Największy błąd bezwzg. pomiaru
![]()
Dokładność pomiaru
![]()
czułość
![]()
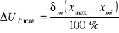
maksymalny błąd podstawowy

Klasa dokładności
(Maksymalny błąd podstawowy w %)

miara nieliniowości (błąd względny)
![]()
miara niejednoznaczności
(określa histerezę ch-ki statycznej)

Największy błąd bezwzg. pomiaru
![]()
Dokładność pomiaru
![]()
czułość
![]()
maksymalny błąd podstawowy

Klasa dokładności
(Maksymalny błąd podstawowy w %)

miara nieliniowości (błąd względny)
![]()
miara niejednoznaczności
(określa histerezę ch-ki statycznej)
