LABORATORIUM UKŁADÓW ELEKTRONIKI
Temat: Wzmacniacz klasy C.
Punkt pracy znajduje się w zakresie odcięcia prądu elektrody wyjściowej. Nawet w układzie przeciwsobnym sygnał jest znacznie odkształcony. Klasa C stosowana jest tylko we wzmacniaczach mocy wielkiej częstotliwości.
Charakterystyka przejściowa tranzystora i punkt pracy w klasie C
Przy braku sygnału przez elementy nie płyną żadne prądy, dopiero wysterowanie powoduje impulsowy przepływ prądu. Optymalny kąt przepływu 2θ wynosi 120°-180°, praktycznie uzyskiwana sprawność ok. 80%, a więc większa niż w klasach A i B. W obwodzi wyjściowym wzmacniacza znajduje się obwód rezonansowy, uwydatniający sygnały o częstotliwości rezonansowej. Wzmacniacze takie maja zatem selektywne charakterystyki częstotliwościowe.
We wzmacniaczach małych mocy, rzędu dziesiątków watów, wykorzystuje się tranzystory wielkiej częstotliwości. We wzmacniaczach dużych mocy, powyżej setek watów, wykorzystuje się lampy elektronowe nadawcze, pracujące przy wysokich napięciach zasilania i dużych prądach anodowych.
Wzmacniacze mocy klasy C stosuje się np. w nadajnikach radiowych, powielaczach częstotliwości, urządzeniach grzejnych itp.
Trajektorią punktu pracy jest w rezonansowym wzmacniaczu mocy jest linia, która jest określona dynamiczną rezystancją obciążenia RL widzianą na zaciskach kolektora poprzez zestrojony obwód wejściowy. Chwilowe napięcia i prądy na wyjściu zmieniają się w fazie z dokładnością do 180° z chwilowymi napięciami i prądami sygnału na wejściu. Jest to stan pracy bezinercyjnej lub małoczęstotliwościowej . Dążność do dużego wykorzystania energetycznego przyrządu skłania do impulsowej pracy w klasie C. tranzystor przewodzi silnymi impulsami o czasie trwania krótszym od połowy okresu, a moc sygnału wyjściowego o częstotliwości podstawowej odbiera rezonansowe obciążenie RL. Spoczynkowy punkt pracy odbiera się poniżej progu przewodzenia złącza emiter-baza, najczęściej w zakresie 0V do +0,7V. Sygnał sterujący ulega zniekształceniu na nieliniowościach, które są opisane równaniami Ebersa-Molla. Zniekształcenie to zależy od wyboru spoczynkowego punktu pracy, amplitudy sygnału i prądowego lub napięciowego typu sterowania na wejściu. Analiza Fouriera impulsów prądowych umożliwia określenie zawartości harmonicznych w sygnale wyjściowym i jest podstawą małoczęstotliwościowej analizy pracy w klasie C.
Wyniki analizy służą do optymalnego wyboru kąta przewodzenia i określenia parametrów energetycznych wzmacniacza. Ze względu na maksymalna sprawność kąt ten powinien być możliwie najmniejszy. Wtedy jednak trzeba użyć głębokiej polaryzacji wstecznej i dużej amplitudy sygnału dla pełnego wykorzystania tranzystora, co przy niewielkim napięciu przebicia złącza emiter-baza (typowo 3-5V) grozi jego zniszczeniem. Swoboda wyboru kąta przepływu ogranicza się więc do płytkiej klasy C lub nawet B przy polaryzacji od 0V do +0,7V. Głęboka klasa C jest bądź nieefektywna, dając małe wzmocnienie, bądź też grozi zniszczeniem tranzystora, a stosowana jest tylko w powielaczach częstotliwości.
Idea pracy w klasie C jest zasadniczo ta sama niezależnie od rodzaju elementu aktywnego, który przewodząc impulsowo, działa jak klucz okresowo dostarczający energię do podtrzymywania drgań w obwodzie rezonansowym na wyjściu. W obszarze pracy aktywnej przyrządu różnice między lampą a tranzystorem są zasadniczo niewielkie i ograniczają się do:
różnic poziomów napięć na wejściu - kilka do kilkudziesięciu woltów napięcia siatki w lampie i kilka woltów (maksymalnie) na wejściu dla tranzystora
różnic przesunięć charakterystyk wejściowych względem początku układu współrzędnych
różnic w stopniach nieliniowości, które i tak często pomija się, przyjmując przybliżenie liniowości charakterystyki wejściowej.
