SPRAWOZDANIE
ELEMENTY PÓŁPRZEWODNIKOWE
ĆW 8: POMIAR DIODY ZE ZŁĄCZEM PN
DATA WYKONANIA WICZENIA: 29.11.2006
DATA ODDANIA SPRAWOZDANIA: 13.12.2006
Wykonali:
Sylwester Mielewczyk
Piotr Olszewski
1 Wyznaczanie wartości elementów L oraz CS.
1.1 CS wyznaczamy przy pomocy wzoru:

gdzie:
fr=442,5 kHz gdy C2=100pF,
f1=283,44 kHz gdy C1=0
Obliczenia :

1.2 Indukcyjność cewki L wyliczamy z następującej zależności:
![]()
Korzystając z wartości Cs obliczonej powyżej oraz ze zmierzonej częstotliwości fr
można obliczy wartość indukcyjności cewki L.
![]()
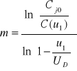
2 Wyznaczanie wartości wykładnika potęgowego m dla zmierzonych
elementów:
Wartości wykładników potęgowych m dla badanych elementów wyznaczaliśmy na podstawie wzoru:

W obliczeniach przyjęliśmy, że wartość napięcia dyfuzyjnego wynosi UD=0,7 V,
natomiast wartość pojemności Cj0 odpowiada napięciu u=0. Wartość napięcia u1
przyjmowana do obliczeń to u1 -2 V.
2.1 Obliczanie wykładników potęgowych m dla poszczególnych elementów:
Przykładowe obliczenia:
Dioda D01-10-02:
Cj0 = 0,239 pF , u1= -2 V , C(u1) = 0,165 pF

|
Cj0
|
u1
|
C(u1)
|
m
|
|
[pF]
|
[V]
|
[pF]
|
[-]
|
D01-10-02 |
0,239 |
-2 |
0,165 |
0,096 |
IRL-530-A |
0,734 |
-2 |
2,407 |
-0,307 |
BC-211 |
92,83 nF |
-2 |
83,75 nF |
0,027 |
2.2 Wnioski.
Wyznaczony parametr m dla mierzonych elementów jest bliskie wartości 0,5. W jednym
przypadkach dla tranzystora IRL 530-A m jest ujemne co świadczy o tym, i
prawdopodobnie użyty wzór jest błędny dla tego tranzystora. Tranzystor IRL 530 to
tranzystor typu MOS, a w tranzystorze MOS zależność pojemności od napięcia nie jest
analogiczna jak dla diody PN i do jej wyznaczenia nie można posłużyć się stosowanym
wcześniej wzorem. Tranzystory te nie posiadaj pojemności złączowej.
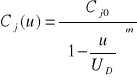
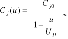
3 Wyznaczanie charakterystyk C(u) w zakresie zaporowym
pomierzonych elementów oraz wyznaczanie tych charakterystyk
na podstawie wartości parametrów modelu C(u).
Charakterystyki C(u) w zakresie zaporowym zmierzonych elementów, wynikające z
pomiarów wyznaczyliśmy na podstawie zależności:
![]()
gdzie:
CS=69 pF
L=1,9 mH
Natomiast charakterystyki C(u) zmierzonych elementów, wynikające z obliczeń
wyznaczyliśmy na podstawie zależności:

gdzie:
UD=0,7[V]
m - parametr wyznaczony dla elementów w punkcie drugim sprawozdania
Cj0 - pojemność przy, której wartość napięcia wynosi zero.
Przykładowe obliczenia dla diody D01-10-02:
Dane: u=2,51V, f=293,5kHz
![]()
= ![]()
=154,85 nF

