1. Złożone przypadki wytrzymałości
pręta prostego: O złożonym przypadku
wytrzymałości pręta mówimy wówczas,
gdy w jego przekroju działają co najmniej
dwie spośród sześciu możliwych
składowych sił wewnętrznych. Naprężenie
normalne w pręcie rozciąganym (ściskanym)
i zginanym:
σ(y,z)=
![]()
Równanie linii obojętnej:

Rdzeń przekroju - jest to zbiór punktów
przyłożenia siły odpowiadających wszystkim
liniom obojętnym statycznym do konturu
przekroju pręta ogranicza obszar zwany
rdzeniem przekroju. Jest to miejsce
geometryczne punktów przyłożenia siły,
dla których naprężenia w całym przekroju
mają jednakowy znak.
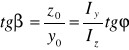
Zginanie ukośne pręta:
Naprężenia normalne przy zginaniu ukośnym
pręta:
σ= 
Równanie linii obojętnej:

Skręcanie wraz ze zginaniem:
σx=σ=Mg/W+N/A
σy=0, txy=t=Ms/Ws
Wzory na naprężenie redukowane
w pręcie skręcanym, zginanym i
rozciąganym:
σred=σx2+4txy2 - hipoteza maksymalnych
naprężeń stycznych
σred=σx2+3txy2 - hipoteza energii
odkształcenia postaciowego
Momenty redukowane:
Mred=Mg2+ Ms2
Mred=Mg2+ 3/4Ms2
Wyboczenie jest jednym z przypadków
utraty stateczności, która powoduje
niekorzystną zmianę skutków obciążenia pręta.
2. Wyboczenie pręta:
Formuła Eulera: ![]()
Wzór na Eulerowską siłę
krytyczną: 
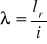
Smukłość pręta: ![]()
Wzór na Eulerowskie naprężenie
krytyczne: σkr=![]()
Wzór Tetmajera- Jasińskiego: σkr=a-bλ
a,b - stale materialowe okreslone doswiatczalnie
Wzór Johnsona-Ostenfelda: σkr=A-Bλ2
A,B - stałe materiałowe ustalone doswiadczalnie