Politechnika Opolska
W Opolu
Wydział Mechaniczny
Inżynieria Środowiska
Rok 2, Semestr 3
Sprawozdanie z laboratorium Mechanika Płynów.
Temat: Równowaga względna cieczy.
1. Równowaga względna cieczy
* DANE
Średnica wew. naczynia D= 70 mm 0,07 m
Wysokość cieczy w spoczynku H= 70 mm 0,07 m
Promień wew. naczynia R= 35 mm 0,035 m
Przyspieszenie ziemskie g= 9,81 m/s2
Lp. |
Prędkość obrotowa |
|
Wysokośc paraboloidy |
||
|
[l/obr] |
Z0 [mm] |
Z [mm] |
Z0 [m] |
Z [m] |
1 |
160 |
60 |
75 |
0,06 |
0,075 |
2 |
209 |
50 |
84 |
0,05 |
0,084 |
3 |
310 |
40 |
102 |
0,04 |
0,102 |
4 |
320 |
30 |
105 |
0,03 |
0,105 |
5 |
510 |
0 |
145 |
0 |
0,145 |
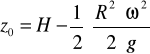
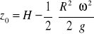
Obliczam prędkość kątową w i wyznaczam teoretyczną wysokość paraboloidy



Lp. |
Prędkość kątowa |
|
Wysokość paraboloidy |
||
|
[1/s] |
Z0 [m] |
Z [m] |
Z0 [mm] |
Z [m] |
1 |
16,755 |
0,0612 |
0,0788 |
61,24 |
78,76 |
2 |
21,886 |
0,0550 |
0,0850 |
55,05 |
84,95 |
3 |
32,463 |
0,0371 |
0,1029 |
37,10 |
102,90 |
4 |
33,510 |
0,0349 |
0,1051 |
34,94 |
105,06 |
5 |
53,407 |
-0,0190 |
0,1590 |
-19,04 |
159,04 |
Dane do profilu doświadczalnego:
|
|
-R |
0 |
R |
Lp. |
Prędkość kątowa |
-35 |
0 |
35 |
|
|
Z |
Z0 |
Z |
|
16,755 |
75 |
60 |
75 |
|
21,886 |
84 |
50 |
84 |
|
32,463 |
102 |
40 |
102 |
|
33,510 |
105 |
30 |
105 |
|
53,407 |
145 |
0 |
145 |
Dane do profilu doświadczanego:
-R |
0 |
R |
-35 |
0 |
35 |
Z |
Z0 |
Z |
78,76 |
61,24 |
78,76 |
84,95 |
55,05 |
84,95 |
102,90 |
37,10 |
102,90 |
105,06 |
34,94 |
105,06 |
159,04 |
-19,04 |
159,04 |
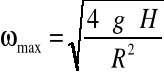
Maksymalna prędkość kątowa dla z0=0 i z=2H

ωmax = 47,353 1/s
Profil teoretyczny
Profil doświadczalny
Wnioski:
a) Celem ćwiczenia było wyznaczenie i porównanie teoretycznego i doświadczalnego profilu równowagi względnej cieczy, a polegało to na tym, że w wirującym walcu znajdowała się ciecz. Wraz ze wzrostem prędkości lustro cieczy zmieniało swój paraboloidalny kształt a zmiany te można było odczytać ze skali.
b) Jak widać na wykresie profil teoretyczny doświadcz. zbytnio się się różnią. Różnice te mogą wynikać np. z braku uwzględnienia lepkości cieczy w obliczeniach, błędem odczytu, a także tym, że wirówka podczas badania wpadała w wibracje co powodowało, że paraboloida była nie stabilna.
3
![]()
![]()
![]()
![]()