Zarządzanie inwestycjami kapitałowymi
Prowadzący: Małgorzata Janiszewska
Forma egzaminu: TEST
WYKŁAD Z DNIA 5.03.2000
Podręcznik: „Inwestycje - instrumenty finansowe, ryzyko finansowe, inżynieria finansowa” - Teresa i Krzysztof Jajuga
PROGRAM:
Rynek finansowy i jego segmentacja
Podstawowe instrumenty finansowe (certyfikaty bony skarbowe)
Inwestowanie w akcje
Dlaczego tworzymy portfel i z czego się składa
Wpływ instrumentów finansowych na decyzje
Ryzyko-kategorie
I. Definicje wprowadzające
1. System finansowy
System najprościej można zdefiniować jako układ elementów
Gdzie: giełdy, rynek pozagiełdowy.
Giełda -> wszelkiego rodzaju transakcje są standaryzowane
Pozagiełdowy -> instrumenty dostosowane do inwestora
Co: wszystkie instrumenty finansowe
Jak: zależy jaką chcemy mieć strukturę, dokonujemy lokaty z dużym ryzykiem
Kto: inwestorzy indywidualni i instytucjonalni
Inwestorzy indywidualni: wszystkie osoby fizyczne lub prawne samodzielne podejmują decyzję co, gdzie, jak i kto(makler, broker)
Inwestorzy instytucjonalni - banki komercyjne, inwestycje, emerytalne i fundusze powiernicze zamknięte lub otwarte.
Żeby system mógł sprawnie funkcjonować musza oddziaływać na niego elementy:
- elementy systemu prawnego
- elementy ekonomii
- elementy państwa w zakresie fiskalizmu
2. Rynek finansowy
Rynek firm -> miejsce na którym dokonywane są transakcje kupna-sprzedaży instrumentów finansowych
Instrument finansowy -> jest kontraktem wiążącym dwie strony określający zależność w jakiej te strony pozostają ze sobą
Papier wartościowy -> instrument finansowy, z którego wypływające zobowiązania pokryte są przez deklaracje emitenta
3. Segmentacja rynku finansowego
Są cztery segmenty rynku finansowego:
Pierwszy segment -> to rynek pieniężny
Charakterystyka rynku:
Rynek pieniężny tworzą instrumenty o charakterze wierzycielskim między emitentem a potencjalnym inwestorem jest zobowiązanie obu stron
Cel podstawowy:
Zapewnienie płynności produktów gospodarczych. Zapadalność instrumentów rynku pieniężnego nie przekracza roku.
Zapadalność - możliwość zmiany na gotówkę lub inny pieniądz
Instrumenty zaliczane go tego segmentu:
- Bon Skarbowy emitowany przez Skarb Państwa w celu sfinansowania jego bieżących wydatków
- Certyfikat depozytowy - instrument, który określa zdeponowanie danej sumy na określony czas według określonej stopy procentowej
- Bon komercyjny - jest to instrument, który zobowiązuje emitenta do wypłacania określonej sumy oznaczonej na tym bonie
Drugi segment (najistotniejszy) to Rynek Kapitałowy
Różnica miedzy rynkiem pieniężnym i kapitałowym ->tworzą go instrumenty o charakterze własnościowym. Zapadalność tych instrumentów jest większa niż rok.
Cel funkcjonowania tego segmentu:
- właściwa wycena tego segmentu
- właściwa alokacja kapitału
- osiąganie zysku przez inwestorów
Podstawowe instrumenty rynku kapitałowego:
- obligacje
- akcje
Obligacja -> instrument finansowy zawierający zobowiązanie emitenta do wypłacenia jej posiadaczowi kwoty określonej w obligacji i ewentualnych odsetek
Akcja -> instrument finansowy emitowany przez przedsiębiorstwo będące spółką akcyjną
Trzeci segment - Rynek walutowy
oznacza, że możemy dokonywać zakupu instrumentów w jednej walucie a sprzedać w drugiej walucie. Rynek walutowy dotyczy instrumentów, które wyrażane są w innej walucie. Jeden instrument kupowany jest w walucie X i zbywany w walucie Y.
Czwarty segment - Rynek Instrumentów Pochodnych
Instrument pochodny - instrument, którego wartość zależy od wartości instrumentu pierwotnego, na który ten instrument został wystawiony. Inaczej mówiąc instrumentem pochodnym są kontrakty (np. walutowe)
Cel:
zakup ma na celu zabezpieczenie przed ryzykiem wahań kursów instrumentów pierwotnych
RACHUNKOWOŚĆ ZARZĄDCZA W ZARZĄDZANIU KAPITAŁEM
Rachunkowość - ewidencja zdarzeń gospodarczych wyrażona w mierniku pieniężnym. Zorganizowany system ewidencji gospodarczej ujęty w normy, zasady
Manager-> analiza inwestycji
w jaki sposób uzyskać kredyt i jak go spłacić
zakup akcji
Podstawowy element rozróżniający - polega na tym, że rachunkowość księgowa określona jest przez system norm i zasad. Podstawowe dokumenty określające sposób prowadzenia rachunkowości: Ustawa o Rachunkowości, wzorcowy plan kont i kodeks handlowy.
Rachunkowość finansowa nie jest w żaden sposób ograniczona, jest dostosowywana do indywidualnym potrzeb przedsiębiorstwa (pod względem liczby pracowników i rodzaju zadań)
Zadania rachunkowości finansowej:
- służy wewnętrznym potrzebom przedsiębiorstwa i w zależności od kształtu inf. dostosowywana jest do indywidualnych potrzeb przedsiębiorstwa
- informacje tworzone w tym dziale służą menadżerom z całej firmy (będą powiązane z Działem Sprzedaży, Logistyki Zaopatrzenia)
Rachunkowość finansowa - dotyczy wnętrza.
Rachunkowość księgowa dostarcza informacji na zewnątrz potencjalnym kontrahentom i podmiotom współpracującym (potencjalnym inwestorom)
Podstawowe sprawozdanie:
- bilans
- rachunek zysków i strat (wyników r-k)
- sprawozdanie z przepływach pieniężnych (cashflow)
- sprawozdanie o zyskach nierozdzielonych
Podstawowe grupy wskaźników:
- wskaźniki aktywności (operacyjności)
- wskaźniki zyskowności (rentowności)
- wskaźniki płynności
- wskaźniki zadłużenia
!!!CO MIERZĄ, JAK MIERZĄ PO JEDNYM ZADANIU!!!
Wartość pieniądza w czasie
To co kupujemy dzisiaj ma większą wartość niż, to co jutro.
To co mam dziś ->pewne, nie wiem ile z tego będę miała jutro (nie wiem jaką jutro będzie inflacja itp.) dotyczy to ryzyka. Zmienną wartość pieniądza ze względu na zjawiska-inflacja zmiana stóp procentowych zmienia się wartość pieniądza.
Narzędziami służącymi porównywaniu różnych kwot pieniężnych w czasie służą:
- dyskonto
- procent składany - jest wykorzystywany w procesie kapitalizacji
KAPITALIZACJA (co miesiąc są dopisywane odsetki od odsetek)
Kapitalizacja jest procesem szukania przyszłej wartości przypływających sum pieniężnych
(1+r)t r - stopa procentowa
t - długość okresu inwestowania
Procent składany można obliczyć wg zależności, ten wzór jest właściwy, gdy kapitalizacja odbywa się raz do roku.
W przypadku inwestycji lokaty do roku ale realizowane częściej

