Zjawisko fotoelektryczne wewnętrzne. Wyznaczanie charakterystyki fotooporu, Prz inf 2013, I Semestr Informatyka, Fizyka, SPRAWOZDANIA DUZO, laboratorium, Fizyka laborki


Wanat Karol

I ED

Ćwiczenie nr 40

Zjawisko fotoelektryczne wewnętrzne. Wyznaczanie charakterystyki fotooporu.

I. Zagadnienia do samodzielnego opracowania

  1. Zjawisko fotoelektryczne jako wynik oddziaływania światła z materią.

  2. Prawa zjawiska elektrycznego

  3. Zjawisko fotoelektryczne wewnętrzne.

II. Część teoretyczna

W normalnych warunkach elektron nie może opuścić metalu. Musi on pokonać potencjał jonizacyjny. Energię potrzebną do pokonania tego potencjału otrzymać musi z zewnątrz w postaci np.: energii cieplnej, silnego pola elektrycznego, energii świetlnej. Emisja pod wpływem światła nosi nazwę fotoemisji lub zjawiska fotoelektrycznego. Zjawisko fotoelektryczne dzielimy na zewnętrzne i wewnętrzne.

Zjawisko fotoelektryczne zewnętrzne polega na uwalnianiu elektronów z metali pod wpływem oświetlenia. Uwolnione elektrony nazywamy fotoelektronami a związany z nimi prąd elektryczny - fotoprądem.

W wyniku długotrwałych badań ustalono następujące prawidłowości rządzące tym zjawiskiem:

  1. Elektrony pojawiają się natychmiast po oświetleniu metalu (po czasie 3 × 10 -9 sek.).

  2. Gęstość prądu fotoelektrycznego, czyli ilość emitowanych fotoelektronów jest proporcjonalna do oświetlenia.

  3. Energia fotoelektronów nie zależy od natężenia światła.

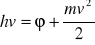
  4. Energia najszybszych fotoelektronów jest proporcjonalna do częstości ν drgań fali świetlnej.

Nadmiar energii elektron otrzymuje w postaci energii kinetycznej (nabywa prędkości).

Tak więc równanie Einsteina przyjmuje postać:

0x01 graphic

Dodać należy, że zjawiska fotoelektrycznego nie można wyjaśnić w oparciu o falową teorię światła. Zgodnie z teorią falową równanie fali wyraża się wzorem:

0x01 graphic

Zjawisko fotoelektryczne wewnętrzne polega na zmianie właściwego przewodnictwa elektrycznego ciał stałych pod wpływem energii promieniowania świetlnego. Kwanty światła przenoszą elektrony z pasma walencyjnego do pasma przewodnictwa, wskutek czego wzrasta przewodnictwo właściwe. Zjawisko to wystąpi tylko dla częstości wyższych od pewnej granicznej 0x01 graphic
, dla której energia kwantu jest równa szerokości pasma wzbronionego 0x01 graphic
.

Celem zwiększenia efektu należy do maksimum zwiększyć powierzchnię próbki, nadając jej kształt cienkiej blaszki. Ponieważ opór elektryczny próbki zależy od nośników, opór próbki oświetlonej jest mniejszy od oporu próbki nieoświetlonej. Zjawisko to znalazło zastosowanie praktyczne w fotooporniku.

III. Wykonanie ćwiczenia.

  1. 0x08 graphic
    Połączyłem obwód według schematu:

  1. Ustawiłem źródło światła w odległości około 0,2 m od fotooporu i sprawdziłem czy fotoopór reaguje na oświetlenie.

  2. Przy stałej wartości napięcia zasilającego przeprowadziłem pomiar zależności natężenia prądu od odległości fotooporu od źródła światła: I = I(r). W tym celu zmieniałem położenie fotooporu od około 0,15 m do źródła światła aż do takiego położenia, przy którym nie zaobserwowałem przepływu prądu w obwodzie (I = 0).

  3. Oszacowałem błędy pomiarów Δr i ΔI.

  1. Wyniki umieściłem w tabelce:

  2. Lp.

    U

    r

    I

    ΔU

    ΔI

    Δr

    [ ]

    [ ]

    [ ]

    [ ]

    [ ]

    [ ]

    1.

    2.

    0x08 graphic
    3.

    1. Wykonałem na papierze milimetrowym wykres zależności prądu od kwadratu odwrotności odległości źródła od fotooporu I ( I / r 2 ). Na wykresie zaznaczyłem błędy ΔI oraz Δ ( I / r 2 ).

    ZASILACZ

    +

    -

    V

    mA

    FR

    ŚWIATŁO

    220V

    DZIELNIK

    NAPIĘCIA



    Wyszukiwarka

    Podobne podstrony:
    Zjawisko fotoelektryczne wewnętrzne. Wyznaczanie charakterystyki fotoo, Prz inf 2013, I Semestr Info
    Cwiczenie 40 Zjawisko Fotoelektryczne wewnętrzne Wyznaczenie charakterystyki fotooporu
    Wyznaczanie stałej siatki dyfrakcyjnej, Prz inf 2013, I Semestr Informatyka, Fizyka, SPRAWOZDANIA DU
    Wyznaczanie ładunku właściwego em elektronów, Prz inf 2013, I Semestr Informatyka, Fizyka, SPRAWOZDA
    Wyznaczanie stałej siatki dyfrakcyjnej, Prz inf 2013, I Semestr Informatyka, Fizyka, SPRAWOZDANIA DU
    SiS strona tytulowa spr, Prz inf 2013, I Semestr Informatyka, Fizyka, Wykłady-Fizyka, Sygnały i Syst
    Tabela pomiarowa, Prz inf 2013, I Semestr Informatyka, Fizyka, [FIZYKA] Laborki, laboratorium stare
    tabele 1B+, Prz inf 2013, I Semestr Informatyka, Fizyka, [FIZYKA] Laborki, laboratorium stare, 1b
    ćw 23, Prz inf 2013, I Semestr Informatyka, Fizyka, [FIZYKA] Laborki, laboratorium stare, Fizyka Dam
    Ćwiczenie nr 44 prawie dobre ale juz teraz lux, Prz inf 2013, I Semestr Informatyka, Fizyka, [FIZYKA
    ćw 1 obliczenia, Prz inf 2013, I Semestr Informatyka, Fizyka, [FIZYKA] Laborki, laboratorium stare,
    spr5, Prz inf 2013, I Semestr Informatyka, Fizyka, [FIZYKA] Laborki, laboratorium stare, bartochowsk
    obliczenia ćw23, Prz inf 2013, I Semestr Informatyka, Fizyka, [FIZYKA] Laborki, laboratorium stare,
    Ćwiczenie nr 44, Prz inf 2013, I Semestr Informatyka, Fizyka, [FIZYKA] Laborki, laboratorium stare,
    Wstęp teoretyczny ćw 44, Prz inf 2013, I Semestr Informatyka, Fizyka, [FIZYKA] Laborki, laboratorium

    więcej podobnych podstron