LABORATORIUM MECHANIKI DOSWIADCZALNEJ 23.04.97
POMIAR PRZYROSTU DLUGOSCI SZCZELINY
Wykonał: PITAK ROBERT gr.23
OPIS ĆWICZENIA:
Przed zamocowaniem próbki w szczękach maszyny MTS należy dokonać pomiaru grubości próbki (B), szerokości próbki (W), rozstawu podpór (S) i rozstawu elektrod zbierających różnicę zmiany potencjałów (y).
Ćwiczenie przeprowadzamy wg następujących schematów:
1.Dla pomiaru metodą zmiany podatności:
2.Dla pomiaru metodą zmiany podatności:
Kalibrację przeprowadzamy podobnie jak w tensometrii oporowej symulując wstępne obciążenia. W metodzie zmiany podatności jeden z czujników zamieszczonych na maszynie związany jest z wałeczkiem trawersy, a drugi przymocowany na ramieniu wałeczka. Podatność mierzymy na odcinku odciążenia.
Pomiar metodą zmiany potencjałów polega na pomiarze zmiany potencjału między dwoma elektrodami, na skutek przepływającego prądu przez próbkę. Przy metodzie tej stosujemy prąd 3-5A.
Przyrost długości szczeliny w czasie (metoda zmiany potencjału wg PN):

Przyrost długości szczeliny w czasie (metoda zmiany potencjału wg ASTM):

Obliczenia przyrostu długości szczeliny przy wykorzystaniu metody zmiany podatności pozwala korzystać z następujących wzorów :
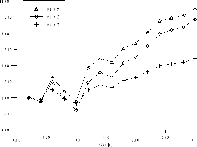
WZÓR 1:
gdzie b-wymiar nie pękniętej części próbki
Ci - podatność w badanym punkcie
C0 - minimalna wartość podatności
WZÓR 2:
gdzie bi-1 - nie pęknięta część próbki
n=2 (dla próbek trój punktowo zginanych)
WZÓR 3:
gdzie:
Be - efektywna grubość próbki
S - rozstaw podpór
E - moduł Younga
Wykres przedstawiający przyrost długości szczeliny metodą zmiany podatności:

WNIOSKI:
Moment inicjacji mo*na określić metodą zmiany podatności lub metodą zmiany potencjału . Przyrost długości szczeliny pozwala określić odporność na pękanie materiałów w zakresie sprężysto-plastycznym . Różnice między wykresami mogą wynikać z niedokładnością związaną ze złym określeniem podatności zerowej. Metoda zmiany podatności jest metodą dość dokładną, jej rozbieżność zwiększa się wraz ze zwiększeniem długości szczeliny.