Toggle navigation
Zanotowane.pl
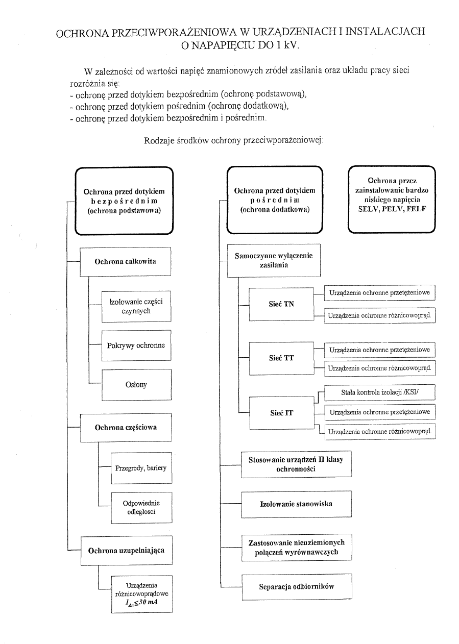
rodz śr ochrony pporażeniowej
Wyszukiwarka
Podobne podstrony:
ochrona pporazeniowa
Ochrona pporazeniowa instalacje elektryczne 3
ochrona pporazeniowa sn(3)
Och. śr, Ochrona Środowiska
Ochrona pporażeniowa
Sprawdzanie środków ochrony pporaz
referat- ochrona sr, Ochrona Środowiska, Ochrona Środowiska(1)
Ochrona pporazeniowa - instalacje elektryczne, 3
materialy szkoleniowe 29 10 200 ochrona pporaz id 285445
Zawartośc ołowiu w glebach, d sprawozdanie mikro och śr, Ochrona środowiska - Mikrobiologia
ochrona pporażeniowa, Inne, SEP 1kV + Pomiary
ochrona pporazeniowa
Szkol Instr ogólny 07 Dobór śr ochrony
Bhp Magazynowanie śr ochrony roślin
Ochrona PPorażeniowa cz2
Ochrona PPorażeniowa cz3
Ochrona PPorażeniowa cz1V1a
więcej podobnych podstron