DRUGA I TRZECIA ZASADA TERMODYNAMIKI ; WARUNKI SAMORZUTNOŚCI PROCESÓW
Z pierwszej zasady termodynamiki wiemy między innymi, że możliwa jest zamiana ciepła na pracę. Ale czy całe ciepło można zamienić na pracę ? Na to pytanie odpowiada druga zasada termodynamiki, która określa warunki, w jakich może dojść do zamiany ciepła na pracę. Zasada ta pozwala przewidzieć, czy proces może zachodzić samorzutnie i w jakich warunkach.
Proces samorzutny
Proces niesamorzutny (wymuszony)
Jak wiemy, woda płynie sama z góry na dół czyli samorzutnie. W strumieniu płynącej wody możemy umieścić turbinę, która zacznie się obracać i wówczas energia płynącej wody zostanie zamieniona na pracę mechaniczną. Natomiast woda nie popłynie sama z siebie w przeciwnym kierunku czyli z dołu do góry. Musimy ją pompować czyli wykonać pewną pracę, aby popłynęła w wymaganym kierunku.
Wszystkie procesy zachodzące w przyrodzie są procesami samorzutnymi. Należy dodać, że każdy proces zachodzący w sposób samorzutny jest procesem nieodwracalnym. Procesy naturalne prowadzą w sposób samorzutny do osiągnięcia stanu równowagi termodynamicznej w układzie i równowagi pomiędzy układem a otoczeniem, są więc samorzutne. Z kolei procesy nienaturalne oddalają układ od stanu równowagi, a więc nie mogą przebiegać w sposób samorzutny, są więc niesamorzutne. Natomiast procesy odwracalne są granicznymi pomiędzy procesem naturalnym i nienaturalnym, są ciągiem kolejnych stanów równowagi i mogą przebiegać w dowolnym kierunku.
Druga zasada termodynamiki jest formułowana słownie w rozmaity sposób.
Sformułowanie Kelvina
Sformułowanie Clausiusa
Jeszcze inne sformułowanie
Na pierwszy rzut oka każde z tych sformułowań mówi o czymś innym i trudno zobaczyć jakiś ich wspólny mianownik. Ponadto ponieważ są to sformułowania tylko słowne, nie dają podstawy do jakiegokolwiek matematycznego opisu. Aby sformułować drugą zasadę w postaci matematycznej musimy się przyjrzeć maszynom cieplnym, a dokładniej silnikowi cieplnemu, który zamienia ciepło na pracę. Prostym modelem silnika cieplnego jest cykl Carnota.

Rysunek 1. Cykl Carnota.
W cyklu tym pewna ilość gazu doskonałego jest poddawana czterem kolejnym przemianom:
Od punktu 1 do 2 - rozprężanie izotermiczne w temperaturze T1. W przemianie tej gaz pobiera z otoczenia ciepło q1.
Od punktu 2 do 3 - rozprężanie adiabatyczne, w którym temperatura gazu spada od T1 do T2. W przemianie tej nie ma wymiany ciepła z otoczeniem.
Od punktu 3 do 4 - sprężanie izotermiczne w temperaturze T2. W przemianie tej gaz oddaje do otoczenia ciepło q2.
Od punktu 4 do 1 - sprężanie adiabatyczne, w którym temperatura gazu roście od T2 do T1. W przemianie tej nie ma wymiany ciepła z otoczeniem.
Miarą pracy wykonanej w tym cyklu jest na rysunku pole zawarte pomiędzy zielonymi liniami. Praca ta jest sumą ciepeł wymienionych z otoczeniem (pamiętajmy, że ciepło oddane do otoczenia ma wartość ujemną).
![]()
Widzimy już, że w procesie cyklicznym tylko część ciepła q1 pobieranego z otoczenia jest zamieniana na pracę. Wydajność cyklu (silnika cieplnego) jest stosunkiem pracy wykonanej (jej wartości bezwzględnej)w całym cyklu do ciepła pobranego z ogrzewacza.

Można wykazać, że jeśli wszystkie przemiany prowadzone są w sposób odwracalny, to wydajność silnika cieplnego zależy tylko od temperatur ogrzewacza i chłodnicy (rysunek 2).

Widzimy więc, że nigdy całe ciepło pobierane z otoczenia nie może być zamienione na pracę. Możliwe byłoby to, gdyby temperatura chłodnicy była równa 0 K, a jak wiadomo takiej temperatury nie można osiągnąć. Pokazaliśmy więc na przykładzie słuszność sformułowania drugiej zasady podanej przez Kelvina.
Rysunek 2. Schemat silnika cieplnego.
Wydajność silnika cieplnego rzeczywistego, w którym przemiany gazu nie zachodzą w sposób odwracalny, jest mniejsza niż pracującego w sposób odwracalny.

