background image

 

45

Recenzent: 
Prof. dr hab. n. med. Jerzy Kiwerski 
 
 
 

ZASTOSOWANIE ĆWICZEŃ W WODZIE W REHABILITACJI 

PACJENTÓW ZE ZMIANAMI ZWYRODNIENIOWYMI I PO 

ENDOPROTEZOPLASTYCE STAWÓW BIODROWYCH 

 

 

Ryszard Kaczor¹, Marek Łyp¹´ ²´ ³, Adam Ogonowski¹´ ³, Wojciech Maciak¹ 
 
 
 
¹ Centrum „ATTiS” w Warszawie  
² Wydział Rehabilitacji AWF w Warszawie  
³ Katedra i Klinika Rehabilitacji AM w Warszawie 
 

 

Streszczenie: 

Dolegliwości bólowe spowodowane zmianami zwyrodnieniowo-

zniekształcajacymi stawów biodrowych to częsta przyczyna znacznego ograniczenia 
sprawności motorycznej pacjentów. W pracy skupiono się na rehabilitacji pacjentów ze 
zmianami zwyrodnieniowo-zniekształcającymi i pacjentach, u których zastosowano 
endoprotezoplastykę stawu biodrowego. Zaproponowano schemat postępowania 
fizjoterapeutycznego, w którym ważnym elementem były ćwiczenia w wodzie według wzoru 
własnego. Pacjenci zakwalifikowani do leczenia zostali podzieleni na pięć grup. Dwie grupy 
to pacjenci z endoprotezą stawu biodrowego. Dwie grupy to pacjenci ze zmianami 
zwyrodnieniowymi stawu biodrowego. Grupa piąta to grupa kontrolna. We wszystkich 
grupach terapeutycznych zastosowano kinezyterapię i fizykoterapię. Dodatkowym 
elementem w dwóch grupach terapeutycznych były  ćwiczenia w wodzie. Czas trwania 
zabiegów we wszystkich grupach trwał cztery tygodnie. Leczenie prowadzone było 
codziennie. Ocena wyników leczenia oparta została na Zmodyfikowanym Kwestionariuszu 
Laitinena. U pacjentów ze zmianami zwyrodnieniowymi i po endoprotezoplastyce stawu 
biodrowego, u których stosowano ćwiczenia w basenie rehabilitacyjnym uzyskano 
statystycznie istotną poprawę w zakresie ocenianym w  Zmodyfikowanym Kwestionariuszu 
Laitinena. 

 
Słowa kluczowe: 
zmiany zwyrodnieniowe stawów biodrowych, endoprotezoplastyka stawu 
biodrowego, wolnozmienne pole magnetyczne, ćwiczenia w basenie rehabilitacyjnym 
 
 
Wstęp: Występowanie dolegliwości bólowych spowodowanych zmianami 

zwyrodnieniowymi stawów biodrowych to częsta przyczyna znacznego 
ograniczenia sprawności motorycznej pacjentów. Zmiany te są charakterystyczne 
dla osób wieku średniego i starszego. Ich przyczyną w znacznej części 
przypadków są  długotrwałe przeciążenia spowodowane nadwagą, wadami 
wrodzonymi, schorzeniami uszkadzającymi chrząstkę stawową [2, 5]. Ponieważ 
odsetek pacjentów ze zmianami zwyrodnieniowymi stawu biodrowego wzrasta 
wraz ze starzeniem się populacji, współczesna medycyna wciąż poszukuje 
nowych metod terapii skutecznie walczących z tym problemem. W pracy 
skupiliśmy się na rehabilitacji pacjentów ze zmianami zwyrodnieniowo-

background image

 

46

zniekształcajacymi i pacjentów, u których w leczeniu zastosowano 
endoprotezoplastykę stawu biodrowego. Zaproponowano schemat postępowania 
fizjoterapeutycznego, w którym ważnym elementem były  ćwiczenia w wodzie 
według wzoru własnego [3, 4, 6]. 

