WICZENIE 9
I PRACOWNIA FIZYCZNA U. L.
nr wiczenia 9 temat WYZNACZANIE LEPKOCI
CIECZY METOD STOKESA
imi i nazwisko Andrzej Labocha
rok studiów I kierunek Wychowanie Techniczne
grupa 10 : 30 data wykonania wiczenia 14.03.97
WSTP TEORETYCZNY
Prawa dynamiki bryy sztywnej:
I Jeli na bry sztywn nie dziaa aden moment si lub momenty si równowa si, to brya nie obraca si ( = 0) lub obraca si ze sta prdkoci ktow = const.
II Jeli na bry sztywn dziaa moment si " 0 to brya ta obraca si z przyspieszeniem ktowym proporcjonalnym do momentu si, a odwrotnie proporcjonalnym do momentu bezwadnoci.
III Dwa ciaa obracajce si oddziaywujce na siebie momentami siy równe co do wartoci lecz o przeciwnych znakach.
Moment bezwadnoci - momentem bezwadnoci bryy wzgldnej danej osi obrotu nazywamy sum iloczynów mas czstek przez kwadraty ich odlegoci od osi obrotu.
![]()
Prawo Steinera - moment bezwadnoci bryy jest równy sumie mas bryy wyznaczonego wzgldem osi przechodzcej przez rodek masy ciaa plus iloczyn masy tego ciaa oraz odlegoci osi rzeczywistej równolegej do osi przechodzcej przez rodek masy ciaa.
I = I0 +ml2
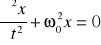
Drganiami harmonicznymi prostymi nazywamy drgania odbywajce si pod wpywem siy F proporcjonalnej do wychylenia x i przeciwnie skierowanej.
F = -kx
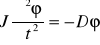
Wspóczynnik proporcjonalnoci k o wymiarze N"m-1 nazywamy si kierujc. W przypadku drga torsyjnych bryy sztywnej si F naley zapisa momentem siy M, a wychylenie x ktem skrcania M = -D
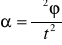
Wspóczynnik proporcjonalnoci D o wymiarze N"m"rad-1 nazywamy momentem kierujcym. Korzystajc z równania ruchu obrotowego bryy sztywnej, moment si moemy wyrazi wzorem
M = J J - moment bezwadnoci
- przyspieszenie ktowe
![]()
![]()
![]()
Analogiczne równanie dla drgajcego punktu o masie m
![]()
Dzielc przez J i wprowadzajc oznaczenie
![]()
![]()
0 - czsto koowa drga
otrzymujemy;
![]()
![]()
Równanie ruchu harmonicznego prostego. Jest ono równaniem róniczkowym drugiego rzdu wzgldem zmiennej . Rozwizaniem powyszego równania jest funkcja.
= 0 cos (0 t + )
x = x0 cos (0 t + )
Wielkoci nazywamy faz pocztkow lub przesuniciem fazowym, a wielkoci 0amplitud.
Z wasnoci funkcji trygonometrycznych wynika ,e równie funkcja
= 0 sin (0 t + ) spenia równanie
=-/2
Pod wpywem momentu siy M. okrelanego równaniem M.=-D* , kt wychylenia z pooenia równowagi zmienia si periodycznie w taki sposób jak funkcja cosinus. W praktyce oznacza to, e brya oscyluje wokó pooenia równowagi z czstoci ktow 0 . Jeeli przyjmiemy, e w chwili pocztkowej, gdy t = 0, = 0 , wtedy przesunicie fazowe = 0 i rozwizanie równania przyjmie posta :
= 0 cos 0 t
x = x0 cos 0 t
Funkcja cosinus jest funkcj periodyczn i jej wartoci powtarzaj si co 2. Korzystajc z powyszej wartoci i równania = 0 cos 0 t wyznaczy moemy okres T, tzn. czas, po którym funkcja cosinus wraca do pocztkowej wartoci.
cos 0 t(t -T) = cos (0 t + 2)
T=![]()
Podstawiajc za warto 0 warto z równania
02 = ![]()
02 = ![]()
otrzymujemy:
T = 2![]()
T = 2![]()
Wartoci spryste cia.
Odksztacenie ciaa spowodowane jest dziaaniem zrównowaonych si lub zrównowaonych momentów si.
Odksztacenie znikajce z chwil usunicia si odksztacajcych nazywamy odksztaceniem sprystym, a zjawisko - sprystoci. Odksztacenie, które nie zanika po usuniciu tych si nazywamy odksztaceniem plastycznym, a zjawisko - plastycznoci.