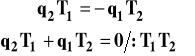
Pracę wykonaną w cyklu można wyrazić jako :

Wobec tego dla silnika pracującego w sposób odwracalny możemy napisać, że :


I ostatecznie otrzymujemy bardzo istotny wniosek :

Natomiast dla silnika pracującego w sposób nieodwracalny możemy napisać, że :

I przekształcając jak uprzednio, otrzymujemy :

Widzimy więc, że suma stosunków ciepła do temperatury, w której zostało wymienione, jest miarą tego, czy cykl został wykonany w sposób odwracalny czy nie.
Możemy odwrócić kierunek przemian w cyklu Carnota i wykonywać je w kolejności od punktu 1 do 4, 4 do 3 itd (rysunek 1). Otrzymamy wówczas maszynę cieplną będącą lodówką lub pompą cieplną (rysunek 3), w której poprzez wkład pracy z zewnątrz ciepło przepływa od ciała o temperaturze niższej do ciała o temperaturze wyższej. Mamy więc do czynienia z procesem wymuszonym - niesamorzutnym.
Rysunek 3. Schemat lodówki albo pompy cieplnej.
Widzimy tu związek ze sformułowaniem drugiej zasady przez Clausiusa. Aby ciepło przepłynęło od ciała o temperaturze niższej do ciała o temperaturze wyższej musi być wkład pracy z zewnątrz. Taki przepływ ciepła nie może zaistnieć samoistnie.
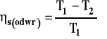
Wydajność lodówki pracującej w sposób odwracalny wyraża się wzorem :

a pompy cieplnej :

Można wykazać, że podobnie jak w przypadku silnika, w cyklu wykonanym odwracanie

a w cyklu wykonanym w sposób nieodwracalny :

Natomiast nigdy suma q/T, nie może być większa od zera.
Dowolny cykl termodynamiczny można podzielić na szereg elementarnych przemian izotermicznych i adiabatycznych (rysunek 4), gdzie w każdej przemianie izotermicznej wymieniane jest ciepło elementarne (nieskończenie małe), a w przemianie adiabatycznej brak jest wymiany ciepła z otoczeniem. Dzielimy jakby cykl na szereg nieskończenie małych (elementarnych) cykli Carnota czyli dokonujemy tak zwanej karnotyzacji cyklu.
Rysunek 4. Karnotyzacja dowolnego cyklu.
Jeśli cykl wykonywany jest w sposób odwracalny, to suma ilorazów ciepeł elementarnych podzielonych przez temperaturę wynosi zero.

A jeśli cykl jest nieodwracalny, to ta suma jest mniejsza od zera.

Wobec tego :

Widzimy więc, że suma ilorazów ciepeł elementarnych i temperatury, w której zostały wymienione, może być dogodną miarą odwracalności lub nieodwracalności procesów, a że proces nieodwracalny jest samorzutny, to może być też miarą samorzutności. Te wnioski dały podstawę do definicji nowej funkcji termodynamicznej zwanej entropią. Funkcję tę oznaczamy literą S i definiujemy poprzez jej różniczkę.
Entropia

Entropia jest funkcją stanu czyli posiada następujące własności :
Zmiana entropii w jakimś procesie nie zależy od drogi tego procesu, a jedynie od stanu początkowego i końcowego.
![]()
W procesie cyklicznym (gdy stan końcowy i początkowy są takie same) jej zmiana wynosi zero.
![]()
Różniczka entropii jest różniczką zupełną.
Entropia jest wielkością ekstensywną i jej wielkość zależy od masy (ilości) układu. Można też zdefiniować entropię molową czyli jej ilość przypadającą na 1 mol materii, oznaczaną symbolem Sm. Ta ostania wielkość jest oczywiście wielkością intensywną.
Możemy teraz sformułować drugą zasadę termodynamiki w sposób matematyczny.
Matematyczne sformułowanie drugiej zasady termodynamiki

Gdy ![]()
, proces zachodzący w układzie jest samorzutny, nieodwracalny.
Gdy ![]()
, w układzie istnieje stan równowagi termodynamicznej, zachodzi proces odwracalny.
Gdy ![]()
, proces nie może zajść samorzutnie w określonym kierunku, czyli jest procesem wymuszonym, niesamorzutnym, nienaturalnym. Samorzutnie zachodziłby w przeciwnym kierunku.
Można też sformułować i zapisać drugą zasadę termodynamiki w nieco inny sposób. Jeśli układ wymienia z otoczeniem jakąś ilość ciepła dq, to patrząc ze strony otoczenia, jego wymiana ciepła wynosi -dq. Wobec tego różniczka entropii otoczenia wyrazi się jako :
![]()
![]()
Otrzymujemy w ten sposób nierówność Clausiusa :

Nierówność ta opisuje zmianę entropii samego układu.
Gdy 
, proces zachodzący w układzie jest samorzutny, nieodwracalny.
Gdy 
, w układzie istnieje stan równowagi termodynamicznej, zachodzi proces odwracalny.
Gdy 
, proces nie może zajść samorzutnie w określonym kierunku, czyli jest procesem wymuszonym, niesamorzutnym, nienaturalnym. Samorzutnie zachodziłby w przeciwnym kierunku.
Z pierwszej zasady termodynamiki możemy różniczkę ciepła wyrazić korzystając z energii wewnętrznej :

lub korzystając z zapisu przy użyciu entalpii :

Podstawiając wyrażenia opisujące różniczkę ciepła do nierówności Clausiusa otrzymujemy nierówności będące łącznym zapisem pierwszej i drugiej zasady termodynamiki.