Materiał i Metoda: Do leczenia zostało zakwalifikowanych 100 pacjentów z rozpoznanymi 
zmianami zwyrodnieniowo-zniekształacającymi stawu biodrowego i po endoprotezoplastyce 
stawu biodrowego. W grupie znalazło się 69 kobiet i 31 mężczyzn w wieku od 50 do 83 lat (śr. 
62,42). Zmiany zwyrodnieniowe pierwotne występowały u 81, a wtórne u 19 pacjentów. 
Wśród pacjentów ze zmianami zwyrodnieniowo-zniekształcajacymi było 10 z pierwszym 
stopniem, 24 z drugim i 16 z trzecim stopniem zmian w skali Altmana [1]. W grupie pacjentów 
z endoprotezą stawu było 23 pacjentów z endoprotezą bezcementową i 27  z protezą 
cementową. Średni czas po zabiegu operacji endoprotezoplastyki stawu biodrowego wynosił 
15, 38 miesiąca. Pacjenci zostali podzieleni na pięć grup. Do ćwiczeń w basenie zostali 
zakwalifikowani w sposób randomizowany. 
1.  grupa - pacjenci z endoprotezą stawu biodrowego, u których zastosowano kinezyterapię 

fizykoterapię [7]  (Wolnozmienne pole magnetyczne, kształt pola - prostokątny bipolarny 
częstotliwość - 40Hz, intensywność - 6 mT , czas zabiegu - 20 min. - magnetronic MF-10 
i ćwiczenia w basenie rehabilitacyjnym). 

2.   grupa - pacjenci z endoprotezą stawu biodrowego, u których zastosowano kinezyterapię 

fizykoterapię (Wolnozmienne pole magnetyczne, kształt pola - prostokątny bipolarny 
częstotliwość - 40Hz, intensywność - 6 mT , czas zabiegu - 20 min. - magnetronic MF-10 

3.   grupa – Pacjenci ze zmianami zwyrodnieniowo-zniekształcającymi stawu biodrowego, u 

których zastosowano kinezyterapie, fizykoterapię (Wolnozmienne pole magnetyczne, 
kształt pola - prostokątny bipolarny częstotliwość - 40Hz, intensywność - 6 mT , czas 
zabiegu - 20 min. - magnetronic MF-10 i ćwiczenia w basenie rehabilitacyjnym). 

4.  grupa – Pacjenci ze zmianami zwyrodnieniowo-zniekształcającymi stawu biodrowego, u 

których zastosowano kinezyterapie, fizykoterapię (Wolnozmienne pole magnetyczne, 
kształt pola - prostokątny bipolarny częstotliwość - 40Hz, intensywność - 6 mT , czas 
zabiegu - 20 min. - magnetronic MF-10). 

5.  grupa kontrolna – ograniczenie aktywności fizycznej (byli to pacjenci ze zmianami 

zwyrodnieniowymi i po endoprotezoplastyce stawu biodrowego oczekujący na leczenie. 
Zalecono im aby nie wykonywali czynności powodujących nasilanie dolegliwości 
bólowych. Nie byli oni oceniani po raz kolejny po leczeniu) 

Czas trwania zabiegów we wszystkich grupach trwał cztery tygodnie. Leczenie było 
prowadzone codziennie (z przerwą na sobotę i niedzielę). Przed i po leczeniu każdy pacjent 
był badany. Wynik leczenia oceniano według ustalonego schematu. W badaniu podmiotowym 
wykorzystano Zmodyfikowany Kwestionariusz Laitinena (nasilenie bólu, częstość 
występowania bólu, używanie leków przeciwbólowych i NLPZ, ocenę sprawności ruchowej 
pacjenta). 
Wnioskowanie statystyczne prowadzono na poziomie istotności 

α = 0,05.  Do  obliczeń 

statystycznych wykorzystywano pakiet oprogramowania STATISTICA (StatSoft, Inc. 2001, 
www.statsoft.com.). Część analiz oraz zamieszczone w pracy wykresy wykonano za pomocą 
arkusza kalkulacyjnego EXCEL (Microsoft Corporation 2003). Zgodność rozkładów 
statystycznych z rozkładem normalnym oceniano za pomocą testu Shapiro-Wilka. 
Przyjmowano,  że badany rozkład może zostać uznany za normalny, jeżeli spełniony był 
warunek p > 0,20; gdzie p oznacza prawdopodobieństwo,  że badany rozkład jest tożsamy z 
rozkładem normalnym. Istotność różnic między  średnimi określano za pomocą analizy 
wariancji dla pomiarów powtarzanych (ANOVA). Do porównań post hoc w analizie wariancji 
zastosowano test Neumana-Keulsa. W przypadku, gdy dane nie spełniały założeń 

background image

 

