Arkadiusz Szachniewicz wydzial: Elektronika
CWICZENIE 77
POMIAR ODLEGLOSCI OGNISKOWYCH SOCZEWEK
Celem cwiczenia jest zapoznanie sie z procesem wytwarzania obrazow przez soczewki oraz z metodami wyznaczania odleglosci ogniskowych soczewek.
Wiazka promieni, posiadajaca jeden wspolny punkt przeciecia nazywamy wiazka homocentryczna. Przy czym moze to byc wiazka rozchodzaca lub schodzaca.
Osia optyczna ukladu soczewek jest prosta na ktorej leza srodki krzywizn powierzchni soczewek.
Zbior punktow przestrzeni, w ktorej znajduja sie przedmioty nazywamy przestrzenia przedmiotowa.
Zbior obrazow punktow przestrzeni przedmiotowej nazywamy przestrzenia obrazowa.
Odleglosci po stronie przestrzeni obrazowej oznaczamy znakiem "+" natomiast odleglosci po stronie przestrzeni obrazowej ze znakiem "-".

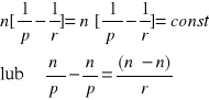
Prawo zalamania dla malych katow: n = ' n'
= -' + '
- = - +
skad:
' = ' -
= -
po podstawieniu:
n ( - ) = n' ( '- )
z rysunku:
- = h / -p
' = h / p
= h / r
Laczac wszystko otrzymujemytak zwany niezmiennik Abbego:

Istnieje pewna odleglosc p = f taka, ze p' = " . Odleglosc ta nazwana jest ogniskowa przedmiotowa powierzchni zalamania.
Punkt F z ktorego promienie wychodza aby po zalamaniu stac sie wiazka rownolegla nazywa sie ogniskiem przedmiotowym.
![]()
Podobnie, jezeli p = " to p' = f ' - odleglosc ogniskowa obrazowa f ' :
![]()
Punkt F' w ktorym wiazka promieni rownoleglychdo osi optycznej zbiera sie po zalamaniu, nazywa sie ogniskiem obrazowym
Z powyzszych rownan wynika: ![]()
(dla powierzchi wypuklej r > 0, f < 0 )
Metody pomiarowe ogniskowych soczewek:
1.Metoda Bessela:
Stosowana do pomiaru ogniskowych soczewek skupiajacych. We wzorze soczewkowym: ![]()
wielkosci p i p' wystepuja symetrycznie. Wzwiazku z tym mozna znalezc takie dwa polozenia soczewki, ze na ekranie otrzymamy raz obraz powiekszony, raz pomniejszony.
d- odleglosc przedmiotu od ekranu
c-odleglosc miedzy polozeniemi soczewki
d=-p+p'
c=-p-p' lub c=p'-(-p)
Podstawiajac do wzoru soczewkowego otzrymamy:
![]()
Aby ten wzor mial sens musi byc spelniony warunek ![]()
Wynika z tego, ze metoda Bessela moze byc stosowana do pomiarow przy odleglosci soczewek >4f .
By ustalic ogniskowa soczewki rozpraszajacej nalezy zestawic ja z soczewka skupiajaca (ktorej ogniskowa znamy), tak aby uklad twozyl s sumie uklad soczewkowy skupiajacy.
Ogniskowa wyznaczamy wtedy ze wzoru: ![]()
Metoda okularu mokrometrycznego i kolimatora:
Ta metoda takze pozwala na pomiar ogniskowych soczewek skupiajacych.
L-oswietlacz
P-plytka ogniskowa z podzialka
K-kolimator
Sk-obiektyw kolimatora
S-badana soczewka
OK-okular mikrometryczny
Jezeli skala na plytce ogniskowej kolimatora zostanie oswietlona, rozbiezna wiazka swiatla ze zrodla L, to po przejsciu przez obiektyw koli,matorawiazka ta bedzie rownolegla i dalej zostanie skupiona poprzez badana soczewke (s). W jej plaszczyznie obniskowej powstanie obraz kresek skali kolimatora, ktory mozna ogladac przez okular mikromrtryczny, w ktorego plaszczyznie ogniskowej znajduje sie plytka z nacietym krzyzem.
Na podstawie podobienstwa trojkatow mozna napisac;

k-odleglosc miedzy kreskami podzialki
-kat utworzony przez promienie wychodzace z punktu A na skali kolimatora z kierunkiem osi optycznej ukladu.
o-odleglosc katowa miedzy kolejnymi kreskami numerowanymi na skali.
![]()
poniewaz ramiona krzyza okularu mikrometrycznego ustawione byly pod katem 45° do kierunku ich przesuwu.
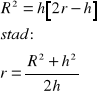
Metoda krzywizn:
Polega na pomiarze promieni krzywizny powierzchni soczewki.
Do tego pomiaru sluzy przyrzad zwany sferometrem.
Mierzy on strzalke h czaszy kulistej o znanej srednicy podstawy rownej 2R (wymyszonej przez wielkosc sferometru)


