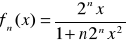
.::ZestaW V::.
Niech ![]()

a) zbadać zbieżność punktową ciągu (fn) na ]0,1]
b) zbadać zbieżność jednostajną (fn) na ]0,1], określić obszar zbieżności jednostajnej
c) porównać 
Niech ![]()
dla ![]()
a) zbadać zbieżność punktową ciągu (fn) na I
b) porównać 
co można powiedzieć o zbieżności jednostajnej (fn) na I
c) określić obszary zbieżności jednostajnej (fn)
Niech ![]()
a) określić obszary Dp i Dj zbieżności punktowej i zbieżności jednostajnej ciągu (fn)
b) porównać ![]()
i ![]()
c) porównać 
wyciągnąć wnioski