Zachodniopomorski Uniwersytet Technologiczny w Szczecinie
Wydział Nauk o Żywności i Rybactwa
Zakład Opakowalnictwa i Biopolimerów
I N S T R U K C J A
Ć W I C Z E N I E 12
Węglowodory
1. SPRZĘT |
1.1 Mieszadło magnetyczne
1.2 Rurki szklane
1.3 Probówki z korkiem i szklana rurką
1.4 2 Naczyńka wagowe
1.5 Statyw z uchwytami i łapami
1.6 Kolbki stożkowe
1.7 Probówki
1.8 Zapałki
3. CEL ĆWICZENIA |
Celem ćwiczenia jest otrzymanie acetylenu oraz zbadanie najważniejszych właściwości węglowodorów.
4. WĘGLOWODORY |
Węglowodory są podstawowymi związkami organicznymi. Ich cząsteczki składają się wyłącznie z węgla (C) i wodoru (H). Węglowodory ze względu na budowę dzielimy na kilka grup, które przedstawiono na poniższym rysunku:

4.1 ALKANY
Są grupą węglowodorów, w których pomiędzy atomami węgla tworzącymi cząsteczkę występują tylko wiązania pojedyncze. Wzór ogólny CnH2n+2.
Alkany o łańcuchach prostych tworzą szereg homologiczny, w którym każdy następny w kolejności węglowodór ma o jedną grupę (metylowa) -CH2 więcej. Szereg homologiczny alkanów rozpoczyna metan o wzorze sumarycznym CH4. Poniżej przedstawiono szereg homologiczny alkanów.
Wzór ogólny - CnH2n+2 |
|
Wzór |
Nazwa alkanu |
CH4 |
Metan |
C2H6 |
Etan |
C3H8 |
Propan |
C4H10 |
Butan |
C5H12 |
Pentan |
C6H14 |
Heksan |
C7H16 |
Heptan |
C8H18 |
Oktan |
C9H20 |
Nonan |
C10H22 |
Dekan |
Poniżej przedstawiono modele cząsteczek niektórych alkanów:



Obok alkanów o łańcuchach prostych występują alkany o łańcuchach rozgałęzionych.
Alkany rozgałęzione to węglowodory w cząsteczkach których możemy wyróżnić główny łańcuch węglowy i podstawniki. Podstawniki tworzą rozgałęzienia.


Przykłady węglowodorów rozgałęzionych:
2,3-dimetylobutan

Czerwonym kolorem zaznaczono łańcuch główny, czarnym podstawniki.
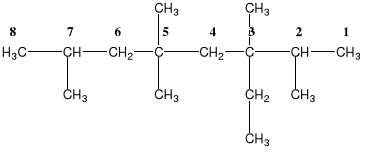
3-etylo-2,3,5,5,7-pentametylooktan

Za łańcuch główny przyjmuje się tu najdłuższy z możliwych łańcuchów węglowych,
o największej liczbie podstawników.
Atomom węgla tworzącym łańcuch główny nadaje się numerację tak, by atomy zawierające podstawniki miały jak najniższe wartości. Jeżeli zasada, jak w przypadku powyższego związku, nie znajduje zastosowania, to numerację rozpoczyna się od tego końca cząsteczki, od którego wcześniej pojawi się kolejny podstawnik.
Powtarzające się łańcuchy boczne określa się przedrostkami: di-, tri, tetra-,.
Tworząc nazwę związku, podstawniki wymienia się w kolejności alfabetycznej. Reguła nie uwzględnia przedrostków. Tak np. pięć podstawników metylowych implikuje nazwę 2,3,5,5,7-pentametylo... ale istotna jest jedynie pierwsza litera nazwy podstawnika (tzn. „m” a nie „p”).
Cząsteczki alkanów o łańcuchach rozgałęzionych zawierają atomy węgla o różnej rzędowości, tj. różnej liczbie atomów węgla połączonych z rozpatrywanym węglem.

Atom węgla może być I-rzędowy (węgiel jest połączony tylko z jednym atomem węgla- jak w przypadku etanu), II-rzędowy, III-rzędowy, IV rzędowy (gdy wszystkie cztery wiązania rozpatrywanego atomu węgla są tworzone z atomami węgla).
Przedstawiona powyżej cząsteczka 3-etylo-2,3,5,5,7-pentametylooktanu zawiera dwa węgle IV-rzędowe, dwa węgle III-rzędowe, trzy węgle II-rzędowe i osiem węgli I-rzędowych.
4.1.1 Metody otrzymywania alkanów
Metoda Dumasa - prażenie soli sodowych kwasów karboksylowych z wodorotlenkiem sodu.
Przykładem jest synteza n-heptanu z soli sodowej kwasu oktanowego.

