Politechnika Radomska Wydział Transportu |
LABORATORIUM Układy Elektroniczne
|
Data: |
|||
Imię i Nazwisko:
|
Grupa:
|
Zespół: |
Rok akademicki
|
||
Nr ćwiczenia: 1 |
Temat: Badanie wzmacniacza operacyjnego.
|
Ocena i podpis: |
|||
Cel ćwiczenia:
Celem ćwiczenia jest zapoznanie się z zasadą działania wybranych wzmacniaczy operacyjnych i ich zastosowaniem.
Przebieg ćwiczenia:
Układy pomiarowe:
Konwerter prąd-napięcie.
Schemat układu podstawowego konwertera prąd-napięcie.
Układy ograniczników napięcia.
Symetryczny ogranicznik napięcia z diodami Zenera.
Schemat precyzyjnego jednostronnego nieodwracającego ogranicznika napięcia.
Układy komparatorów napięcia.
Schemat układu dyskryminatora progowego (układ sumujący).
Schemat układu dyskryminatora progowego z histerezą (układ różnicowy).
Tabele pomiarowe:
1.Konwerter prąd-napięcie.
Dla R=15kΩ
Uwe |
[ V ] |
0,54 |
1,5 |
3,03 |
4,45 |
5,95 |
7,04 |
8,9 |
10,37 |
11,83 |
12,82 |
12,81 |
12,8 |
Uwy |
[ V ] |
9,3 |
9,35 |
9,35 |
9,35 |
9,35 |
9,35 |
9,35 |
9,35 |
9,35 |
9,35 |
9,35 |
9,35 |
I |
[mA] |
0,044 |
0,1 |
0,2 |
0,3 |
0,4 |
0,5 |
0,6 |
0,7 |
0,8 |
0,9 |
1 |
1,2 |

Dla R=3kΩ
Uwe |
[ V ] |
0,38 |
0,69 |
0,95 |
1,27 |
1,57 |
1,85 |
2,16 |
2,45 |
2,76 |
3,01 |
3,7 |
Uwy |
[ V ] |
9,35 |
9,35 |
9,35 |
9,35 |
9,35 |
9,35 |
9,35 |
9,35 |
9,35 |
9,35 |
9,35 |
I |
[mA] |
0,1 |
0,2 |
0,3 |
0,4 |
0,5 |
0,6 |
0,7 |
0,8 |
0,9 |
1 |
1,1 |

2.Symetryczny ogranicznik napięcia z diodami Zenera
Dla R1=1.5kΩ, R2=15kΩ
Uwe |
[ V ] |
7,28 |
7,28 |
7,24 |
7,23 |
7,22 |
7,21 |
7,2 |
7,19 |
7,18 |
7,16 |
7 |
Uwy |
[ V ] |
-10,53 |
-7,25 |
-6,4 |
-5,45 |
-4,66 |
-4,06 |
-3,32 |
-2,95 |
-2,6 |
-2 |
-1,03 |
3,28 |
-1,29 |
-7,3 |
-7,36 |
-7,3 |
-7,39 |
-7,4 |
-7,41 |
-7,42 |
-7,42 |
-7,43 |
-7,43 |
-7,43 |
-0,43 |
0,019 |
1,23 |
2,5 |
3,25 |
4,47 |
5,59 |
6,52 |
7,87 |
8,3 |
9,04 |
9,35 |
9,46 |

Dla R1=1.5kΩ, R2=3kΩ
Uwe |
[ V ] |
7,25 |
7,24 |
7,23 |
7,22 |
7,2 |
7,17 |
7,1 |
6,97 |
6,7 |
6,12 |
3,87 |
Uwy |
[ V ] |
-10 |
-8,9 |
-8,01 |
-7 |
-6,04 |
-5,16 |
-4,13 |
-3,8 |
-3,5 |
-3,25 |
-2,1 |
3,8 |
1,64 |
0,88 |
-0,27 |
-1,08 |
-2,57 |
-4,48 |
-6,24 |
-7,29 |
-7,35 |
-7,31 |
-7,4 |
7,41 |
-1,7 |
-1 |
-0,59 |
-0,011 |
0,38 |
1,13 |
2,11 |
3 |
4 |
5,2 |
6,28 |
8,17 |
9,64 |

