|
|
|
|
|
|
|
|
|
|
Politechnika Wrocławska |
|
|
Skład grupy : |
|
|
Rok studiów IV |
|
|
|
Instytut Energetyki |
|
|
Makowiecki Marcin |
|
|
Grupa 2 |
|
|
|
Wydział Elektryczny |
|
|
Rosiak Rafał |
|
|
Studia |
Dzienne |
|
|
|
|
|
Stolecki Lech |
|
|
Semestr VII |
|
|
|
|
|
|
|
|
|
|
|
|
|
Laboratorium |
|
|
|
|
|
|
|
|
|
|
|
|
Numer |
Temat: |
|
|
|
|
Ocena |
Grupa lab. 3 |
|
|
Ćwiczenia |
Badanie przekaźników . |
|
|
|
|
|
|
|
|
|
|
|
|
|
|
|
Data wykonania 15.12. 1998 |
|
|
13 |
|
|
|
|
|
|
|
|
|
|
|
|
|
|
|
|
Wstęp.
Ćwiczenie te miało na celu zapoznanie nas z działaniem, budową, zastosowaniem urządzeń zabezpieczających jakimi są przekaźniki. Program naszego ćwiczenia obejmował sprawdzenie działania przekaźników prądowych i napięciowych.
1. Wymagania stawiane zabezpieczeniom.
Szybkość działania - ma na celu zminimalizowanie szkód spowodowanych awarią , a także zwiększenie bezpieczeństwa pracy personelu obsługującego to urządzenie elektryczne.
Wybiorczość - ma na celu zminimalizowanie zasięgu działania awarii w sieci.
Czułość - czyli zdolność reagowania na minimalne zmiany parametrów charakteryzujących pojawienie się stanu zakłóceniowego.
Niezawodność - zdolność do natychmiastowego zadziałania.
Ekonomiczność.
2. Wielkości charakteryzujące przekaźnik.
Moc przekaźnika;
Moc łączeniowa;
Wartość nastawcza wielkości mierzonej;
Wartość rozruchowa wielkości mierzonej;
Wartość powrotna;
Współczynnik trzymania;
Uchyb rozruchowy;
3. Przyrządy użyte do wykonania ćwiczenia :
Amperomierz - zakres 2 A;
Woltomierz - zakres 7,5 V - 100 mA , 15 - 60 V - 50 mA;
Woltomierz - zakres 75 V - 10 mA , 150 - 600 V - 5 mA;
Opornik elekrtomagnetyczny - Un = 250 V, In = 5 A, Rn = 10 W;
Przekaźnik RI - 80 , In - 1 A, U = 5,2 V;
Przekaźnik REp - 80, Un = 100 V, I = 0,062 A;
Autotransformator;
4.Przebieg ćwiczenia.
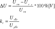
4.1 Sprawdzenie skali napięciowej przekaźnika napięciowego.
Po podłączeniu układu napięciowego dokonujemy pomiarów wartości rozruchowej (Ur) i wartości napięcia powrotu (Up) dla każdej wartości nastawionej (Urn). Pomiary dla każdej wartości nastawionej dokonujemy pięciokrotnie w celu uzyskania wartości średnich.
Wyniki naszych pomiarów zostały ujęte w tabeli nr 1.
Schemat połączenia obwodu do badania przekaźnika napięciowego.
Tabela wyników 1.
L |
Ur n |
Ur |
Urśr |
Up |
Upśr |
|
kt |
I |
S |
P |
[V] |
[V] |
[V] |
[V] |
[V] |
[%] |
- |
[mA] |
[V*A] |
|
|
42 |
|
50 |
|
|
|
|
|
1 |
50 |
42 |
41,9 |
50 |
48,3 |
16,2 |
0,86 |
18,5 |
0,89 |
|
|
41,7 |
|
44,9 |
|
|
|
|
|
|
|
55 |
|
65 |
|
|
|
|
|
2 |
60 |
53 |
54,26 |
64,8 |
64,93 |
8,21 |
0,83 |
21,3 |
1,38 |
|
|
54,8 |
|
65 |
|
|
|
|
|
|
|
64 |
|
78 |
|
|
|
|
|
3 |
70 |
64,9 |
64,46 |
76,9 |
77,46 |
7,91 |
0,83 |
22,9 |
1,77 |
|
|
64,9 |
|
77,5 |
|
|
|
|
|
|
|
75 |
|
87,8 |
|
|
|
|
|
4 |
80 |
73,7 |
74,23 |
88,6 |
88,9 |
7,21 |
0,83 |
11,2 |
1,0 |
|
|
74 |
|
90 |
|
|
|
|
|
|
|
86 |
|
105 |
|
|
|
|
|
5 |
90 |
85 |
85,5 |
106 |
105,5 |
5,0 |
0,81 |
13,2 |
1,4 |
|
|
85,5 |
|
106,5 |
|
|
|
|
|
|
|
95 |
|
114 |
|
|
|
|
|
6 |
100 |
95,2 |
95,03 |
113,8 |
113,93 |
4,97 |
0,83 |
16,2 |
1,84 |
|
|
94,9 |
|
114 |
|
|
|
|
|
Obliczenia wykonujemy wg. wzorów :

S=U*I[V*A]