Nierówności te są podstawą dla równań pozwalających obliczać zmiany entropii w rozmaitych procesach, jak i do dyskusji warunków samorzutności procesów, czym zajmiemy się nieco później. Jeśli założymy, że brak jest pracy nieobjętościowej i proces zachodzi w sposób odwracalny, to :

Zmianę entropii obliczamy całkując te wyrażenia od stanu początkowego do końcowego.

Molekularna interpretacja entropii
Entropia jest miarą uporządkowania układu. W miarę wzrostu nieuporządkowania układu entropia rośnie. Co to oznacza ? Patrzymy teraz na układ jako na zbiór cząsteczek i na ich uporządkowanie czyli rozmieszczenie rozmaitych cząsteczek, ich szybkości i energie kinetyczne. Wyjaśnijmy to sobie na dwu przykładach.
1. Mieszanie izotermiczno- izobaryczne gazów doskonałych
Wyobraźmy sobie dwa gazy doskonałe A i B znajdujące się w naczyniu rozdzielonym przegrodą. Gazy te mają tę samą temperaturę i są pod tym samym ciśnieniem. Układ ten jest w określony sposób uporządkowany. Gdy usuniemy przegrodę, gazy te w sposób samorzutny wymieszają się, przy czym temperatura i ciśnienie nie zmienią się. Powstanie układ, w którym panuje pewnego rodzaju bałagan, bo cząsteczki gazów A i B są równomiernie wymieszane.
Rysunek 5. Mieszanie izotermiczno-izobaryczne gazów.
W procesie tym nie ma żadnej wymiany ciepła z otoczeniem, a więc zmiana entropii jest tylko zmianą entropii układu. Można wykazać, że zmiana entropii wynosi :
![]()
gdzie : xA - ułamek molowy gazu A w mieszaninie xB - ułamek molowy gazu B w mieszaninie
Ponieważ ułamki molowe są mniejsze od jedności, a ich logarytmy ujemne, to zmiana entropii w tym procesie jest dodatnia.
![]()
Czyli widzimy, że proces samorzutny prowadzi od stanu bardziej uporządkowanego do mniej uporządkowanego i towarzyszy temu wzrost entropii. Natomiast proces odwrotny czyli rozdzielenie się gazów nie może zajść w sposób samorzutny, sam z siebie. Zmiana entropii w procesie odwrotnym do mieszania miałaby wartość ujemną. Czyli samorzutne uporządkowanie układu jest niemożliwe.
2. Wyrównywanie temperatury w układzie adiabatycznym
Wyobraźmy sobie układ składający się z dwu części, zawierających tę samą substancję, przy czym w jednej części panuje temperatura T1 (niższa), w drugiej T2 (wyższa). Układ nie wymienia ciepła z otoczeniem (jest adiabatyczny). Obie części układu przedzielone są przegrodą diatermiczną, pozwalającą na swobodny przepływ ciepła. Po pewnym czasie temperatura w obu częściach tego układu wyrówna się. Stan początkowy jest w pewien sposób uporządkowany. Mamy rozdzielone cząsteczki o małej prędkości i małej energii kinetycznej po jednej stronie przegrody i o dużej po drugiej stronie. Po wyrównaniu się temperatury w obu częściach osiągamy stan, w który energie cząsteczek są uśrednione, o mniejszym stopniu uporządkowania. Proces wyrównywania się temperatur zachodzi oczywiście w sposób samorzutny. Można wykazać, że w toku wyrównywania się temperatur entropia tego układu wzrasta. Oczywistym jest, że proces odwrotny, czyli rozdzielenie się cząsteczek na te o dużej energii po jednej stronie i o małej po drugiej, jest niemożliwy. To tak, jakby nagle woda w szklance na górze stała się gorąca, a zimna na dole, sama z siebie. Zmiana entropii w takim procesie miałaby znak ujemny.
Rysunek 6. Wyrównywanie temperatur w układzie adiabatycznym (natężenie czerwonego koloru odpowiada energii cząsteczek).
Widzimy znowu, że proces znoszący uporządkowanie jest samorzutny i towarzyszy temu wzrost entropii, a proces prowadzący do uporządkowania jest niemożliwy i związany jest ze spadkiem entropii.
Powtórzmy sobie jeszcze raz. Entropia jest miarą uporządkowania układu i w toku procesu samorzutnego wzrasta.
Rysunek 7. Związek entropii i uporządkowania układu.
Przedstawione stwierdzenie jest w zasadzie słuszne dla układów izolowanych. W układach otwartych wymieniających masę i energię z otoczeniem procesy prowadzące do uporządkowania układu są możliwe. Takie procesy zachodzą w układach biologicznych. Jednak spadek entropii może następować tylko lokalnie, podczas gdy entropia całego wszechświata rośnie.
Teoremat cieplny Nernsta
![]()
Z teorematu tego wynika niemożność osiągnięcia temperatury zera bezwzględnego (0 K). Wyobraźmy sobie, że ochładzamy układ dokonując kolejno przemian izotermicznych i adiabatycznych pomiędzy dwoma stanami i tego układu, jak to pokazano na rysunku 8.
Rysunek 8. Ochładzanie układu przez kolejne przemiany izotermiczne i adiabatyczne.
Gdy dążymy do temperatury 0 K, liczba przemian wzrasta do nieskończoności, gdyż linie ilustrujące stan i zbiegają się dla T = 0 K. Czyli nie można osiągnąć tej temperatury.
Trzecia zasada termodynamiki
Trzeba tu wyjaśnić dodatkowo, co rozumiemy jako kryształ idealny. Kryształ idealny zbudowany jest z jednego izotopu danego pierwiastka, nie posiada żadnych zakłóceń sieci krystalicznej, ani nie występują w nim wiązania wodorowe. W temperaturze 0 K atomy i cząsteczki składające się na taki kryształ są nieruchome. W tych warunkach kryształ idealny (doskonały) tworzy doskonale uporządkowaną strukturę. Takiemu kryształowi w temperaturze 0 K przypisujemy entropię równą zero.
![]()
W zasadzie kryształ idealny nie istnieje w rzeczywistości. Zawsze mamy do czynienia z mieszaninami naturalnych izotopów danego pierwiastka, co daje pewną entropię resztkową w temperaturze zera bezwzględnego. Ponieważ jednak naturalny skład izotopowy utrzymuje się praktycznie stały w reakcjach chemicznych i przemianach fizykochemicznych, to ta resztkowa entropia nie odgrywa roli.
Wnioski z trzeciej zasady termodynamiki
Weźmy pod uwagę 1 mol związku i obliczmy zmianę entropii podczas ogrzewania go pod stałym ciśnieniem od temperatury 0 K do wybranej temperatury T. Zmiana entropii w tym procesie będzie różnicą entropii w temperaturze T i entropii w temperaturze 0 K. Na mocy trzeciej zasady termodynamiki, możemy przyjąć, że ta ostania wynosi zero.