Dla R1=5Ω, R2=3kΩ
Uwe |
[ V ] |
5,82 |
5,75 |
5,64 |
5,26 |
5,04 |
4,6 |
3,8 |
3,39 |
2,8 |
2,3 |
1,71 |
Uwy |
[ V ] |
-10 |
-9,87 |
-9,69 |
-9 |
-8,67 |
-7,94 |
-6,71 |
-5,92 |
-4,94 |
-4,2 |
-3,11 |
1 |
0,47 |
0,16 |
-0,28 |
-0,45 |
-0,79 |
-1,29 |
-1,62 |
-2,05 |
-2,57 |
-3,14 |
-3,92 |
-4,58 |
|||
-2 |
-1 |
-0,47 |
0,21 |
0,5 |
1,1 |
2 |
2,45 |
3,20 |
4,04 |
5 |
6,3 |
7,42 |
|||
-4,59 |
-5,19 |
-5,79 |
-6,22 |
||||||||||||
7,6 |
8,43 |
9,46 |
10,16 |
||||||||||||

Dla R1=5kΩ, R2=15kΩ
Uwe |
[ V ] |
7,19 |
7,19 |
7,18 |
7,17 |
7,16 |
7,16 |
7,11 |
7,01 |
5,88 |
2,94 |
1,33 |
Uwy |
[ V ] |
-10,17 |
-9,02 |
-8,5 |
-7,5 |
-6,1 |
-5 |
-4 |
-3,13 |
-2 |
-1,08 |
-0,54 |
0,12 |
-0,59 |
-3,96 |
-6,7 |
-7,26 |
-7,34 |
-7,35 |
-735 |
-7,37 |
-0,14 |
0,093 |
1,2 |
2,16 |
3,7 |
6,5 |
7,6 |
9 |
10,04 |

3.Jednostronny nieodwracający ogranicznik napięcia.
Dla R1=1kΩ, R2=15kΩ
Uwe |
[ V ] |
-0,02 |
-0,02 |
1,32 |
6,5 |
8,59 |
14,27 |
14,26 |
Uwy |
[ V ] |
-10,5 |
-0,87 |
0,18 |
0,5 |
0,63 |
1 |
1,29 |