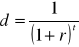
DYSKONTO
D=FV-P ![]()
Dyskontowanie jest odwrotnością kapitalizacji, czyli szukaniem obecnej wartości przepływów środków pieniężnych
![]()
Kapitalizacja częściej realizowana niż raz w roku

Instrument oznacza że instrument kupowany jest po cenie niższej niż wartość jaką posiada, różnica stanowi dyskonto np. 100-95=5 -> dyskonto
Wielkości- parametry służące określaniu wartości pieniądza w czasie
1. Określenie wartości przyszłej
FV=PV(1+i)t

FV(wartość nominalna, wartość przyszła -> zależy od wartości obecnej z uwzględnieniem procentu składanego
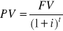
2. Określenie wartości obecnej
![]()

PV - wartość obecna (present value)
FV - future value
Gdzie ?
Co ?
Jak ?
Kto ?
Otoczenie prawne
Inwestycje indywidualne
Inwestorzy instytucjonalni
1
2
3
4
5
Dziś
Dział Finansowy
Główny Księgowy
rachunkowość
sprawozdawczość finansowa
Prowadzenie i rewizja ksiąg rachunkowych
Manager finansowy
Inwestycje kapitałowe
koszt + ryzyko finansowe
Analiza finansów
kontakty z inwestycji finansowych