Siy odksztacajce mog dziaa na ciao prostopadle lub stycznie do powierzchni. Siy Fn, -Fn, dziaajce prostopadle na ca powierzchni S nazywamy siami normalnymi, a napreniem normalnym - stosunek siy Fn do powierzchni . = Fn/S.
Miar wielkoci odksztacenia spowodowanego tak przyoonymi siami jest odksztacenie wzgldne , które jest stosunkiem zmiany dugoci l do dugoci pocztkowej l.
= l/l
Prawo Hooke'a - naprenie jest proporcjonalne do odksztacenia .
Dla naprenia normalnego = E* ,gdzie
E - modu Younga [N/m2]
- odksztacenie wzgldne
Dla naprnia stycznego = G*
Zwaono na wadze laboratoryjnej wszystkie obciniki.
|
1 pomiar |
2 pomiar |
3 pomiar |
4 pomiar |
5 pomiar |
6 pomiar |
piercie |
1057,2g |
1057g |
|
|
|
|
walec wy- drony |
508,22g |
507,9g |
|
|
|
|
walec peny |
399,3g 396,5g |
400,1g 396,2g |
|
|
|
|
OBLICZANIA I WYKRES
Okres drga wahada (stolika) nieobcionego;
![]()
gdzie;
D - moment kierujcy
I0 - moment bezwadnoci stolika
Okres drga stolika z obcieniem x:
![]()
3. Moment bezwadnoci piercienia;
![]()
Twierdzenie o osiach równolegych (teinera)
![]()
gdzie;
I d - moment bezwadnoci wzgldem osi odlegej o d od osi przechodzcej przez rodek masy
I s - moment bezwadnoci wzgldem osi przechodzcej przez rodek masy
m - masa ciaa
Obliczenie redniej wartoci okresu drga nieobcionego stolika (To);
|
pom.1 |
pom.2 |
pom.3 |
pom.4 |
pom.5 |
t = 2To [s] |
4,53 |
3,66 |
3,81 |
3,84 |
3,83 |
To [s] |
2,27 |
1,82 |
1,9 |
1,92 |
1,91 |
rednia: 1,96s
odchylenie standardowe (DTo) : 0,007823s do obliczenia
Obliczenie momentu bezwadnoci piercienia I p. ze wzoru (3) :
|
pom.1 |
pom.2 |
pom.3 |
pom.4 |
pom.5 |
r 1 [m] |
0,0935 |
0,0935 |
0,094 |
0,0935 |
0,0935 |
rednia : 0,0936 m
odch. standardowe: 0,000224 m
r 2 [m.] |
0,071 |
0,0705 |
0,071 |
0,071 |
0,071 |
rednia : 0,0709m
odch. standardowe: 0,000224m
m [kg] |
1,054 |
1,055 |
1,051 |
1,053 |
1,054 |
rednia : 1,0534kg
odch. standardowe: 0,001517kg
I p =0,007262[m2*kg]
Obliczenie redniego okresu drga stolika obcionego piercieniem (Tp):
|
pom.1 |
pom.2 |
pom.3 |
pom.4 |
pom.5 |
t = 2Tp [s] |
5,18 |
5,35 |
5,29 |
5,2 |
5,25 |
Tp [s] |
2,59 |
2,67 |
2,64 |
2,6 |
2,62 |
rednia: 2,62s
odchylenie standardowe (DTp) : 0,018687s
Obliczenie momentu kierujcego D i momentu bezwadnoci nieobcionego stolika Io z pary równa (1) i (2) :

D =0,105049[m2*kg/s2]
![]()
I o =0,009353[m2*kg]
Obliczenie redniego okresu drga stolika obcionego wydronym walcem (Tx):
|
pom.1 |
pom.2 |
pom.3 |
pom.4 |
pom.5 |
t = 5Tx [s] |
4,18 |
4,16 |
4,18 |
4,2 |
4,18 |
Tx [s] |
2,09 |
2,08 |
2,09 |
2,1 |
2,09 |
rednia: 2,09s
odchylenie standardowe (DTx) : 0,009487s
Obliczenie momentu bezwadnoci wydronego walca (Ix) z równania (2) :
I x =0,001764[m2*kg]
Obliczenie rednich okresów drga stolika obcionego penym walcem w osi obrotu (Ts ) i w odlegoci d od osi
|
pom.1 |
pom.2 |
pom.3 |
pom.4 |
pom.5 |
t = 5Ts [s] |
9,4 |
9,44 |
9,44 |
9,43 |
9,5 |
Ts [s] |
1,88 |
1,89 |
1,89 |
1,89 |
1,90 |
rednia: 1,89s
odchylenie standardowe (DTs) : 0,007266s
d 1 =0,03m Dd =0,001m(przyjta niepewno pomiarowa)
|
pom.1 |
pom.2 |
pom.3 |
pom.4 |
pom.5 |
t = 5T1 [s] |
9,85 |
9,72 |
9,75 |
9,72 |
9,75 |
T1 [s] |
1,97 |
1,94 |
1,95 |
1,94 |
1,95 |
rednia: 1,95s
odchylenie standardowe (DT1) : 0,010714s
d 2 =0,063m
|
pom.1 |
pom.2 |
pom.3 |
pom.4 |
pom.5 |
t = 5T2 [s] |
10,25 |
10,4 |
10,29 |
10,41 |
10,35 |
T2 [s] |
2,05 |
2,08 |
2,06 |
2,08 |
2,07 |
rednia: 2,07s
odchylenie standardowe (DT2) : 0,013856s
d 3 =0,111m.