Metoda Wurtza - działanie metalicznego sodu na fluorowcoalkany.
Przykładem jest synteza n-dekanu z 1-jodopentanu.

Addycja wodoru do wiązań nienasyconych węglowodorów (uwodornienie).
Przykładem jest synteza butanu z 2-butynu.

4.1.2 Właściwości fizyczne alkanów
Właściwości fizyczne alkanów są zależne od liczby atomów węgla w cząsteczce. Alkany posiadające:
od 1 do 4 atomów węgla - są gazami (gaz ziemny)
od 5 do 17 atomów węgla - są cieczami (benzyny)
więcej jak 18 atomów węgla - są ciałami stałymi (parafina)
Wszystkie alkany są nierozpuszczalne w wodzie, natomiast dobrze w rozpuszczalnikach organicznych. Dobrze palą się, stąd wykorzystanie ich jako paliwa.
4.1.3 Właściwości chemiczne alkanów - reakcje
Węglowodory nasycone wykazują bardzo małą reaktywność, co wynika z trwałości wiązań (duża energia wiązań). Są odporne na działanie mocnych kwasów i zasad, a także utleniaczy.
Spalanie
Np. spalanie metanu (reakcja z tlenem z powietrza)
CH4 + 2O2 → CO2 + 2H2O
Przy niedostatecznym dostępie powietrza produktem reakcji jest tlenek węgla (czad) - CO. Oto przebieg reakcji
2CH4 + 3O2 → 2CO + 4H2O
lub
CH4 + O2 → C + 2H2O
Podobnie spalają się pozostałe alkany.
Fluorowcowanie
Przykładem jest synteza 2-chloropropanu przez chlorowanie propanu.

Fluorowcoalkany są związkami reaktywnymi. Tworzenie alkoholi, amin, nitryli itp. odbywa się przez podstawienie atomu fluorowca odpowiednią grupą funkcyjną.
Nitrowanie
Przykładem jest synteza 3,4-dimetylonitroheksanu z 3,4-dimetyloheksanu.

4. Sulfonowanie
Przykładem jest synteza kwasu 4-etylo-3-metyloheksylosulfonowego z 4-etylo-3-metyloheksanu.

4.1.4 Cykloalkany
Są grupą węglowodorów, których cząsteczki zawierają pierścienie zbudowane z atomów węgla połączonych pojedynczymi wiązaniami.
Nazwy cykloalkanów tworzy się przez dodanie przedrostka -cyklo. Poniżej przedstawiono wzory strukturalne cykloalkanów:
|
|
4.2 ALKENY
Są grupą węglowodorów łańcuchowych posiadających wiązanie podwójne. Wzór ogólny CnH2n. Metan nie ma swojego przedstawiciela w tej grupie.
Każdy kolejny alkan ma odpowiednik, którego nazwę tworzy się przez zamianę końcówki „-an” alkanu na „-en” alkenu. W ten sposób powstają nazwy kolejnych alkenów
o łańcuchach prostych: eten, propen, 1-buten, 2-buten, itd. Cyfra w nazwie alkenu wskazuje na numer węgla, przy którym występuje wiązanie podwójne.
Szereg homologiczny alkenów
Wzór ogólny - CnH2n |
||
Wzór |
Nazwa alkenu |
Nazwa odpowiedniego alkanu |
C2H4 |
Eten |
Etan |
C3H6 |
Propen |
Propan |
C4H8 |
Buten |
Butan |
C5H10 |
Penten |
Pentan |
C6H12 |
Heksen |
Heksan |
C7H14 |
Hepten |
Heptan |
C8H16 |
Okten |
Oktan |
C9H18 |
Nonen |
Nonan |
C10H20 |
Deken |
Dekan |
Wzory strukturalne niektórych alenów:
a) 1-penten b) 1-propen
H H H H
C ═ C _ C _ C _ C _ H
H H H H H
c) 2-buten
H H H H
H _ C _ C ═ C _ C _H
H H
Nazwy alkenów rozgałęzionych tworzy się po uprzednim ustaleniu łańcucha głównego i odpowiednim ponumerowaniu tworzących go atomów węgla. Numerację rozpoczyna się od tego końca cząsteczki, bliżej którego jest wiązanie podwójne.
Przykładem alkenu o łańcuchu rozgałęzionym jest 6,7,9,9-tetrametylo-4-deken.

4.2.1 Metody otrzymywania alkenów:
Dehydratacja alkoholi (przykład: synteza 1-butenu z 1-butanolu)

Eliminacjia fluorowcowodoru z fluorowcoalkanów (np.)