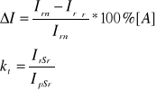
4.2 Sprawdzenie skali prądowej przekaźnika prądowego.
Po podłączeniu układu prądowego dokonujemy pomiarów wartości prądu rozruchowego (Ir) i wartości prądu opadania (Ip) dla każdej wartości nastawionej (Irn). Wartość prądu nastawczego przekaźnika dokonujemy poprzez zmianę prądu autotransformatorem (regulacja zgrubna) i opornicą R (regulacja dokładna). Pomiary dla każdej wartości nastawionej dokonujemy pięciokrotnie w celu uzyskania wartości średnich.
Wyniki naszych pomiarów zostały ujęte w tabeli nr 2.
Schemat połączenia obwodu do badania przekaźnika prądowego.
Obliczenia wykonujemy wg. wzorów :

S=U*I[V*A]
Tabela wyników 2.
L |
Ir n |
Ir |
Irśr |
Ip |
Ipśr |
|
kt |
U |
S |
P |
[A] |
[A] |
[A] |
[A] |
[A] |
[%] |
- |
[V] |
[V*A] |
|
|
3,5 |
|
2,6 |
|
|
|
|
|
1 |
4 |
3,6 |
3,52 |
2,7 |
2,63 |
12 |
1,33 |
0,3 |
0,78 |
|
|
3,4 |
|
2,6 |
|
|
|
|
|
|
|
4,8 |
|
3,5 |
|
|
|
|
|
2 |
5 |
4,9 |
4,83 |
3,8 |
3,6 |
3,4
|
1,34 |
0,5 |
1,8 |
|
|
4,8 |
|
3,5 |
|
|
|
|
|
|
|
5,5 |
|
4,3 |
|
|
|
|
|
3 |
6 |
5,5 |
5,46 |
4,5 |
4,46 |
9,0 |
1,22 |
0,7 |
3,1 |
|
|
5,4 |
|
4,6 |
|
|
|
|
|
|
|
6,9 |
|
4,8 |
|
|
|
|
|
4 |
7 |
7,0 |
6,93 |
5 |
4,96 |
1,0 |
1,39 |
0,8 |
3,9 |
|
|
6,9 |
|
5,1 |
|
|
|
|
|
|
|
7,8 |
|
5,9 |
|
|
|
|
|
5 |
8 |
7,8 |
7,86 |
5,9 |
5,93 |
2,0 |
1,32 |
0,9 |
5,3 |
|
|
8,0 |
|
6 |
|
|
|
|
|
|
|
8,5 |
|
6,4 |
|
|
|
|
|
6 |
9 |
8,7 |
8,6 |
6,5 |
6,23 |
4,4 |
1,38 |
1,0 |
6,23 |
|
|
8,8 |
|
5,8 |
|
|
|
|
|
|
|
9,9 |
|
7,5 |
|
|
|
|
|
7 |
10 |
10 |
9,8 |
7,8 |
7,63 |
2,0 |
1,28 |
1,1 |
8,3 |
|
|
9,6 |
|
7,6 |
|
|
|
|
|
5. Wnioski.
Wraz ze wzrostem napięcia nastawczego wzrasta nam uchyb rozruchowy;
Wraz ze wzrostem prądu nastawczego maleje nam uchyb rozruchowy;
Moc pobierana przez przekaźnik prądowy rośnie wraz ze wzrostem prądu nastawczego;
Moc pobierana przez przekaźnik napięciowy rośnie wraz ze wzrostem napięcia nastawczego;
W przekaźniku napięciowym współczynnik trzymania ma wartości bliskie jedności;
W przekaźniku prądowym współczynnik trzymania ma wartości większe od jedności;
Moc pobierana przez przekaźnik napięciowy jest mniejsza od mocy pobieranej przez przekaźnik prądowy .
1
P
220 V
V
A
P
220 V
V
A