AGH Metrologia Laboratorium |
Grupa:
|
||||
wydział EAIiE |
rok akademicki 2001/2002 |
rok studiów II |
|
||
Temat : Zastosowania pomiarowe oscyloskopu: pomiar czasu, częstotliwości i fazy.
|
|||||
data wykonania 18.10.2001 |
data zaliczenia 25.10.2001 |
ocena
|
|||
Cel ćwiczenia:
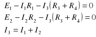
Metoda praw Kirchoffa:



⇒ 
![]()

, 
, 
![]()
, ![]()
![]()
, ![]()
, ![]()
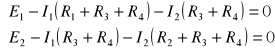
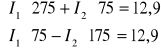
Metoda prądów oczkowych:


⇒ 
![]()
⇒ 
![]()
![]()
![]()
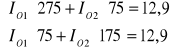
3. Metoda potencjałów węzłowych:


Metoda superpozycji:
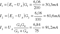
a). Układ pierwszy z E1:

![]()
![]()
![]()
b). Układ drugi z E2:

![]()
![]()
![]()
![]()
![]()
(Zwrot zgodny z ![]()
)
![]()
![]()
(Zwrot zgodny z ![]()
)
![]()
![]()
Tabela pomiarów:
|
|
I1 [mA] |
I2 [mA] |
I3 [mA] |
ΣIi [mA] |
U1 [V] |
U2 [V] |
U34 [V] |
U1+U34-E1 [V] |
U2+U34-E2 [V] |
1. |
E1 = 12,9 V E2 = 12,9V |
34 |
69 |
104 |
-1 |
6,8 |
6,9 |
7,8 |
1,7 |
1,8 |
Zasada superpozycji:
2. |
E1 = 12.9 E2 = 0 |
50 |
-17 |
34 |
-1 |
10 |
-1,7 |
2,55 |
-0,35 |
0,85 |
3. |
E1 = 0 E2 = 12.9 |
-17 |
86 |
71 |
-2 |
-3,4 |
8,6 |
5,32 |
1,92 |
1,87 |
4. |
(2) + (3) |
33 |
69 |
105 |
-3 |
6,6 |
6,9 |
7,87 |
1,57 |
0,17 |
5. |
(1) - (4) |
1 |
0 |
-1 |
+2 |
0,2 |
0 |
-0,07 |
0,13 |
-0,07 |
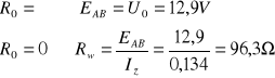
Charakterystyki źródła energii:
⇒
Obliczam rezystancję wzierną od strony zacisków AB:
![]()
R0 [Ω] |
∞ |
5000 |
2500 |
1000 |
500 |
250 |
150 |
96,3 |
50 |
25 |
0 |
I [mA] |
0 |
2,45 |
4,85 |
11,5 |
22 |
36 |
51 |
67 |
88 |
107 |
134 |
U [V] |
12,9 |
12,6 |
12,5 |
11,5 |
11 |
0,59 |
8 |
6,6 |
4,6 |
3,6 |
0 |
P [mW] |
0 |
30,87 |
60,625 |
132,25 |
242 |
342 |
408 |
442,2 |
404,8 |
385,2 |
0 |


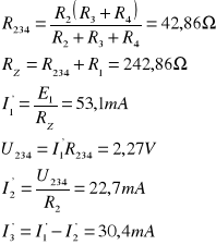
6. Sprawdzenie wyników metodą teoretyczną:
Obliczam rezystancję wzierną od strony zacisków AB:
![]()
Obliczam EAB


1
6
![]()
![]()
![]()
![]()
UA
I3
I2
I1
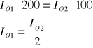
Io2
Io1
I3
I2
I1
I3
I2
I1
![]()
![]()
![]()
![]()
![]()
![]()
![]()
![]()
UAB