Magnusson r.5 - „Rzetelność”
zad. 5 (str.117)
oblicz, o ile setnych wzrośnie współczynnik rzetelności na różnych poziomach wyjściowych po podwojeniu długości testu. Wykreśl tę funkcję dla wyjściowych wartości r wzrastających od 0 do 1
przeprowadź te same obliczenia dla sytuacji gdy test ulega 4-krotnemu przedłużeniu
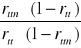
→ wzór Spearmana-Browna: ruu = rttn = ![]()
→ ∆ = ruu -rtt
zad. 6 (str.117)
Pewien test zawierający 80 zadań ma rzetelność 0,94
jaka będzie jego rzetelność po zredukowaniu liczby zadań o połowę
→ wzór Spearmana-Browna
jaką liczbę zadań należałoby zachować, gdybyśmy zadowolili się rzetelnością 0,9?
→ kpoczątk. = 80
→ n = ![]()
→ kkońc. = kpoczątk * n
zad. 7 (str.117)
Chcielibyśmy, aby test składający się z 40 zadań i mający rzetelność 0,64 został przedłużony aż do osiągnięcia rzetelności 0,8. Ile musielibyśmy dodać zadań tego samego rodzaju co pierwotne?
→ n
→ kkońc.
→ ∆ = kkońc.- kpoczątk.
zad. 8 (str.117)
Jaka będzie rzetelność testu o rzetelności pierwotnej rtt = 0,7 po przedłużeniu a) 2-krotnym b) 3-krotnym c) 4-krotnym d) 5-krotnym?
→ wzór Spearmana-Browna
zad. 9 (str.118)
Ile razy należy przedłużyć test o współczynniku rtt = 0,8, aby osiągnąć rzetelność a) 0,9 b) 0,95?
→ n
zad. 10 (str.118)
W pewnej sytuacji dla grupy 10 osób oceniających osiągnięto wielkość współczynnika zgodności wewnętrznej równą 0,3. Oblicz za pomocą wzoru Spearmana-Browna, Ole powinno być osób oceniających, aby osiągnąć rzetelność 0,9.
→ n
→ kkońc.
zad. 11 (str.118)
Wariancja prawdziwa wynosi sT2 = 3, natomiast wariancja błędu se2 = 2. Oblicz wskaźnik rzetelności.
→ 
zad. 12 (str.118)
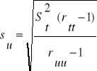
Pewien test ma rzetelność rtt = 0,92. Oblicz rzetelność, gdyby test ten zastosowano w odniesieniu do tak dobranej grupy, że jej odchylenie standardowe w zakresie badanej zmienności wynosiłoby jedynie 71% odchylenia standardowego populacji.
→ su - odchyl. stand.
ruu = 1 - |
→
zad. 13 (str.118)
Nowo skonstruowany test osiągnął wartość: s = 10 oraz rtt = 0,93 dla próbki normalizacyjnej. Następnie zastosowano go w odniesieniu do grupy studentów i współczynnik rzetelności wyniósł 0,82. Oblicz odchylenie standardowe rozkładu wyników otrzymanych przez tę grupę studentów.
→ 