Cele ćwiczenia:
1. Poznanie praw rządzących ruchami drgań harmonicznych.
2. Poznanie wzorów na okresy drgań wahadła prostego i różnicowego dla wahań izochronicznych.
3. Zależność przyspieszenia ziemskiego od szerokości geograficznej Ziemi.
4. Wyznaczenie przyspieszenia ziemskiego za pomocą wahadła różnicowego.
Istota pomiaru :
W poniższym ćwiczeniu wykorzystaliśmy wahadło różnicowe w celu wyznaczenia z dość dużą dokładnością przyspieszenia ziemskiego g. Wahadło jakie jest pewną odmianą wahadła prostego. Różni się ono od wahadła prostego tym, że pozwala przesuwać punkt zawieszenia. Powoduje to, że możliwe jest mierzenie nie bezwzględnej długości wahadła lecz zmiany jego długości. Jak wiemy, mierząc długość wahadła l oraz czas jednego drgania, możliwe jest wyznaczenie przyspieszenia ziemskiego g. Jednak z uwagi na to, że pomiar długości wahadła od punktu zawieszenia do środka masy ciężarka jest dość złożony i ponadto obarczony znacznym błędem, stosujemy więc wahadło różnicowe.
Istotą pomiaru jest wyznaczenie przyspieszenia ziemskiego przy pomocy wahadła prostego . Okres drgań wahadła T, jego długość l , oraz wartość przyspieszenia g uzależnione są wzorem :

Aby wyznaczyć wartość g należy więc znaleźć okres wahadła i znać jego długość. Dokładny pomiar długości l jest nieco utrudniony ( jest to odległość punktu zawieszenia wahadła od środka masy kulki ). Stosuje się więc metodę Bessela . Polega ona na wyznaczeniu okresu T1 drgań wahadła o nieznanej długości i okresu T2 drgań wahadła skróconego o znaną długość Δl1-2 . Wówczas: ![]()
Korzystając z tej zależności łatwo wyznaczyć wartość przyspieszenia g .
Opis teoretyczny:
Wahadło matematyczne jest to punkt materialny zawieszony na nieważkiej i nierozciągliwej nici . Wychylając nić o niewielki kąt wywołujemy drgania dokoła położenia równowagi . Zakłada się , że amplituda drgań jest stała ( choć w praktyce stopniowo maleje ). Własność tę nazywamy izochronizmem . Ruch wahadła matematycznego w przypadku małych wychyleń możemy uważać za harmoniczny(czyli zależność od czasu opisana jest przez funkcje harmoniczne). Okres wahadła zależy od długości nici i wartości przyspieszenia . Nie zależy natomiast od masy punktu materialnego ani od amplitudy.
Tabela wyników pomiarów:
Obliczenia:
T = ![]()
t - czas wahania się wahadła
n - ilość wahnięć w czasie t
T1= ![]()
1,801 s
T2= ![]()
1,711 s
T3= ![]()
1,607 s
T4= ![]()
1,511 s
Po otrzymaniu wyników Ti obliczamy zmiany długości wahadła,
Δl1-2=0,08m
Δl1-3=0,16m
Δl1-4=0,24m
Δl2-4=0,16m
by dokonać odpowiednio czterech obliczeń przyspieszenia ziemskiego gi wg wzoru :
![]()
gdzie:
T1-okres drgań wahadła o długości l
T2-okres drgań wahadła skróconego o znaną długość Δl1-2
g1-2 = 42Δl1-2 / (T1 2 - T2 2) = 10,04 ![]()
g1-3 = 42Δl1-3 / (T1 2 - T3 2) = 9,59 ![]()
g1-4 = 42Δl1-4 / (T1 2 - T4 2) = 9,86 ![]()
g2-4 = 42Δl2-4 / (T2 2 - T4 2) = 9,78 ![]()
Obliczamy wartość średnią przyspieszenia ziemskiego ze wzoru :

,
gdzie n oznacza krotność wyznaczenia przyspieszenia ziemskiego :

Rachunek błędów :
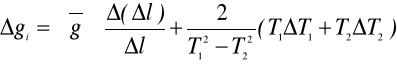
Obliczamy błąd bezwzględny pomiaru ![]()
stosując metodę różniczki zupełnej ze wzoru:i średniej ![]()
obliczamy ze wzoru :

gdzie:
Δ(Δl)=ΔS1+ΔS2=2ΔS
ΔS - błąd bezpośredni użytej skali równy 0,001m
ΔT1 = ΔT2 =ΔT =![]()
=![]()
=0,0002
Δt - bezpośredni błąd pomiaru czasu równy 0,01s
Δg1-2= 9,82
0,29![]()
Δg1-3=0,14![]()
Δg1-4=0,10![]()
Δg2-4=0,14![]()
Δg=![]()
=0,17![]()
Wynik końcowy :
g = ![]()
![]()
![]()
g = 9,82 ![]()
0,17 ![]()
Wnioski:
Otrzymana przez nas wartość przyśpieszenia ziemskiego jest zbliżona do wartości rzeczywistej. Błędy pomiaru powstałe podczas doświadczenia można częściowo wyeliminować poprzez zastosowanie dokładnych urządzeń pomiarowych np. elektronicznego czujnika pomiarowego z licznikiem, który zliczałby liczbę wahnięć oraz mierzył ich czas. Dokładność pomiaru można też nieznacznie zwiększyć dokonując pomiaru czasu okresu drgań dla większej niż 50 ilości pełnych wychyleń. Metoda którą używaliśmy jest metodą łatwiejszą niż ta przy której należało by wyznaczyć środek masy kulki. Pozwala ona w bardzo prosty sposób wyznaczyć przyspieszenie ziemskie. Jest ono największe na biegunach a najmniejsze na równiku, przy czym w Łodzi przyjmuje się wartość przyspieszenia ziemskiego g=9,81![]()
.
- 5 -
- 2 -