Wobec tego możemy określić bezwzględną wartość entropii molowej substancji. Gdy obliczenia prowadzone są dla ciśnienia standardowego uzyskujemy standardowe entropie molowe. Standardową entropię molową oznaczamy (w nawiasie podana jest jej jednostka) :
![]()
Zauważmy, że przed symbolem molowej entropii standardowej związku nie ma symbolu przyrostu , gdyż jest to wielkość absolutna.
Rysunek 9. Sposób wyznaczania standardowej entropii molowej.
Aby wyznaczyć standardową entropię molową musimy scałkować iloraz ciepła molowego izobarycznego i temperatury po temperaturze. Pole pod krzywą na rysunku 9 odpowiada takiej całce. Jeśli pod ciśnieniem standardowym w jakiejś temperaturze Tp.f. dochodzi do przemiany fazowej, musimy całkowanie w takim punkcie przerwać, doliczyć zmianę entropii w przemianie fazowej, a następnie kontynuować całkowanie biorąc pod uwagę ciepło molowe izobaryczne nowej fazy.
Standardowe entropie molowe są podawane zwykle w zbiorach danych termodynamicznych dla umownej temperatury 25ºC. Mogą one być wykorzystane do wyznaczania standardowych entropii reakcji.
Standardowa entropia reakcji
Standardowa entropia jonu
Zauważmy, że entropia jonu jest definiowana jako zmiana entropii tworzenia, i de facto przed jej symbolem powinniśmy mieć znak przyrostu , ale zwyczajowo go pomijamy.
Standardowe entropie reakcji obliczamy jako różnicę standardowych entropii produktów i substratów pomnożone przez odpowiednie współczynniki stechiometryczne.

Warunki samorzutności procesów
Przejdziemy obecnie do dyskusji wniosków z drugiej zasady termodynamiki, które pozwalają na proste określenie samorzutności procesów. Przypomnijmy jeszcze raz matematyczny zapis drugiej zasady.

Aby ocenić samorzutność procesu, musimy obliczyć zmianę entropii układu i zmianę entropii otoczenia. To pierwsze jest stosunkowo łatwe, natomiast obliczenie zmian entropii otoczenia jest zwykle trudne. Łatwiej jest posłużyć się nierównością Clausiusa.