Dla R1=1kΩ, R2=3kΩ
Uwe |
[ V ] |
-0,02 |
-0,01 |
3,1 |
4,61 |
8,21 |
12,23 |
13,93 |
13,9 |
13,86 |
13,86 |
Uwy |
[ V ] |
-10,18 |
0,047 |
0,62 |
1,25 |
2,1 |
3,15 |
3,64 |
4,51 |
6 |
10 |
4.Układ dyskryminatora progowego (układ sumujący).
Dla R1=1.5kΩ, R2=5kΩ, R3=1kΩ
Uwe |
[ V ] |
15,12 |
15,12 |
7,8 |
-6,4 |
-6,9 |
-0,7 |
-0,75 |
-0,77 |
-0,77 |
Uwy |
[ V ] |
-10,17 |
-5,9 |
-5,4 |
-4,7 |
-3,4 |
-2,26 |
0,65 |
3,4 |
10 |
5.Układ dyskryminatora progowego z histerezą (układ różnicowy).
Dla R1=5kΩ, R2=2,7kΩ, R3=10Ω, R4=820Ω
Uwe |
[ V ] |
7,43 |
7,43 |
7,43 |
-7,33 |
-7,43 |
-7,32 |
-7,33 |
-7,33 |
-7,34 |
Uwy |
[ V ] |
-10,4 |
-4,86 |
-3,6 |
3,65 |
0,27 |
4,5 |
7,25 |
9 |
10 |
Przed przystąpieniem do pomiarów należało zrównoważyć wzmacniacz
Wyznaczenie charakterystyki przejściowej wzmacniacza:
Tabela pomiarowa:
dla k=10.
Uwe[V] |
0,17 |
0,3 |
0,5 |
0,65 |
0,7 |
0,75 |
0,8 |
0,9 |
1,0 |
1,1 |
1,2 |
1,3 |
Uwy[V] |
1,7 |
3,0 |
5,0 |
6,5 |
7,0 |
7,5 |
7,8 |
8,5 |
9,0 |
9,5 |
10,0 |
10,2 |
Charakterystyka przejściowa Uwy = f (Uwe)
Tabela pomiarowa:
dla k=1.
Uwe[V] |
0,1 |
0,2 |
0,4 |
0,6 |
0,7 |
1,0 |
1,1 |
1,2 |
1,3 |
1,5 |
Uwy[V] |
0,1 |
0,2 |
0,4 |
0,6 |
0,7 |
1,0 |
1,1 |
1,2 |
1,3 |
1,5 |
Charakterystyka przejściowa Uwy = f (Uwe)
Tabela pomiarowa:
dla k=0,1.
Uwe[V] |
0,1 |
0,2 |
0,4 |
0,6 |
0,7 |
1,0 |
1,1 |
1,2 |
1,3 |
1,6 |
Uwy[mV] |
10 |
20 |
40 |
60 |
70 |
100 |
110 |
120 |
130 |
160 |
Charakterystyka przejściowa Uwy = f (Uwe)
Wyznaczenie charakterystyki częstotliwościowej wzmacniacza:
a). Układ bez inercji (bez kondensatora CF).
dla k=0,1.
Tabela pomiarowa:
f [kHz] |
1 |
10 |
100 |
160 |
200 |
300 |
Uwe=1V |
Uwy [V] |
0,1 |
0,1 |
0,1 |
0,1 |
0,1 |
0,1 |
|
f [kHz] |
400 |
500 |
600 |
700 |
800 |
900 |
|
Uwy [V] |
0,1 |
0,1 |
0,1 |
0,1 |
0,1 |
0,1 |
|
Charakterystyka częstotliwościowa Uwy = f (f) przy Uwe = 1V = const.
Charakterystyka częstotliwościowa ku = f (f) przy Uwe = 1V = const.
dla k=1.
Tabela pomiarowa:
f [kHz] |
1 |
10 |
100 |
160 |
200 |
300 |
400 |
Uwe=1V |
Uwy [V] |
1 |
1 |
1 |
0,91 |
0,881 |
0,728 |
0,586 |
|
f [kHz] |
500 |
600 |
700 |
800 |
900 |
1000 |
1100 |
|
Uwy [V] |
0,476 |
0,426 |
0,346 |
0,326 |
0,296 |
0,246 |
0,224 |
|
Charakterystyka częstotliwościowa Uwy = f (f) przy Uwe = 1V = const.
Charakterystyka częstotliwościowa ku = f (f)
dla k = 10.
Tabela pomiarowa:
F [kHz] |
1 |
10 |
11 |
20 |
30 |
40 |
Uwe=1V |
Uwy [V] |
10 |
10 |
9,3 |
8 |
6,4 |
5,4 |
|
F [kHz] |
50 |
60 |
70 |
80 |
90 |
100 |
|
Uwy [V] |
4,58 |
4,2 |
3,6 |
3,3 |
3 |
2,8 |
|
Charakterystyka częstotliwościowa Uwy = f (f) przy Uwe = 1V = const.
Charakterystyka częstotliwościowa ku = f (f)
b). Układ z inercją (z kondensatorem CF).
dla k=0,1.
Tabela pomiarowa:
f [kHz] |
0,1 |
0,3 |
0,5 |
0,7 |
0,9 |
1,2 |
Uwe=1V |
Uwy [V] |
0,1 |
0,097 |
0,093 |
0,091 |
0,087 |
0,079 |
|
f [kHz] |
1,6 |
2 |
3 |
4 |
6 |
8 |
|
Uwy [V] |
0,071 |
0,064 |
0,05 |
0,042 |
0,031 |
0,026 |
|
Charakterystyka częstotliwościowa Uwy = f (f) przy Uwe = 1V = const.
Charakterystyka częstotliwościowa ku = f (f)
dla k=1.
Tabela pomiarowa:
f [kHz] |
0,1 |
0,3 |
0,6 |
0,8 |
1 |
2 |
Uwe=1V |
Uwy [V] |
1 |
0,95 |
0,92 |
0,88 |
0,83 |
0,66 |
|
f [kHz] |
3 |
4 |
6 |
8 |
10 |
11 |
|
Uwy [V] |
0,5 |
0,4 |
0,3 |
0,25 |
0,2 |
0,18 |
|
Charakterystyka częstotliwościowa Uwy = f (f) przy Uwe = 1V = const.
Charakterystyka częstotliwościowa ku = f (f)
dla k=10.
Tabela pomiarowa:
f [kHz] |
0,1 |
0,4 |
0,5 |
0,6 |
0,8 |
0,9 |
1 |
Uwe=1V |
Uwy [V] |
10 |
9,73 |
9,5 |
9,3 |
8,9 |
8,7 |
8,5 |
|
f [kHz] |
1,5 |
2 |
2,6 |
3 |
4 |
6 |
10 |
|
Uwy [V] |
7,03 |
6,33 |
5,3 |
5 |
4,2 |
3,02 |
2,1 |
|
Charakterystyka częstotliwościowa Uwy = f (f) przy Uwe = 1V = const.
Charakterystyka częstotliwościowa ku = f (f)
Wyznaczenie charakterystyki dynamicznej wzmacniacza (odpowiedź skokowa):
dla k = 1.
Wnioski i spostrzeżenia:
Wyznaczając charakterystykę przejściową Uwy = f (Uwe), zauważyliśmy, że wraz ze wzrostem wzmocnienia k charakterystyka ta ulega zakrzywieniu (dla k = 0,1;1 jest ona liniowa, zaś dla k = 10 uległa ona zakrzywieniu).
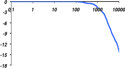
Wyznaczając charakterystyki częstotliwościowe zauważyliśmy, że wartość wzmocnienia k wzmacniacza operacyjnego jest stała, lecz w określonym paśmie częstotliwości.
Pasmo częstotliwości jest tym szersze im mniejsze jest wzmocnienie k. Dla k = 0,1 ( -20dB ) przenoszone są częstotliwości rzędu MHz, dla k = 1 ( 0dB ) pasmo to zawiera się w przedziale f ∈ (0;125)kHz, zaś dla k = 10 ( +20dB ) pasmo to jest wąskie f ∈ (0;12,5)kHz.
Włączenie w tor sprzężenia zwrotnego kondensatora CF powoduje zmniejsze-nie pasma częstotliwości, ponieważ powstaje nam wtedy zamodelowany na wzmacniaczu operacyjnym człon inercyjny I rzędu o transmitancji operatoro-wej ![]()
. Teoretycznie wiadomo, że dla częstotliwości mniejszych od ![]()
wzmocnienie k jest stałe, zaś dla częstotliwości większych od ![]()
występuje tłumienie wzmocnienia o 20dB/dek.
Zauważyliśmy także, że dla układu z inercją pasmo przenoszenia jest stałe {f ∈(0;1,6)kHz} dla wzmocnienia 0,1; 1; 10.
Wzmacniacz rzeczywisty ma ograniczoną wartość wzmocnienia i pasmo przenoszenia.
1