Znajac promienie krzywizn oby powierzchni soczewki i wartosci wspolczynnika zalamania swiatla w szkle soczewki (n) mozna obliczyc jej ogniskowa ze wzoru:
![]()
(gdzie r1,r2-promienie krzywizn powierzchni soczewki,
n,n'-wspolczynniki zalamania osrodkow (soczewki i
powietrza)
POMIARY:
Metoda Bessela:
Dla soczewki 1:
d=60cm
POMIAR |
C1 |
C2 |
1 |
45.7 |
17.6 |
2 |
45.3 |
18.0 |
3 |
45.6 |
18.0 |
SREDNIA |
45.53 |
17.86 |
C=C1-C2=27.66 cm C=0.2 cm
f1=11.81 cm f1=0.5(c/d)=0.05 cm
d=90cm
POMIAR |
C1 |
C2 |
1 |
77.3 |
15.9 |
2 |
77.4 |
16.0 |
3 |
77.5 |
15.8 |
SREDNIA |
77.40 |
15.90 |
C=C1-C2=61.5 cm C=0.2 cm
f2=11.99 cm f2=0.5(c/d)=0.07 cm
f=0.5(f1+f2)=11.9 cm f=0.5(f1+f1)=0.06 cm
f=(11.9±0.06) cm
Metoda okularu mokrometrycznego i kolimatora:
Dla soczewki 1:
![]()
d=0.01 mm x'=d/1.414=0.007 ![]()
k |
5 |
10 |
15 |
d [mm] |
5 |
10 |
15 |
x' [mm] |
0.799 |
1.556 |
0.231 |
[ '] |
24.5 |
43 |
64.5 |
f [cm] |
12.776 |
12.436 |
12.285 |
f [cm] |
0.113 |
0.0565 |
0.038 |
f=12.499 cm f=0.69 cm
f1=(12.5±0.69) cm
Dla ukladu soczewek:
k |
2 |
4 |
6 |
d [mm] |
160 |
316 |
477 |
x' [mm] |
1.131 |
2.234 |
3.373 |
[ '] |
8.6 |
17.2 |
25.8 |
f [cm] |
452.25 |
446.60 |
449.42 |
f [cm] |
0.28 |
0.14 |
0.09 |
f=449.4 cm f=0.2 cm
f12=(449.4±0.2) cm
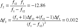
![]()
skad: 
f2=(-12.860±0.002) cm
Metoda promieni krzywizn:
Dla soczewki 1 (skupiajacej):
powierzchnia wypukla:
2R=25mm
h1=(2.11±0.1)mm
r1 =38.08mm
powierzchnia wklesla:
2R=35mm
h2=(-1.64±0.1)mm
r 2=-94.19mm
![]()
Stad: f1=(12.29±0.08) cm
Dla soczewki 2 (rozpraszajacej):
powierzchnia wklesla 1:
2R=35mm
h1=(-0.92±0.1)mm
r 1=-166.90mm
powierzchnia wklesla 2:
2R=35mm
h2=(-0.87±0.1)mm
r 2=-176.44mm
![]()
Stad: f2=(-13.50±0.07) cm
WNIOSKI:
Podczas pomiarow okazalo sie, ze wykonanie pomiaru ogniskowej ukladu soczewek przy pomocy metody Bessela nie bylo mozliwe, poniewaz odleglosc jaka musiala by byc miedzy polozeniami ukladu soczewek byla tak duza, ze nie miescila sie na na lawie pomiarowej. W zwiaszku z tym pomiaru nie przeprowadzilismy.
Metoda Bessela jest najdokladniejsza metoda sposrod stosowanych podczas cwiczenia.
Bledy zostaly wyliczone w oparciu o metode rozniczki zupelnej. Wplywaly na nie niedokladnosci zwiazane ze znalezieniem ostrego obrazu na eklanie, niedokladnosc zwiazana z pominieciem grubosci soczewek.
Na bezposredni pomiar ogniskowej soczewki rozpraszajacej (bez koniecznosci skladania jej z soczewka skupiajaca) pozwalala tylko metoda promieni krzywizn powierzchni soczewki.