= 
= 0.206 F ????????????
Poniżej zostały przedstawione wyniki oblicze wykonanych na podstawie powyższych
wzorów oraz porównanie charakterystyki C(u) uzyskanej na podstawie pomiaru i
wyznaczonej przy pomocy parametrów modelu C(u) dla poszczególnych elementów.
D01-10-02:
f [kHz] |
U [V] |
C zmierzone(u) [nF] |
C obliczone(u) [nF] |
236,1 |
0 |
0,23940 |
0,23940 |
284 |
1,53 |
0,16545 |
0,16477 |
293,5 |
2,51 |
0,15492 |
0,14651 |
298.5 |
3,23 |
0,14977 |
0,13726 |
305,5 |
4,51 |
0,14299 |
0,12533 |
311,94 |
6,1 |
0,13714 |
0,11502 |
318,57 |
8,21 |
0,13149 |
0,10542 |
323,16 |
10 |
0,12778 |
0,09937 |
326,58 |
11,53 |
0,12512 |
0,09518 |
Komentarz:
Na wykresie przedstawiającym charakterystyki C(u) zmierzoną i obliczoną dla diody D01-10-02 wystąpiły nieznaczne rozbieżności od charakterystyki zmierzonej. Podczas dokonywania pomiarów przy wzroście napięcia obserwowaliśmy wzrost częstotliwości.
IRL-530-A:
f [kHz] |
U [V] |
C zmierzone(u) [pF] |
C obliczone(u) [pF] |
134,8 |
0 |
0,734425 |
- |
117,25 |
1,09 |
0,970737 |
- |
87,43 |
1,37 |
1,74585 |
- |
76,79 |
1,72 |
2,26317 |
- |
75,2 |
2,21 |
2,35989 |
- |
74,86 |
2,53 |
2,38137 |
- |
74,46 |
3,23 |
2,40703 |
- |
74,14 |
4,61 |
2,42785 |
- |
73,97 |
6,03 |
2,43902 |
- |
73,85 |
8,18 |
2,44696 |
- |
73,78 |
10,07 |
2,4516 |
- |
Komentarz:
Na wykresie i w tabeli można zaobserwować, że nie została obliczona charakterystyka diody C(u). Wartość wykładnika m (niezbędnego do obliczenia ch-ki C(u)) dla tranzystora IRL 530A wyszła ujemna, co jest sprzeczne z teorią. Stwierdziliśmy (w punkcie 2 sprawozdania) że jest to tranzystor typu nMOS. Tranzystor nMOS nie posiada pojemności złączowej, dlatego też nie obliczono ch-ki C(u) i tym samym nie widnieje ona na wykresie.
Na charakterystyce zmierzonej widnieją pewne odchylenia, można przez to stwierdzić że nie wszystkie pomiary zostały dokładnie wykonane.
BC-211:
f [kHz] |
U [V] |
C zmierzone(u) [nF] |
C obliczone(u) [nF] |
379,14 |
0 |
92,8385 |
92,8385 |
389,25 |
0,89 |
88,0785 |
88,4389 |
394,59 |
1,77 |
85,7107 |
86,1635 |
395,62 |
2,1 |
85,2650 |
85,5264 |
399,17 |
3,2 |
83,7551 |
83,8657 |
400,57 |
3,7 |
83,1707 |
83,2692 |
występuje przebicie |
- |
- |
- |
|
- |
- |
- |
|
- |
- |
- |
|
- |
- |
- |
|
- |
- |
- |
Komentarz:
Na powyższym wykresie nie wystąpiły rozbieżności charakterystyk obliczonej i zmierzonej.
3.1 Wnioski
Różnice w charakterystykach pomierzonych i charakterystykach obliczonych mogą
wynika z uproszczenia jakim jest przyjęcie we wzorze na współczynnik m wartości
UD=0,7[V], w rzeczywistości warto wahać może się w przedziale 0,6-0,8 [V]. Inną
przyczyn mogą być przyjęte uproszczenia związane z wartością u1=-2 [V]. Wartości
pojemności są rzędu [pF] więc nawet małe niedokładności przy odczycie napięcia lub częstotliwości mogą wpłynąć na obliczone wartości pojemności.