Istotne rozbieżności pojawiają się dopiero przy poziomach wysterowania przekraczających zakres aktywnej pracy przyrządu. Kres górny przewodzenia lampy wyznacza pojawienie się prądu siatki i odkształcenie wierzchołka impulsu. Odpowiednio dla tranzystora ograniczeniem jest nasycenie, lecz odkształcenie impulsu prądu kolektora jest zasadniczo różne.
Tranzystor w klasie C ma impedancję wejściową ok. kilku do kilkunastu Ω i wymaga większej mocy sygnału sterującego.
Szacunkowej oceny liniowości dokonuje się drogą określenia poprawnego wysterowania wzmacniacza w zakresie kompresji wzmocnienia o 1dB. Punkt ograniczający od góry wynika z nasycenia tranzystora, a dolny - z progu wysterowania, który zawsze istnieje w klasie C przy zbyt małych amplitudach sygnału. Rozpiętość punktów kompresji wzmocnienia o 1dB nazywa się dynamiką, która dla wzmacniaczy mocy przekracza zwykle 15dB (dynamik wzmacniaczy klasy A może osiągnąć co najmniej kilkadziesiąt dB).
Praca wzmacniacza w tak określonym zakresie amplitud jest jednak z natury nieliniowa, a wobec dużych wymagań dla jakości sygnałów telekomunikacyjnych stosuje się testy określające ilościowo zjawiska intermodulacji i zawartość harmonicznych. Typowe testy liniowości wzmacniacza polegają na badaniu widma sygnału składającego się z dwóch prążków odległych o 1-2kHz, które po wzmocnieniu ulegają zniekształceniom dającym widmo bogatsze o produkty intermodulacyjne. Nowo powstałe prążki z reguły powinny mieć amplitudę co najmniej o 30dB mniejszą od sygnału właściwego. Podobnie, zawartość drugiej harmonicznej poniżej 20dB a trzeciej - 30dB, uważa się za dopuszczalną, zależnie od zastosowań systemu. Z tego względu stosowanie pracy w płytkiej klasie C jest korzystne.
W typowych układach wzmacniaczy klasy C korzysta się częściej z konfiguracji WE przyrządu, ponieważ jest ona stabilniejsza w warunkach wielkosygnałowej pracy w.cz. aniżeli konfiguracja WB, którą z reguły stosuje się do celów generacyjnych. Tranzystory do wzmacniaczy mocy mają obudowy przeznaczone do uziemienia emitera. Tranzystory używane w zakresie powyżej 100MHz maja końcówki emitera w postaci szerokich pasków ułatwiających bezindukcyjne połączenie ich z masą. Ponieważ istnienie jakichkolwiek reaktancji we wspólnej elektrodzie przyrządu może objawiać się jego skłonnością do niestabilnej pracy, unika się stosowania stabilizujących rezystancji emiterowych blokowanych pojemnościowo do masy.
Układ wzmacniacza powinien spełniać dwie podstawowe funkcje:
doprowadzić zasilanie przyrządu odpowiednie dla jego rodzaju pracy
zapewnić maksymalne wykorzystanie energetyczne sygnału sterującego na wejściu i odbiór mocy przez obciążenie na wyjściu.
Przykłady układów zasilania i ustalania punktu pracy w klasie C.
Wstępny punkt pracy ustala się zewnętrznym źródłem lub obwodem autopolaryzacji, a najczęściej zwarciem bazy do masy dla prądu stałego. Brak polaryzacji złącza EB jest wystarczający do uzyskania pracy w klasie C. Separację zasiania od toru w.cz. uzyskuje się, wprowadzając dławiki rezonansowe o impedancji dynamicznej znacznie większej od impedancji tranzystora, lecz nie przekraczającej kilku kΩ, gdyż grozi to ewentualnością wzbudzenia się wzmacniacza na małych częstotliwościach.
Drugą funkcje spełniają obwody w.cz. wzmacniacza, od których wymaga się, aby realizowały obustronne dopasowanie tranzystora przy zachowaniu żądanego pasma i zadowalającej filtracji harmonicznych. Aczkolwiek o dopasowaniu ma świadczyć maksimum mocy uzyskiwanej w obciążeniu, jest ono stanem różnym od typowego dopasowania energetycznego.
