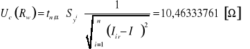
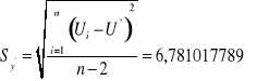
II. OBLICZENIA I WYZNACZANIE NIEPEWNOŚCI POMIARU
I |
U |
|
|
1,5 |
9,92 |
14,88 |
2,25 |
1,7 |
9,82 |
16,694 |
2,89 |
1,9 |
9,75 |
18,525 |
3,61 |
2,1 |
9,69 |
20,349 |
4,41 |
2,3 |
9,63 |
22,149 |
5,29 |
2,5 |
9,56 |
23,9 |
6,25 |
2,7 |
9,5 |
25,65 |
7,29 |
2,9 |
9,45 |
27,405 |
8,41 |
|
|
|
|
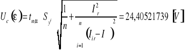
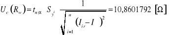
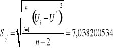
1) Natężenia rosnące


Regresja liniowa
![]()
![]()


gdzie:
![]()
- współczynnik rozszerzenia
|
|
11,91833334 |
-1,998333335 |
11,8902381 |
-2,070238097 |
11,86214286 |
-2,112142859 |
11,83404762 |
-2,144047621 |
11,80595238 |
-2,175952383 |
11,77785715 |
-2,217857145 |
11,74976191 |
-2,249761907 |
11,72166667 |
-2,271666669 |
|
-17,24000002 |
|
297,2176006 |

![]()
- punkty wyznaczone w oparciu o równania prostych regresji
2) Natężenia malejące
I |
U |
|
|
2,9 |
9,49 |
27,521 |
8,41 |
2,7 |
9,54 |
25,758 |
7,29 |
2,5 |
9,58 |
23,95 |
6,25 |
2,3 |
9,64 |
22,172 |
5,29 |
2,1 |
9,7 |
20,37 |
4,41 |
1,9 |
9,76 |
18,544 |
3,61 |
1,7 |
9,81 |
16,677 |
2,89 |
1,5 |
9,87 |
14,805 |
2,25 |
|
|
|
|


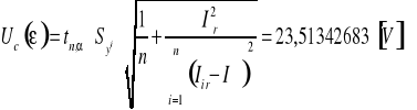
Regresja liniowa
![]()
![]()


gdzie:
![]()
- współczynnik rozszerzenia
|
|
11,69417219 |
-2,20417219 |
11,71012419 |
-2,17012419 |
11,72607619 |
-2,14607619 |
11,74202819 |
-2,10202819 |
11,75798019 |
-2,05798019 |
11,77393219 |
-2,01393219 |
11,78988419 |
-1,97988419 |
11,80583619 |
-1,93583619 |
|
-16,6100335 |
|
275,8932135 |

![]()
- punkty wyznaczone w oparciu o równania prostych regresji