47

pozwalających na zastosowanie metod parametrycznych do porównania średnich w grupach 
stosowano test ANOVA Kruskala-Wallisa. Do porównań szczegółowych wykorzystano test 
Wilcoxona (dane zależne) lub test U-Manna-Whitneya (dane niezależne). Do określenia siły 
związków między zmiennymi mierzalnymi wykorzystano współczynnik korelacji prostej 
Pearsona, którego istotność badano testem t-Studenta. Gdy dane nie spełniały założeń 
pozwalających na zastosowanie metod parametrycznych stosowano współczynnik korelacji 
Spearmana.  
Wyniki: Wyniki zostały przedstawione na podstawie badania pacjentów przed  i po leczeniu. 
Do oceny wykorzystano Zmodyfikowany Kwestionariusz Laitinena. Ocena dotyczyła 
nasilenia dolegliwości bólowych, częstości występowania dolegliwości bólowych, 
ograniczenia sprawności uszkodzonej kończyny i konieczności stosowania środków 
farmakologicznych. Na rycinie 1 przedstawiono nasilenie dolegliwości bólowych, przed i po 
leczeniu, u pacjentów ze zmianami zwyrodnieniowymi i po endoprotezoplastyce stawu 
biodrowego. Wykazano znamienną statystycznie różnice w ocenie bólu u pacjentów w 
grupach ze zmianami zwyrodnieniowym i po endoprotezoplastyce, którzy uczestniczyli w 
zabiegach w basenie rehabilitacyjnym. Wykazano również różnice znamienne statystycznie u 
pacjentów po endoprotezoplastyce stawu biodrowego, u których stosowano tylko 
kinezyterapię i fizykoterapię. Nie wykazano różnicy istotnej statystycznie w grupie pacjentów 
ze zmianami zwyrodnieniowo zniekształcającymi, u których stosowano tylko zabiegi z 
zakresu kinezyterapii i fizykoterapii. 

NASILENIE BÓLU

0

1

2

3

E-B

E-R

Z-B

Z-R

GK

Badane grupy

Ocen

a (0 - 4) [-]

Przed rehabilitacją
Po rehabilitacji

**

**

***

n.i.

n.i.

*** - p<0,001; ** - p<0,01; * p<0,05; test Wilcoxona

 

Legenda: EB – endoproteza, usprawnianie w basenie, ER – endoproteza, usprawnianie bez basenu, ZB – zmiany 
zwyrodnieniowe, usprawnianie w basenie, ZR – zmiany zwyrodnieniowe, usprawnianie bez basenu, GK –grupa 
kontrolna; 
 

Ryc. 1. Nasilenie dolegliwości bólowych ocenianych zgodnie ze Zmodyfikowanym Kwestionariuszem Laitinena 

przed leczeniem i po leczeniu rehabilitacyjnym przez pacjentów po endoprotezoplastyce i ze zmianami 

zwyrodnieniowo-zniekształcającymi stawu biodrowego. 

 
Na rycinie 2 przedstawiono ograniczenie sprawności ruchowej zgodnie ze Zmodyfikowanym 
Kwestionariuszem Laitinena. Wykazano różnice znamienne statystycznie w grupach 
pacjentów ze zmianami zwyrodnieniowo zniekształcającymi i po endoprotezoplastyce stawu 
biodrowego, którzy korzystali z zabiegów w basenie rehabilitacyjnym. Autorzy nie wykazali 

background image

 

48

statystycznie istotnych różnic w grupach pacjentów ze zmianami zwyrodnieniowo 
zniekształcającymi i po endoprotezoplastyce stawu biodrowego, u których nie zastosowano 
zabiegów w wodzie. 

OGRANICZENIE SPRAWNOŚCI RUCHOWEJ KOŃCZYNY

0

1

2

3

E-B

E-R

Z-B

Z-R

GK

Badane grupy

Oc

ena (0 - 4) [-]

Przed rehabilitacją
Po rehabilitacji

*** - p<0,001; ** - p<0,01; * p<0,05; test Wilcoxona

**

n.i.

***

n.i.

n.i.