Uwy [V]
Uwe [V]
k = 10

Uwe [V]
Uwy [V]

Uwy [V]
Uwe [V]
k = 1
k = 0,1

f [kHz]
Uwy [V]
k = 0.1 przy
Uwe = 1V = const

f [kHz]
Uwy [V]
k = 1 przy
Uwe = 1V = const

f [kHz]
Uwy [V]
k = 10 przy
Uwe = 1V = const.
f [kHz]
Uwy [V]


k = 0.1 przy
Uwe = 1V = const
Uwy [V]
f [kHz]
k = 1 przy
Uwe = 1V = const
k = 10 przy
Uwe = 1V = const.
f [kHz]
Uwy [V]

273 mV
Uwe
Uwy
237mV
189,6mV
ΔT = 202μs
0.9⋅237 = 213,3mV
0.1⋅237 = 23,7mV
![]()
f ∈ (0;1000)kHz
k [dB]
f [Hz]
f ∈ (0;125)kHz
f [Hz]
-20dB
f ∈ (0;1,6)kHz
Δk = 3dB
f [Hz]
k [dB]

-20dB
f ∈(0;12,5)kHz
Δk = 3dB
f [Hz]
k [dB]

k [dB]


f ∈(0;1,6)kHz
Δk =3dB
f [Hz]
k [dB]

f [kHz]
f ∈(0;1,6)kHz
Δk =3dB
-20dB

k [dB]