4.2.2 Właściwości chemiczne alkenów
Alkeny ulegają reakcjom:
Addycji fluorowcowodorów i cząsteczek fluorowców.
Przykładami są synteza 2-bromobutanu z 1-butenu oraz synteza 1,2-dibromobutanu z 1-butenu


Uwodornieniu
Przykładem jest synteza butanu z 1-butenu

Utlenieniu np.:
- synteza 1,2-butanodiolu z 1-butenu

-utlenianie etenu- reakcji tej towarzyszy odbarwienie roztworu KMnO4 - reakcja ta jest wykorzystywana do odróżniania alkenów od alkanów

4. Polimeryzacji
Przykładem jest synteza poli(1-butenu) z 1-butenu

4.3 ALKINY
Są grupą węglowodorów łańcuchowych zawierających jedno wiązanie potrójne. Wzór ogólny CnH2n-2.
Nazwę tworzy się przez dodanie do rdzenia nazwy alkanu, o identycznej z danym alkinem liczbie atomów węgla, końcówki „-yn”. Przykładowe nazwy: etyn (acetylen), propyn, 1-butyn, 2-butyn. Cyfra przed nazwą wskazuje pierwszy atom węgla w łańcuchu, który ma wiązanie potrójne.
Szereg homologiczny alkinów
Wzór ogólny - CnH2n-2 |
||
Wzór |
Nazwa alkenu |
Nazwa odpowiedniego alkanu |
C2H2 |
Etyn |
Etan |
C3H4 |
Propyn |
Propan |
C4H6 |
Butyn |
Butan |
C5H8 |
Pentyn |
Pentan |
C6H10 |
Heksyn |
Heksan |
C7H12 |
Heptyn |
Heptan |
C8H14 |
Oktyn |
Oktan |
C9H16 |
Nonyn |
Nonan |
C10H18 |
Dekyn |
Dekan |
Wzory strukturalne niektórych alkinów:
a) etyn b) 1-propyn
H H
C ≡ C
c) 1-butyn
Do rodziny alkinów zalicza się również węglowodory o łańcuchach rozgałęzionych. Przykładem może być 4,7-dimetylo-2-nonyn

Numerowanie łańcucha głównego rozpoczyna się od końca cząsteczki, bliżej którego zlokalizowane jest wiązanie potrójne. Jeżeli cząsteczka posiada obok wiązań potrójnych także wiązania podwójne, to numerowanie łańcucha głównego rozpoczyna się od tego końca cząsteczki, bliżej którego znajduje się pierwsze z wiązań wielokrotnych. Za przykład niech posłuży 3-metylo-1-hepten-5-yn.

4.3.1 Metody otrzymywania alkinów:
Eliminacji z cząsteczki difluorowcoalkanu dwu atomów fluorowca, przyłączonych do sąsiadujących atomów.
Przykład stanowi synteza 2-pentynu z 2,3,-dichloropentanu.

Hydrolizy węglika wapnia (otrzymywanie etynu).
![]()
4.3.2 Właściwości chemiczne
Alkiny są bardzo reaktywną grupą związków.
Ulegają reakcjom:
Addycji cząsteczki fluorowca lub fluorowcowodoru. Za przykład służy synteza
3,4- dibromo-2-metyloheksenu oraz 4-bromo-2-metyloheksenu z 2-metylo-3-heksynu


Uwodornienia (za przykład służy synteza 2-metylo-3-heksenu z 2-metylo-3-heksynu)

Utlenienia (za przykład służy synteza 2-metylo-4-heksanonu [ketonu etylowo-2-
metylopropylowego] z 2-metylo-3-heksynu)

4.4 WĘGLOWODORY AROMATYCZNE
Są grupą węglowodorów, których cząsteczki mają budowę pierścieniową i zawierają wiązanie zdelokalizowane pomiędzy wszystkimi atomami węgla tworzącymi pierścień.
Najprostszym przedstawicielem tej grupy związków jest benzen o wzorze sumarycznym C6H6.

