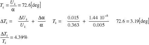
Wyznaczanie współczynnika termoelektrycznego:

0x01 graphic

Temperatura krzepnięcia stopu:

0x01 graphic

Uk i ΔUk zostało odczytane z wykresu.

Niepewność pomiaru napięcia:

0x01 graphic