|
pom.1 |
pom.2 |
pom.3 |
pom.4 |
pom.5 |
t = 5T3 [s] |
11,75 |
11,82 |
11,75 |
11,75 |
11,78 |
T3 [s] |
2,35 |
2,36 |
2,35 |
2,35 |
2,36 |
rednia: 2,35s
odchylenie standardowe (DT3) : 0,006164s
Obliczenie momentu bezwadnoci wydronego walca (Is) z równania (2) :
![]()
I s =0,000136[m2*kg]
Obliczenie momentu bezwadnoci wydronego walca (Id) oddalonego o d od osi obrotu, z równania (2) :
I d1 =0,000782[m2*kg]
I d2 =0,002027[m2*kg]
I d3 =0,005392[m2*kg]
Obliczenie momentów bezwadnoci walca (Id ) oddalonego od osi obrotu o d , ze wzoru (4) :
|
pom.1 |
pom.2 |
pom.3 |
pom.4 |
pom.5 |
m [kg] |
0,395 |
0,394 |
0,395 |
0,395 |
0,396 |
rednia : 0,395kg
odch. standardowe: 0,000707kg
m*d12 =0,000356[m2*kg] I d1 =0,000492[m2*kg]
m*d22 =0,001568[m2*kg] I d2 =0,001704[m2*kg]
m*d32 =0,004867[m2*kg] I d3 =0,005003[m2*kg]

Obliczenie rednich okresów drga stolika obcionego dwoma penymi walcami w osi obrotu (Ts ) i w odlegoci d od osi obrotu :
|
pom.1 |
pom.2 |
pom.3 |
pom.4 |
pom.5 |
t = 5Ts [s] |
11,16 |
11,12 |
11,16 |
11,06 |
11,25 |
Ts [s] |
2,23 |
2,22 |
2,23 |
2,21 |
2,25 |
rednia: 2,23s
odchylenie standardowe (DTs) : 0,013856s
d =0,0476m.
|
pom.1 |
pom.2 |
pom.3 |
pom.4 |
pom.5 |
t = 5Td [s] |
11,9 |
11,75 |
11,75 |
11,75 |
11,62 |
Td [s] |
2,38 |
2,35 |
2,35 |
2,35 |
2,32 |
rednia: 2,35s
odchylenie standardowe (DTd) : 0,019829s
Obliczenie momentu bezwadnoci ukadu walców (Is) ustawionych symetrycznie do osi obrotu, z równania (2) :
I s =0,00388[m2*kg]
Obliczenie momentu bezwadnoci ukadu walców (Id) oddalonego o d od osi obrotu, z równania (2) :
I d =0,00535[m2*kg]
Obliczenie momentu bezwadnoci ukadu walców (Id) oddalonego o d od osi obrotu, z równania (4) (równanie Steinera) :
I d =0,00567[m2*kg]
Wnioski:
Wartoci momentów bezwadnoci wyznaczonych z równa (1) i (2) w porównaniu z wartociami uzyskanymi z równania(4) (równanie Steinera) s bardzo do siebie zblione. Potwierdza to suszno twierdzenia Steinera.

LKLKLK