INSTRUKCJAbarwa, Studia, Przyszle lata, II rok pg, chemia


INSTRUKCJA

OZNACZANIA BARWY

Barwa jest cechą fizyczną wody, powodowaną głównie obecnością naturalnych związków organicznych. Substancje barwne występują w wodach zarówno w formie rozpuszczonej, jak i w postaci koloidalnej.

Najczęściej przyczyną powstawania naturalnego zabarwienia wody jest wymywanie z podłoża substancji humusowych i innych produktów rozkładu materiału roślinnego.

Do oznaczania barwy można wykorzystać metody:

Oznaczenie polega na sporządzeniu krzywej wzorcowej i porównaniu próbki badanej, bądź to w sposób wizualny lub instrumentalny.

Za jednostkę barwy wód naturalnych przyjęto jednostkę Hazena (mgPt/dm3), która odpowiada intensywności barwy roztworu zawierającego w jednym litrze 1 mg platyny w postaci chloroplatynianu potasu (K2PtCl6) oraz 0,5 mg kobaltu w postaci chlorku kobaltu (CoCl2 ⋅ 6H2O).

W analityce rozróżnia się barwę pozorną i rzeczywistą.

Za barwę pozorną uważa się barwę wody spowodowaną obecnością substancji rozpuszczonych oraz drobnych cząstek zawieszonych w wodzie. Barwę pozorną oznacza się bez uprzedniego sączenia lub odwirowywania próbki.

Za barwę rzeczywistą uważa się barwę wody uprzednio poddanej odsączeniu lub odwirowywaniu, pozbawionej mętności.

Za podstawę oznaczania barwy przyjęto metodę instrumentalną w oparciu o krzywą wzorcową według skali dichromianowo-kobaltowej wg PN-74/C-04558.

Wykonanie oznaczenia.

W celu uzyskania stężenia barwy pozornej lub rzeczywistej odmierzyć bezpośrednio 100cm3 do cylindra Nesslera próbki badanej lub mniejszą jej objętość rozcieńczoną wodą destylowaną do 100 cm3, bez/lub po uprzednim odwirowaniu lub przesączeniu, jeżeli próbka wykazuje mętność. Następnie oznaczyć barwę przez porównanie ze skalą wzorców lub wykorzystać jedną z metod instrumentalnych. W przypadku zastosowania techniki instrumentalnej, jako odnośnik należy zastosować wodę destylowaną.

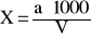
Barwę w badanej próbce (w mg Pt/dm3), obliczyć z równania:

0x01 graphic

gdzie:

a - wartość odczytana z krzywej wzorcowej, mg Pt

V - objętość próbki badanej użyta do oznaczania, cm3.



Wyszukiwarka

Podobne podstrony:
InstrukcjaChZT, Studia, Przyszle lata, II rok pg, chemia
INSTRUKCJASO4, Studia, Przyszle lata, II rok pg, chemia
INSTRUKCJACO2, Studia, Przyszle lata, II rok pg, chemia
INSTRUKCJA OZNACZANIAkwasowosczasadowosc, Studia, Przyszle lata, II rok pg, chemia
PYTK 2007, Studia, Przyszle lata, II rok pg, tech betonu
SPRAWOZDANIE Z METOD-8, Studia, Przyszle lata, II rok pg, metody Doświadczalne
Badania cementu II, Studia, Przyszle lata, II rok pg, tech betonu
sciągi(1), Studia, Przyszle lata, II rok pg, geodezja
bo, Studia, Przyszle lata, II rok pg, BO
CEMENT I LAB , Studia, Przyszle lata, II rok pg, tech betonu
Odpowiedzi na pytania z Budownictwa Ogolnego, Studia, Przyszle lata, II rok pg, BO
Bezpieczeństwo instalacji elektrycznych(1), Studia, Przyszle lata, II rok pg, instalacje budowlane
BETONY-sciaga, Studia, Przyszle lata, II rok pg, tech betonu
Odczytywanie charakterystyk, Studia, Przyszle lata, II rok pg, instalacje budowlane
Wybrane, Studia, Przyszle lata, II rok pg, instalacje budowlane

więcej podobnych podstron