Jeśli w układzie zachodzi proces adiabatyczny, to dq = 0 i nierówność sprowadza się do postaci :

Czyli jeśli entropia w procesie adiabatycznym rośnie, to proces jest samorzutny, a gdy nie zmienia się to układ jest w stanie równowagi.
Jeżeli ![]()
, to proces jest samorzutny.
Jeżeli ![]()
, to proces jest odwracalny, w układzie mamy stan równowagi.
Jeżeli ![]()
, to proces jest wymuszony, nie może zachodzić samorzutnie w określonym kierunku, a zachodziłby samorzutnie w kierunku przeciwnym.
Niestety procesy adiabatyczne występują rzadko. W chemi rozpatrujemy najczęściej procesy zachodzące pod stałym ciśnieniem i w stałej temperaturze lub rzadziej w stałej objętości i temperaturze. Aby móc sformułować warunki samorzutności dla tych procesów należy wprowadzić dwie nowe funkcje termodynamiczne. Są to : entalpia swobodna Gibbsa i energia swobodna Helmholtza. Definiuje się je wzorami.
Energia swobodna Helmholtza
![]()
Entalpia swobodna Gibbsa
![]()
Energia swobodna i entalpia swobodna są funkcjami stanu, więc posiadają ich wszystkie własności.
Samorzutność procesów izobaryczno-izotermicznych
Procesy zachodzące pod stałym ciśnieniem i w stałej temperaturze są dla chemików najważniejsze, bo są najczęściej spotykane, toteż przyjrzymy się dokładnie warunkowi samorzutności takich procesów. Aby go wyprowadzić, wychodzimy z nierówności Clausiusa.

Wykorzystując pierwszą zasadę termodynamiki zapisaną przy użyciu entalpii, możemy ją zapisać następująco :

Mnożymy obie strony przez temperaturę i otrzymujemy :
![]()
Różniczkujemy wyrażenie definiujące entalpię swobodną i przekształcamy tę różniczkę, aby uzyskać dH.
![]()
Podstawiamy tę różniczkę do przekształconej nierówności Clausiusa.
![]()
Porządkujemy to wyrażenie, aby uzyskać dG po lewej stronie, a następnie mnożymy obie strony nierówności przez (-1), pamiętając, że przy mnożeniu przez liczbę ujemną zmienia się znak nierówności.
![]()
i ostatecznie otrzymujemy :
![]()
Jeżeli proces przebiega w stałej temperaturze i pod stałym ciśnieniem, to :
p = const dp =0 i T = const dT = 0
i nierówność przybiera postać :
![]()
Otrzymaliśmy w ten sposób warunek samorzutności procesów izobaryczno-izotermicznych. Jak należy go rozumieć ?
Jeżeli ![]()
, to proces jest samorzutny. W toku takiego procesu można uzyskać pracę nieobjętościową.
Jeżeli ![]()
, to proces jest odwracalny, w układzie mamy stan równowagi. W tych warunkach zmiana entalpii swobodnej jest miarą maksymalnej pracy nieobjętościowej, jaka może być uzyskana w toku danego procesu.
Jeżeli ![]()
, to proces jest wymuszony, nie może zachodzić samorzutnie w określonym kierunku, a zachodziłby samorzutnie w kierunku przeciwnym. Aby taki proces zaszedł w określonym kierunku, trzeba do układu dostarczyć prace nieobjętościową.
Jeżeli proces przebiega w stałej temperaturze i pod stałym ciśnieniem i dodatkowo nie ma pracy nieobjętościowej, to :
p = const dp =0 i T = const dT = 0 dw' = 0
Wówczas warunek samorzutności sprowadza się do postaci :
![]()
Jeżeli ![]()
, to proces jest samorzutny.
Jeżeli ![]()
, to proces jest odwracalny, w układzie mamy stan równowagi.
Jeżeli ![]()
, to proces jest wymuszony, nie może zachodzić samorzutnie w określonym kierunku, a zachodziłby samorzutnie w kierunku przeciwnym.
Samorzutność procesów izochoryczno-izotermicznych
Wychodzimy z nierówności Clausiusa i pierwszej zasady termodynamiki zapisanej przy użyciu energii wewnętrznej.

Przekształcamy tę nierówność w sposób analogiczny jak uprzednio, wykorzystując definicję energii swobodnej.
![]()
i otrzymujemy
![]()
Wykonanie tych przekształceń zostawiam Wam jako ćwiczenie.
Jeżeli proces przebiega w stałej temperaturze i w stałej objętości, to :
V = const dV =0 i T = const dT = 0
![]()
Otrzymaliśmy ostatecznie warunek samorzutności procesów izochoryczno izotermicznych. Jeżeli dodatkowo nie ma pracy nieobjętościowej dw' = 0, to :
![]()
Dyskusja i znaczenie tego warunku jest analogiczna jak to przedstawiono szczegółowo dla procesów izotermiczno-izobarycznych.
Związki pomiędzy funkcjami termodynamicznymi i parametrami stanu
Wróćmy do otrzymanego wyrażenia na różniczkę entalpii swobodnego.
![]()
Jeżeli proces zachodzi w sposób odwracalny, bez wykonywania pracy nieobjętościowej, to :
![]()
Jest to wyrażenie opisujące różniczkę entalpii swobodnej. Entalpia swobodna jest funkcją temperatury i ciśnienia.
![]()
Napiszmy wyrażenie na różniczkę funkcji dwu zmiennych dla entalpii swobodnej.

