POLITECHNIKA ŚLĄSKA
W GLIWICACH
WYDZIAŁ ELEKTRYCZNY
WYZNACZANIE WSPÓŁCZYNNIKA PRZEWODNICTWA CIEPLNEGO CIAŁ STAŁYCH
WPROWADZENIE.
Wymiana ciepła między dwoma ciałami o różnych temperaturach może przebiegać na jeden z trzech sposobów:
1.promieniowanie ,
2.unoszenie ( konwekcja ) ,
3.przewodnictwo .
Zjawisko przewodnictwa cieplnego polega na przekazywaniu energii kinetycznej chaotycznego ruchu cieplnego drobin . Jest jednym z tzw. zjawisk transportu obok lepkości i dyfuzji.
Proces przewodnictwa cieplnego w ciałach stałych jest związany z drganiami sieci krystalicznej i zależy od rodzaju struktury krystalicznej .
Według kwantowej teorii ciał stałych drgania termiczne sieci krystalicznej są skończonym zbiorem drgań normalnych tworzących w procesie interferencji paczki falowe , zwane fononami .W dielektrykach przyjmuje się sieć krystaliczną jako objętość wypełnioną gazem fononowym , do którego można zastosować prawo kinetycznej teorii gazów = cvl/3 , gdzie v - prędkość rozchodzenia się fononów ( równa prędkości dźwięku ),
l - średnia droga swobodna fononów .
CIAŁA ŹLE PRZEWODZĄCE CIEPŁO.
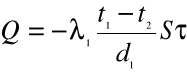
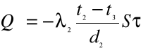
Niech ciepło przepływa kolejno przez dwie płaskorównoległe płytki źle przewodzące ciepło . Przekrój normalny ma powierzchnię S . Uwzględniając normalny , stacjonarny strumień cieplny i zaniedbując efekty brzegowe można równania przepływu ciepła poprzez kolejne płytki w czasie zapisać następująco :
dla ciała A :

dla ciała B :


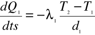
Ponieważ dla ciągłego przepływu ciepła ![]()
, więc :

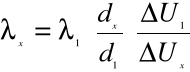
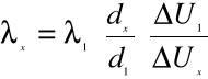
W chwili początkowej obydwa ciała miały tę samą temperaturę , a gradient temperatur wewnątrz materiału był równy zeru . Badane płytki umieszczone są pomiędzy dwoma mosiężnymi naczyniami. Przez naczynie dolne przepływa zimna woda , przez pojemnik górny przepuszczamy parę wodna . Badane płyty obłożone są krążkami miedzianymi z zainstalowanymi termoelementami . Całość skręcona jest śrubami . Końcówki termoelementów doprowadzone są do zacisków . Wraz z upływem czasu rośnie temperatura między płytami , aż do ustalenia takich gradientów temperatury , gdy temperatury płaszczyzn krążków ustala się . Wówczas można wyliczyć współczynnik przewodnictwa cieplnego badanej substancji znając wartość współczynnika dla materiału wzorcowego :

Płytka wzorcowa wykonana jest z marmuru o współczynniku = 2.33 J/msK . Oprócz płytki drewnianej bada się płytkę wykonaną z piaskowca . Miarą temperatur są termopary , których siła termoelektryczna jest proporcjonalna do różnicy temperatur między ściankami płytek .Wzór do obliczania przewodnictwa cieplnego ma postać:

gdzie ,
![]()
- grubość badanej płytki , ![]()
- napięcie odpowiadające danej płytce
PRZEBIEG ĆWICZENIA.
1.Uzupełniamy wodę w kolbie . Z węża usuwamy wodę powstałą ze skraplania pary . Otwieramy obieg zimnej wody i rozpoczynamy podgrzewanie wody w kolbie .
2.Od momentu zagotowania wody zaczynamy notować wskazania miliwoltomierza mierzącego różnicę sił termoelektrycznych kolejnych termopar .

3.Pomiary powtarzamy w odstępach 1-minutowych aż do ustalenia się wskazań miernika dla wszystkich termoelementów .
4.Rysujemy wykresy zależności siły termoelektrycznej od czasu i określamy ustalone wartości tej wielkości dla kolejnych termopar .
5.Obliczamy współczynnik przewodnictwa cieplnego dla drewna i piaskowca . 
6.Przeprowadzamy rachunek błędów.
OBLICZENIA .





![]()



Do pomiaru użyliśmy miernika cyfrowego , którego klasa wynosi 0,5 i błąd bezwzględny wielkości mierzonej wyraża się wzorem :
![]()
Średni błąd bezwzględny :
1. dla marmuru 0.0258 =0.03
2. dla drewna 0.0168 = 0.02
3. dla piaskowca 0.0143 = 0.01
Współczynnik przewodnictwa cieplnego dla :
1.Marmuru = 
2.Drewna = 
3.Piaskowca = 
WNIOSKI
Wykres zależności siły termoelektrycznej od czasu pokazuje nam , że marmur ma największe przewodnictwo cieplne . Miarą szybkości przewodnictwa cieplnego w danym ośrodku jest współczynnik przewodnictwa cieplnego . W naszym ćwiczeniu najlepszy współczynnik przewodnictwa cieplnego ma marmur . Obserwacje życia codziennego wykazały , że są ośrodki które o wiele szybciej przewodzą ciepło miedzy innym metale , ciecze , a zarazem ich współczynniki są nasze .