 

Ryc. 2. Ograniczenie sprawności ruchowej chorej kończyny zgodnie ze Zmodyfikowanym Kwestionariuszem 

Laitinena przed leczeniem i po leczeniu rehabilitacyjnym przez pacjentów po endoprotezoplastyce i ze zmianami 

zwyrodnieniowo-zniekształcającymi stawu biodrowego. 

 

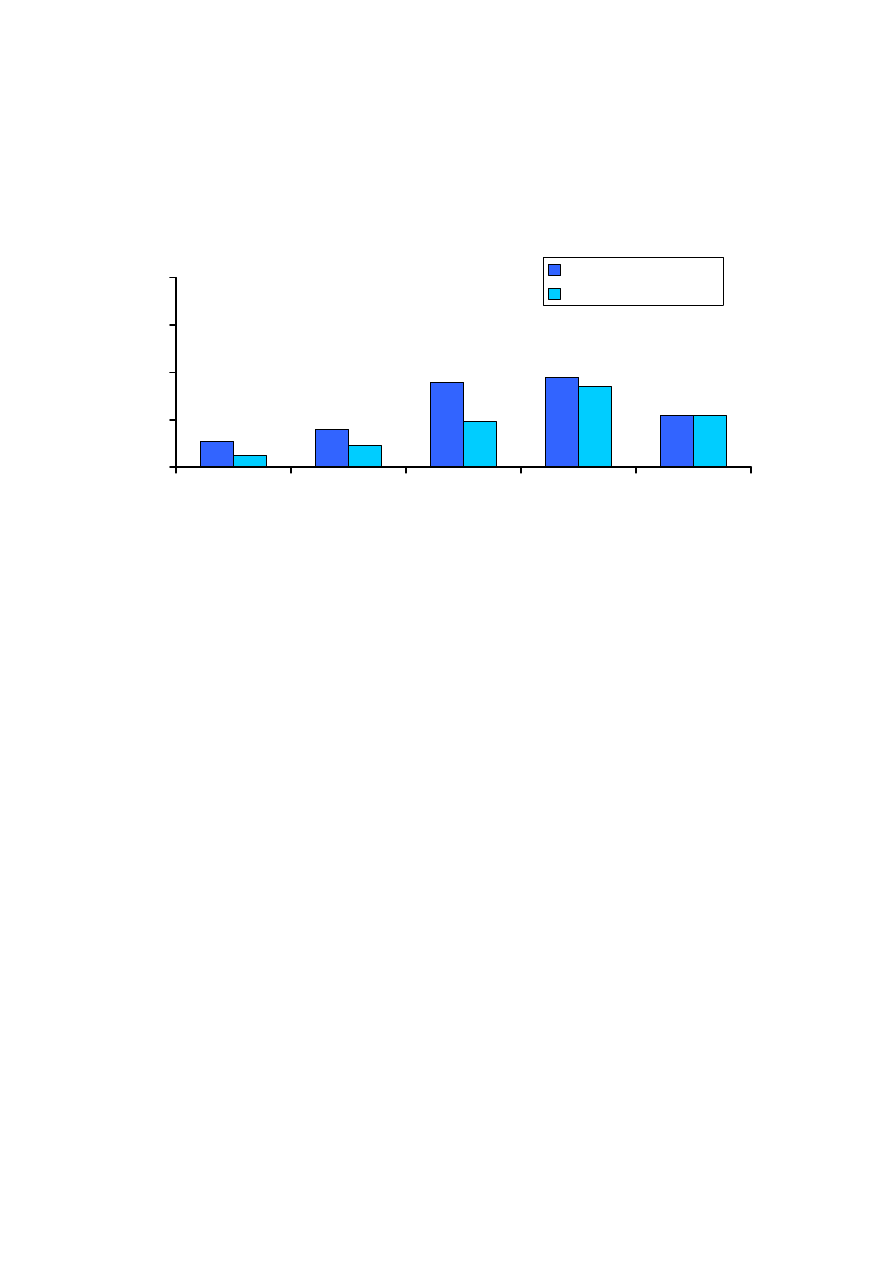
CZĘSTOTLIWOŚĆ WYSTĘPOWANIA BÓLU

0

1

2

3

4

E-B

E-R

Z-B

Z-R

GK

Badane grupy

Oc

ena (0 - 4) [-]

Przed rehabilitacją
Po rehabilitacji

**

*

***

*

n.i.