Porównując wyrażenia stojące przy różniczkach dT i dp, otrzymujemy:

Entalpia swobodna jest funkcją stanu. Wobec tego jej różniczka jest różniczką zupełną. Wynika stąd, że drugie pochodne mieszane entalpii swobodnej muszą być sobie równe.

Otrzymujemy w ten sposób związek zwany relacją Maxwella.

W podobny sposób można uzyskać związki pomiędzy innymi funkcjami termodynamicznymi i parametrami stanu. Zebrane są one w tabeli poniżej.
Standardowa entalpia swobodna tworzenia związku chemicznego
Standardowa entalpia tworzenia jonu
Standardowa entalpia swobodna reakcji
Standardowe entalpie swobodne tworzenia ogromnej ilości związków i jonów są znane i stabelaryzowane. Ich wartości podawane są zwykle dla umownej temperatury 25ºC. Służą one do obliczania standardowych entalpii swobodnych reakcji chemicznych jako różnicy standardowych entalpii swobodnych produktów i substratów pomnożonych przez odpowiednie współczynniki stechiometryczne.

Istnieją zbiory danych termodynamicznych, w których brak jest standardowych entalpii swobodnych tworzenia ; są tylko standardowe entalpie tworzenia i standardowe entropie molowe. Wówczas standardową entalpię swobodną reakcji obliczamy ze związku :
![]()
Potrzebne entalpie reakcje i entropie reakcji obliczamy w sposób poznany uprzednio jako :


Wybór metody obliczeń entalpii swobodnej reakcji zależy więc od zbioru danych jakimi dysponujemy. Jednak w przypadku rozwiązywania zadań na ćwiczeniach bądź egzaminie, należy przestrzegać polecenia.
Czynniki decydujące o samorzutności procesów izotermiczno izobarycznych
Jak już wielokrotnie było powtarzane, procesy przebiegające pod stałym ciśnieniem i w stałej temperaturze są z punktu widzenia chemika najważniejsze. Wiemy już, że warunkiem samorzutności takich procesów przy braku pracy nieobjętościowej jest spadek entalpii swobodnej.
![]()
W tych warunkach zmianę entalpii swobodnej można wyrazić jako :
![]()
O znaku G decydują więc dwa czynniki : ciepło procesu czyli w tych warunkach zmiana entalpii i zmiana entropii. Czyli musimy określić, jaki będzie znak G w zależności od znaków H i S, a więc odpowiedzieć na pytanie :
![]()
Jeśli proces jest egzotermiczny (zmiana entalpii jest ujemna) i zachodzi on ze wzrostem entropii, to będzie on samorzutny. Jeśli natomiast w toku procesu egzotermicznego entropia będzie malała, to będzie on samorzutny tylko pod warunkiem, że :
![]()
Jeśli proces jest endotermiczny (zmiana entalpii jest dodatnia), to będzie on samorzutny, gdy zachodzi ze wzrostem entropii, a iloczyn zmiany entropii i temperatury będzie większy niż zmiana entalpii. Natomiast proces endotermiczny, w którym entropia maleje nigdy nie może być samorzutny. Wpływ zmian entalpii i entropii na samorzutność procesów izotermiczno izobarycznych zebrano w tabeli poniżej.
Entalpia |
Entropia |
Proces samorzutny ? |
H < 0 (proces egzotermiczny) |
S > 0 |
tak G < 0 |
H < 0 (proces egzotermiczny) |
S < 0 |
tak gdy |TS| < |H| |
H > 0 (proces endotermiczny) |
S > 0 |
tak gdy TS > H |
H > 0 (proces endotermiczny) |
S < 0 |
nie G > 0 |
Własności entalpii swobodnej
Ponieważ dla chemika entalpia swobodna jest najważniejszą funkcją termodynamiczną, musimy nieco bliżej przyjrzeć się jej własnościom, a szczególnie wpływem temperatury i ciśnienia na jej wartość. Skorzystamy z wyrażeń opisujących pierwsze pochodne entalpii swobodnej po tych zmiennych.

Zależność entalpii swobodnej od temperatury
Rozpatrujemy układ przy stałym ciśnieniu.
![]()
Wobec tego różniczka entalpii swobodnej sprowadza się do :
![]()
Ponieważ pierwsza pochodna entalpii swobodnej po temperaturze przy stałym ciśnieniu jest równa minus entropii, a entropia układu ma zawsze wartość dodatnią, to wraz ze wzrostem temperatury entalpia swobodna maleje.

Przypomnijmy równanie definiujące entalpię swobodą :
![]()
Podstawmy pod entropię pochodną entalpii swobodnej po temperaturze :


Po prostych przekształceniach otrzymujemy równanie zwane równaniem Gibbsa-Helmholtza, które też opisuje zależność entalpii swobodnej od temperatury wiążąc ją z entalpią.

Ta postać równania Gibbsa-Helmholtza jest stosunkowo rzadko używana. Możemy uzyskać inną postać tego równania, bezpośrednio wiążącą entalpię swobodną z entalpią, różniczkując iloraz entalpii swobodnej i temperatury po temperaturze, przy stałym ciśnieniu.

