Są to komputery geodezyjne podobne do zwykłych notebooków, które stosuje się w terenie
Co jest przyczyną występowania błędu stałej dodawania?
Jest to wynik złej obsługi dalmierza
Jest to wpływ różnicy między centrem mechanicznym dalmierza a jego centrem elektronicznym
Jest to wpływ różnicy między centrem mechanicznym dalmierza a jego centrem elektronicznym
Jest to wpływ różnicy między centrem mechanicznym dalmierza a centrem reflektora
Co to jest częstotliwość fali harmonicznej?
Ilość powtórzeń pełnego cyklu fazowego w jednostce czasu
Czas wystąpienia pełnego cyklu
Prędkość procesora instrumentu pracującego na fali harmonicznej
Ilość powtórzeń pełnego cyklu fazowego w ciągu sekundy
Wpływ zmiany temperatury o jeden stopień Celsjusza przy pomiarach dalmierzem elektrooptycznym zmieni otrzymany wynik o...
3 mm/km 0,9 mm/km 9 mm/km 0,3 mm/km
Dlaczego w analizie dokładności pomiarów dalmierzem elektrooptycznym pomijamy dokładność określenia prędkości światła „c”?
Ponieważ znamy dokładnie jej wartość
Ponieważ wzór jaki chcemy ostatecznie uzyskać ma mieć jak najprostszą postać
Ponieważ prędkość światła wyznaczona została z tak dużą dokładnością, że ma ona znikomy wpływ na całkowity błąd pomiaru długości
Ponieważ prędkość światła nie jest nam potrzebna do obliczenia odległości pomierzonej dalmierzem
Odległość mierzona dalmierzem fazowym jest funkcją...
...prędkości rozchodzenia się fali, różnicy faz, ilości odłożeń fali i amplitudy
...prędkości rozchodzenia się fali, różnicy faz, ilości odłożeń fali i współczynnika załamania
...prędkości rozchodzenia się fali, różnicy faz, ilości odłożeń fali i częstości kołowej
...ekspotencjalną
Dlaczego pomiar odległości dalmierzem fazowym odbywa się na różnych częstotliwościach?
Żeby zminimalizować wpływ warunków atmosferycznych
Ponieważ wykorzystując jedną częstotliwość nie możemy obliczyć całkowitej ilości odłożeń fali wzorcowej
Żeby zwiększyć dokładność pomiarów
Ponieważ koncesja na nadawanie fal radiowych przyznawana jest dla różnych częstotliwości
Zaznacz jakie poprawki wprowadzamy do rezultatów pomiaru dalmierzem fazowym
instrumentalne atmosferyczne geometryczne topograficzną
odwzorowawcze Hausbrandta Krassowskiego specjalne
poprzeczne liniowe różniczkowe grupowe
Jakimi metodami usuwamy wieloznaczność pomiarów dalmierza fazowego
metodą skokowej zmiany częstotliwości w wąskich granicach
metodą Vaisala
metodą pomiaru baz wtórnych
metodą Kerra
Egzamin z ETP 2006
1