MD 103.2a
Laboratorium z fizyki
Sprawozdanie
Temat: Wyznaczanie współczynnika załamania światła z pomiarów kąta załamania oraz kąta ugięcia. Ćw. nr 1.1
Tabela wyników:
Lp. |
∝[ ° ] |
β[ ° ] |
n |
γ [ ° ] |
γ śr [ ° ] |
n z γ |
nśr |
1 2 3 4 5 6 7 8 9 10 |
21 23 25 28 35 42 49 56 63 68 |
13,5 14,5 16 18 22 26 30 33,5 36 37,5 |
|
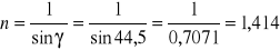
45 44 45 45 |
44,75 |
|
|
1 2 3 4 5 6 7 8 9 10 |
21 23 25 28 35 42 49 56 63 68 |
14 15 17 18,5 23 27 31 34 37 39 |
|
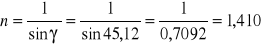
45 45 45 45,5 |
45,12 |
|
|
1 2 3 4 5 6 7 8 9 10 |
21 23 25 28 35 42 49 56 63 68 |
14 15 16 18 22 26 30 33 36 38 |
|
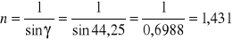
44,5 44 44,5 44 |
44,25 |
|
|
Obliczenia:
Prbka nr 1
n21=![]()
=1,498 n21=1,511 n21=1,481
n21=1,526 n21=1,481 n21=1,509
n21=1,533 n21=1,509 n21=1,533
n21=1,519 n21=1,445 n21=1,519
n21=1,531 n21=1,454 n21=1,531
n21=1,526 n21=1,531 n21=1,526
n21=1,509 n21=1,473 n21=1,509
n21=1,488 n21=1,465 n21=1,522
n21=1,515 n21=1,488 n21=1,515
n21=1,511 n21=1,515 n21=1,505
![]()
![]()
![]()
Obliczenia błędu:
![]()

![]()

![]()
![]()
Część teoretyczna:
Odbicie i załamanie promienia świetlnego na granicy dwu ośrodków:
Prawo odbicia i załamania:
Promień padający, odbity i załamany oraz normalna padania leżą w jednej płaszczyźnie;
Kąt padania jest równy kątowi odbicia;
Stosunek sinusów kąta padania i kąta załamania promienia świetlnego jest wielkością stałą dla danych dwu ośrodków i określonej długości fali nazywamy współczynnikiem załamania ośrodka II względem ośrodka I;