Ponieważ :

To możemy ostatecznie napisać równanie Gibbsa-Helmholtza w postaci :

Równanie Gibbsa-Helmholtza jest słuszne nie tylko dla układu znajdującego się pod stałym ciśnieniem, ale i dla zmian entalpii swobodnej i entalpii w procesach izobarycznych.

W tej postaci równanie to pozwala łatwo przewidzieć wpływ temperatury na zmianę entalpii swobodnej procesu. Będziemy z tego równania wielokrotnie korzystać w toku dalszego wykładu.
Zależność entalpii swobodnej od ciśnienia
Rozpatrujemy układ pod stałą temperaturą, czyli :
![]()
Wobec tego różniczka entalpii swobodnej sprowadza się do :
![]()
Ponieważ pierwsza pochodna entalpii swobodnej po ciśnieniu przy stałej temperaturze jest równa objętości, entalpia swobodna rośnie wraz ze wzrostem ciśnienia.

Molowa entalpia swobodna gazu doskonałego
Weźmy pod uwagę 1 mol gazy doskonałego. Objętość jego z równania stanu doskonałego możemy wyrazić jako :

Znajdźmy zmianę entalpii swobodnej dla niego przy zmianie ciśnienia od wybranego po do jakiegoś dowolnego p w stałej temperaturze.

Aby to zrobić, musimy scałkować obie strony w granicach od po do p.


Jeśli wybranym ciśnieniem po będzie ciśnienie standardowe 105 Pa (1 bar), molowa entalpia swobodna będzie wartością standardową. Otrzymujemy w ten sposób równanie opisujące zależność molowej entalpii swobodnej gazu doskonałego od ciśnienia.

![]()
to standardowa molowa entalpia swobodna czyli entalpia swobodna 1 mola gazu pod ciśnieniem standardowy w dowolnej ustalonej temperaturze. Jej wartość zależy od temperatury czyli ![]()
.
Molowa entalpia swobodna gazu rzeczywistego
Jeśli chcielibyśmy znaleźć zależność objętości od ciśnienia dla gazu rzeczywistego, aby podstawić ją do różniczki entalpii swobodnej :

to byłoby to bardzo skomplikowane matematycznie. Biorąc pod uwagę równanie van der Waalsa,

to ciśnienie jest funkcją trzeciego stopnia ze względu na objętość i znalezienie zależności objętości od ciśnienia jest bardzo trudne. Z drugiej strony, chcielibyśmy, aby równanie opisujące zależność molowej entalpii swobodnej od ciśnienia miało podobnie prostą postać jak dla gazu doskonałego. Aby obejść ten problem wprowadza się nową funkcję termodynamiczną, która zastępuje ciśnienie w równaniu opisującym molową entalpie swobodną zwaną lotnością. Lotność oznaczamy jako f. Lotność ma wymiar (jednostkę) taką samą jak ciśnienie. Różniczka dGm opisana jest wobec tego dla gazu rzeczywistego wyrażeniem :
![]()
Lotność jest to funkcja termodynamiczna, zależna od ciśnienia i temperatury, dobierana tak, aby spełnione było powyższe równanie. Ponieważ wiemy, że własności gazu rzeczywistego dążą do własności gazu doskonałego, gdy ciśnienie gazu dąży do zera, to lotność dobieramy tak, a by jej wartość dążyła do ciśnienia, gdy ciśnienie dąży do zera.

Równanie opisujące zależność molowej entalpii swobodnej od ciśnienia przybiera wobec tego dla gazu rzeczywistego postać.

Powstaje pytanie, jak określamy stan standardowy dla gazu rzeczywistego. Punktem odniesienia jest teraz stan gazu pod nieskończenie małym ciśnieniem (dążącym do zera), gdy jego własności dążą do własności gazu doskonałego.
Ten sposób przyjęcia stanu standardowego wyjaśniony jest na rysunku 10. Standardowa entalpia swobodna molowa jest funkcją temperatury.
Rysunek 10. Dobór stanu standardowego dla gazu rzeczywistego.
Lotność można powiązać z ciśnieniem poprzez współczynnik lotności ϕ, który jest stosunkiem lotności do ciśnienia.

Współczynnik lotności jest wielkością bezwymiarową. Wobec tego lotność możemy wyrazić jako :
![]()
Ponieważ lotność dąży do ciśnienia, gdy ciśnienie dąży do zera, to współczynnik lotności dąży do jedności, gdy ciśnienie gazu dąży do zera.

Molową entalpię swobodną gazu rzeczywistego można opisać wobec tego równaniem.

