Nazwisko Imię.......................................... S T J I
Kolokwium I AlzGa 27.11.2009
Zad. 1 Metodą eliminacji Gaussa rozwiązać układy równań o jednakowej macierzy współczynników.
W punkcie b) przeprowadzić dyskusję rozwiązania w zależności od liczby a.
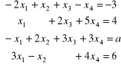
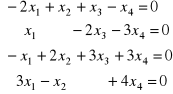
a) 
b) 
Zad. 2 Rozwiązać równanie ![]()
, a następnie obliczyć część urojoną iloczynu ![]()
.
Nazwisko Imię.......................................... S T J I
Kolokwium I AlzGa 27.11.2009
Zad. 1 Metodą eliminacji Gaussa rozwiązać układy równań o jednakowej macierzy współczynników.
W punkcie b) przeprowadzić dyskusję rozwiązania w zależności od liczby a.
a) 
b) 
Zad. 2 Rozwiązać równanie ![]()
, a następnie obliczyć część urojoną iloczynu ![]()
.
Nazwisko Imię.......................................... S T J I
Kolokwium I AlzGa 27.11.2009
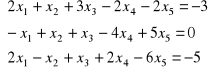
Zad.3 Rozwiązać układ równań metodą eliminacji Gaussa 
.
Podać, o ile istnieje, rozwiązanie szczególne układu, w którym ![]()
. Ile jest takich rozwiązań?
Zad. 4 Rozwiązać równanie ![]()
. Rozwiązania podać w postaci trygonometrycznej oraz w postaci kartezjańskiej. Zaznaczyć na płaszczyźnie zespolonej wyznaczone rozwiązania.
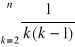
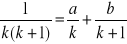
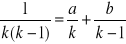
Zad. 5 Obliczyć ![]()
. Wskazówka - dobierz liczby a, b, aby zachodziła równość ![]()
.
Nazwisko Imię.......................................... S T J I
Kolokwium I AlzGa 27.11.2009
Zad. 3 Rozwiązać układ równań metodą eliminacji Gaussa 
.
Podać, o ile istnieje, rozwiązanie szczególne układu, w którym ![]()
.Ile jest takich rozwiązań?
Zad. 4 Rozwiązać równanie ![]()
. Rozwiązania podać w postaci trygonometrycznej oraz w postaci kartezjańskiej. Zaznaczyć na płaszczyźnie zespolonej wyznaczone rozwiązania.
Zad. 5 Obliczyć ![]()
. Wskazówka - dobierz liczby a, b, aby zachodziła równość ![]()
.