*** - p<0,001; ** - p<0,01; * p<0,05; test Wilcoxona

 

Ryc. 3. Częstotliwość występowania dolegliwości bólowych ocenianych zgodnie ze Zmodyfikowanym 

Kwestionariuszem Laitinena przed leczeniem i po leczeniu rehabilitacyjnym przez pacjentów po 

endoprotezoplastyce i ze zmianami zwyrodnieniowo-zniekształcającymi stawu biodrowego. 

background image

 

49

 
Częstotliwość występowania dolegliwości bólowych u pacjentów leczonych z powodu zmian 
zwyrodnieniowo zniekształcającymi i po endoprotezoplastyce stawu biodrowego została 
przedstawiona na rycinie 3. Zmiany istotne statystycznie wykazano we wszystkich grupach 
terapeutycznych. 

UŻYWANIE LEKÓW

0

1

2

3

4

E-B

E-R

Z-B

Z-R

GK

Badane grupy

O

ce

n

a (0

 - 4

) [-]

Przed rehabilitacją
Po rehabilitacji

*

*

***

n.i.

n.i.

*** - p<0,001; ** - p<0,01; * p<0,05; test Wilcoxona

 

Ryc. 4. Konieczność stosowania farmakoterapii ocenianych zgodnie ze Zmodyfikowanym Kwestionariuszem 

Laitinena przed leczeniem i po leczeniu rehabilitacyjnym przez pacjentów po endoprotezoplastyce i ze zmianami 

zwyrodnieniowo-zniekształcającymi stawu biodrowego. 

 
Na rycinie 4 przedstawiono konieczność stosowania leków przeciwbólowych i NLPZ, przed i 
po leczeniu, u leczonych pacjentów. Wykazano różnice znamienne statystycznie we 
wszystkich grupach leczonych oprócz grupy  pacjentów ze zmianami zwyrodnieniowo 
zniekształcającymi stawu biodrowego, u których nie stosowano kinezyterapii w basenie 
rehabilitacyjnym. 
 
Wnioski: 
1.  W badaniu wykazano pozytywne działanie kinezyterapii w basenie rehabilitacyjnym u 
pacjentów ze zmianami zwyrodnieniowymi i po endoprotezoplastyce stawu biodrowego. 
2.  U pacjentów ze zmianami zwyrodnieniowymi i po endoprotezoplastyce stawu biodrowego, u 
których stosowano ćwiczenia w basenie rehabilitacyjnym uzyskano statystycznie istotną poprawę 
w zakresie obniżenia i częstotliwości występowania bólu, ograniczenia sprawności ruchowej 
kończyny i konieczności stosowania farmakoterapii. 
 

Piśmiennictwo: 

1.  Altman R., Alarcon G., Appelrouth D., et, al. The American College of Rheumatology 

criteria for the classification and reporting of osteoarthritis of the hip. Arthitis Rheum 
1991; 34; 505-514 

2.  Brühl W.:Choroba zwyrodnieniowa stawów. PZWL; Warszawa 1970r 
3.  Cordes J.C.: Wskazania do hydroterapii - zastosowanie w praktyce. Rehabilitacja 

Medyczna 1999, Tom 3, Nr 1, 80-86 

background image

 

50

4.  Foley A., Halbert J., Hewitt T., Crotty M.: "Does hydrotherapy improve strength and 

physical function in patients with osteoarthritis - a randomised controlled trial 
comparing a gym based and a hydrotherapy based strengthening programme". Annals 
of the Rheumatic Diseases 2003; 62; 1162-1167 

5.  Kiwerski J. Rehabilitacja Medyczna PZWL; Warszawa 2005 
6.  Kopys J.: Rehabilitacja po alloplastyce totalnej stawu biodrowego. Chir.Narz.Ruchu 

1996; 61 supl. 4B, 31-32 

7.  Mika T.: Fizykoterapia, PZWL Warszawa 2003r 
 
 

 

 
 
 
 
 
 
 
 
 
 
 
 
 
 
 
 
 
 
 
 
 
 
 
 
 
 
 
 
 
 
 
 
 
 
 
 
 
 
 


Document Outline