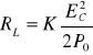
Dopasowanie wzmacniacza klasy C odbywa się nie według impedancji wyjściowej tranzystora, ale według impedancji pożądanej ze względu na maksimum transmisji mocy do obciążenia. Impedancję taką nazywana wielkosygnałową impedancją wyjściową należy rozumieć jako optymalną impedancje obciążenia, a określa się ją zależnie od wymaganej dokładności jednym z poniższych sposobów. Pierwszy z nich nie ma nic wspólnego z charakterystykami i nieliniowościami tranzystora, a opiera się jedynie na jego maksymalnych ograniczeniach prądowo-napięciowych. impedancję RL określa zależność:

gdzie:
EC - napięcie zasilania
P0 - wymagana moc na wyjściu
K - współczynnik równy 1 dla klasy B oraz 0,8 dla klasy C
Zakłada się przy tym, że tranzystor pracuje bezinercyjnie oraz że wysterowanie przyrządu jest maksymalne, a napięcie nasycenia równe zeru. Dla zbliżenia takiego oszacowania do rzeczywistości uwzględnia się jeszcze pojemność wyjściową, jaką ma tranzystor przy pełnym napięciu zasilania. Pojemność ta, przyłączona równoległa do RL, tworzy sprzężoną reprezentację dwójnikowa impedancji, do której należy dopasować się obwodem wyjściowym. W większości przypadków okazuje się wystarczające przyjęcie przybliżenia RL według tego wzoru oraz impedancji wejściowej tranzystora jako rbb. powstałe w konsekwencji rozbieżności z optimum rzeczywistym ulegają korekcji podczas strojenia wzmacniacza droga eksperymentalną.
Trajektoria chwilowego punktu pracy tranzystora w klasie C zbliżona jest do elipsy lub okręgu, co jest rezultatem złożenia dwóch prawie sinusoidalnych przebiegów napięcia uce i prądu ic. A więc jakościowe różnice między klasą A i C są większe dla pracy małoczęstotliwościowej niż w zakresie w.cz. Wynika to z bezwładności tranzystora i dużej reaktancji złącza kolektorowego. W obszarze odcięcia, gdy prąd ic nie powinien płynąć przez tranzystor, pojawia się duża składowa płynąca przez pojemność statyczną złącza. Impulsowy charakter pracy tranzystora pozornie zanika, a główna różnica w stosunku do klasy A leży w dwukrotnie większych amplitudach prądu i napięcia na wyjściu. Ten sposób interpretacji tłumaczy również małe sprawności tranzystorowych wzmacniaczy mocy w.cz. (która jest mniejsza od 50%) dla częstotliwości bliskich fT. Ze wzrostem częstotliwości pracy zanika specyfika odmiennego charakteru dopasowania w klasie C.
Szkodliwą we wzmacniaczach klasy C zawartość harmonicznych wykorzystuje się do powielania częstotliwości. Ponieważ skład widma prądu kolektora zależy od kąta przewodzenia 2θ, jest możliwa optymalizacja powielania ze względu na maksimum mocy n-tej harmonicznej, czyli na maksimum sprawności powielania.
Tranzystor mocy w powielaczu spełnia trzy funkcje:
bierne tworzenie składowych harmonicznych na wejściu przez odcięcie części sinusoidy sygnału
aktywna praca przez wzmocnienie tych harmonicznych
spełnia rolę reaktancyjnego powielacza biernego, który można utworzyć dzięki nieliniowej pojemności na wyjściu, pracującej jako dobry waraktor.
Powielanie waraktorowe może być zjawiskiem wspomagającym właściwe powielanie w klasie C, gdy częstotliwość wyjściowa leży poniżej fmax tranzystora pracującego aktywnie lub też może być powielaniem zasadniczym, gdy harmoniczna wyjściowa leży powyżej fmax. Tranzystor pracuje wówczas jako wzmacniacz dostarczając powielaczowi waraktorowemu sygnał podstawowy o dużej amplitudzie. Możliwa jest więc praca tranzystora z powielaniem powyżej jego aktywnego zakresu częstotliwości.
Schemat ideowy powielacza tranzystorowego
UBE
IC
Q