Procesy samorzutne zachodzą same z siebie, przy czym kierunek zmiany w nich nie wymaga wkładu pracy, a wręcz przeciwnie, w wyniku ich zajścia uzyskuje się pracę użyteczną.
Procesy niesamorzutne (wymuszone) wymagają wkładu pracy z zewnątrz, aby mogły zajść w określonym kierunku.
Nie można zbudować takiej maszyny cieplnej, działającej w sposób cykliczny, która pobierałaby ciepło ze zbiornika i całkowicie zamieniała je na pracę.
Niemożliwy jest samorzutny przepływ ciepła z ciała o temperaturze niższej do ciała o temperaturze wyższej.
W określonym procesie, jeśli może on być wykonany w sposób odwracalny, wówczas praca wykonana ma wartość maksymalną.
T1 > T2
w
q2
q1
pracujący układ
chłodnica T2
źródło ciepła T1
zbiornik ciepła T1
ciało ochładzane T2
pracujący układ
q1
q2
w
adiabata
izoterma Ti = const ; qi,elementarne
p
V
Różniczka entropii to stosunek elementarnego ciepła (różniczki ciepła) wymienionego z otoczeniem w sposób odwracalny do temperatury, w której ta wymiana nastąpiła.
Suma zmian entropii układu i otoczenia może być dodatnia lub równa zero. Suma ta jest dodatnia dla procesów samorzutnych, nieodwracalnych, a równa zero dla procesów odwracalnych, stanu równowagi.
W wyniku zajścia procesu nieodwracalnego entropia układu izolowanego rośnie.
-mixS
rozdzielenie mieszaniny
mieszanina
nA+nB , VA+VB
gaz B
nB , VB
gaz A
nA , VA
samorzutne mieszanie mixS > 0
Wyrównywanie temperatur - energie kinetyczne cząsteczek wyrównują się - proces samorzutny S > 0
T1 > T2
przegroda diatermiczna
stan nieuporządkowany
proces wymuszony, niesamorzutny
S < 0

proces samorzutny
S > 0
Zmiana entropii towarzysząca dowolnej przemianie fizycznej lub chemicznej dąży do 0, gdy temperatura dąży do 0 K.
przemiana izotermiczna
S = S - S
przemiana adiabatyczna S =0
stan
stan
T
S
Jeśli entropia każdego pierwiastka w jego najtrwalszym stanie w temperaturze 0 kelwinów jest równa zero, to entropia każdej substancji ma wartość dodatnią, która w temperaturze 0 kelwinów, może być równa zero, zaś jest równa zero dla kryształów idealnych.
![]()



0
T
Tp.f.
T
Standardowa entropia reakcji jest zmianą entropii w reakcji prowadzonej w warunkach standardowych, prowadzącej od czystych rozdzielonych substratów do czystych rozdzielonych produktów.
Standardowa entropia jonu to zmiana entropii podczas tworzenia jednego mola całkowicie zsolwatowanych jonów w warunkach standardowych, w rozcieńczeniu nieskończenie wielkim z czystych, rozdzielonych pierwiastków, przy czym standardowa entropia uwodnionego jonu wodorowego w dowolnej temperaturze wynosi zero.
Proces izotermiczno- izobaryczny przebiega w sposób samorzutny przy braku pracy nieobjętościowej, wtedy i tylko wtedy, gdy entalpia swobodna układu maleje.
Proces izotermiczno- izochoryczny przebiega w sposób samorzutny przy braku pracy nieobjętościowej, wtedy i tylko wtedy, gdy energia swobodna układu maleje.
Standardowa entalpia swobodna tworzenia związku chemicznego to zmiana entalpii swobodnej towarzysząca utworzeniu 1 mola związku z czystych, rozdzielonych pierwiastków w warunkach standardowych, przy czym powstający związek jak i pierwiastki muszą być w najtrwalszej w tych warunkach odmianie termodynamicznej. Standardowa entalpia swobodna tworzenia pierwiastków w ich najtrwalszej odmianie termodynamicznej wynosi zero.
Standardowa entalpia swobodna tworzenia jonu to zmiana entalpii swobodnej towarzysząca powstaniu 1 mola solwatowanych jonów w rozcieńczeniu nieskończenie wielkim z czystych, rozdzielonych pierwiastków w warunkach standardowych. Standardowa entalpia swobodna tworzenia uwodnionego jonu wodorowego w dowolnej temperaturze wynosi zero.
Standardowa entalpia swobodna reakcji (standardowa zmiana entalpii swobodnej reakcji) bądź przemiany fizycznej to różnica entalpii swobodnych czystych, rozdzielonych produktów i czystych, rozdzielonych substratów w stanie standardowym w tej samej, określonej temperaturze.
Stan standardowy dla gazu rzeczywistego to stan gazu rzeczywistego w hipotetycznym stanie pod ciśnieniem standardowym (105 Pa), w określonej temperaturze, gdyby zachowywał się on jak przy bardzo niskich ciśnieniach (przy ciśnieniu dążącym do zera).
0
fo
po
ciśnienie
lotność
hipotetyczny stan standardowy
gaz rzeczywisty
gaz doskonały
Dla gazu doskonałego stanem standardowym jest stan czystego gazu pod ciśnieniem standardowym po = 105 Pa i w dowolnej, ustalonej temperaturze.