Inne związNajprostszą pochodną benzenu jest toluen, w którym jeden z atomów wodoru został zastąpiony grupą metylową
.
|
|
matyczne: toluen
4.4.1 Właściwości chemiczne benzenu
Benzen ulega reakcjom substytucji, do których zalicza się reakcje chlorowania, nitrowania, sulfonowania, alkilowania, acylowania oraz reakcjom addycji, do których zalicza się chlorowanie i uwodornienie.
Doświadczalne badanie własciwości węglowodorów aromatycznych nie jest zaprojektowane ze względu na wysoką szkodliwość i kancerogenność przedstawicieli tej grupy.
5. WYKONANIE ĆWICZENIA |
UWAGA ĆWICZENIA STUDENCI PRZEPROWADZAJĄ
POD KONTROLĄ PROWADZĄCEGO!!!!
5.1 Zachowanie się przykładowych węglowodorów wobec nadmanganianu VII potasu
Przebieg ćwiczenia:
a) do próbówki nr 1 należy wlać 1 cm3 heptanu;
b) do próbówki nr 2 należy wlać 1 cm3 rozpuszczalnika (n-ksylen);
c) do próbówki nr 1 i nr 2 należy dodać 1 cm3 rozcieńczonego roztworu manganianu VII potasu;
d) zanotować wynik obserwacji (barwa, konsystencja) bezpośrednio po zmieszaniu;
e) do obu próbówek należy dodać 2 - 3 krople rozcieńczonego kwasu siarkowego VI;
f) zawartość w obu próbówkach należy dokładnie wymieszać;
g) należy ponownie zanotować wynik obserwacji po upływie 20 minut ekspozycji
w świetle.
h) o czym świadczy zmiana barwy?
i) proszę napisać równania odpowiednich reakcji.
5.2 Otrzymywanie etynu (acetylenu) i badanie jego właściwości
Przebieg ćwiczenia:
do probówki nr1 wrzucamy jeden kawałek węglika wapnia
wlewamy 2 cm3 mieszaniny wody z alkoholem etylowym (w stosunku 1:1) - dodatek etanolu ma na celu „rozcieńczenie” wody, ponieważ z czystą wodą reakcja przebiega zbyt gwałtownie;
próbówkę należy zatkać korkiem z umieszczoną w nim rurką;
do próbówki nr 2 należy wlać 1 cm3 rozcieńczonego roztworu manganianu VII potasu;
wylot rurki należy umieścić w próbówce nr 2; co zaobserwowano?
za pomocą papierka wskaźnikowego badamy odczyn roztworu poreakcyjnego o czym świadczy takie pH roztworu?
Napisać równania reakcji otrzymywania acetylenu oraz reakcji z manganianem VII potasu.
5.3. Badanie rozpuszczalności i właściwości węglowodorów
a) przygotować 3 zlewki;
b) w kolbce przygotować roztwór wody ze środkiem powierzchniowo czynnym tj. do wody destylowanej należy dodać niewielką ilość np. płynu do mycia naczyń;
c) w każdej zlewce należy umieścić po 5 cm3 heptanu;
d) do pierwszej zlewki należy dodać 20 cm3 wody destylowanej; co zaobserwowano?
e) do drugiej zlewki należy dodać 5 cm3 rozpuszczalnika; co zaobserwowano?
f) do trzeciej zlewki należy dodać 20 cm3 roztworu ze środkiem powierzchniowo czynnym; co zaobserwowano?
g) po 5 minutach należy umieścić każdą ze zlewek na mieszadle magnetycznym i mieszać przez 2 minuty; co zaobserwowano?
h) zlewki odstawić na 5 minut, po upływie tego czasu należy zanotować wynik obserwacji.
i) jakie wnioski można wyciągnąć na temat właściwości fizycznych użytych w ćwiczeniu węglowodorów? (np. gęstość, stan skupienia w temperaturze pokojowej etc.)
Literatura:
John Mc. Murry; Chemia organiczna; WN PWN; Warszawa 2000
H. Marzec; Chemia organiczna; WU ATR; Bydgoszcz 2001
J. D. Roberts, M. C. Caserio; Chemia organiczna; PWN Warszawa 1969
P. Mastalerz; Chemia organiczna; PWN Warszawa 1984
ĆWICZENIA LABORATORYJNE Z CHEMII - ZAGADNIENIA DO KOLOKWIUM
WĘGLOWODORY
Alkany, alkeny i alkiny, budowa cząsteczek, nazewnictwo, homologi, grupy alkilowe (metylowa, etylowa), wiązania pojedyncze, podwójne i potrójne między atomami węgla, rzędowość atomów węgla.
Właściwości fizyczne alkanów, rozpuszczalność w wodzie i węglowodorach, gęstość ciekłych alkanów względem wody, szkodliwość dla środowiska wodnego.
Reakcje alkanów z fluorowcami, reakcja podstawienia, rodniki, łańcuchowy mechanizm wolnorodnikowy.
Reakcje alkenów z fluorowcopochodnymi, reakcja addycji, rola wiązania C=C.
Porównanie reaktywności alkanów i alkenów; trwałość wiązań C-C i C-H w cząsteczkach alkanów, wiązania niespolaryzowane; wiązania σ i
Związki aromatyczne, benzen, budowa cząsteczki, wiązanie zdelokalizowane, związek
z reaktywnością benzenu, aromatyczne podstawienie elektrofilowe.
Przykłady pytań:
Narysować wzory sumaryczne i strukturalne następujących węglowodorów: propanu, propenu, propynu.
Narysować wzór strukturalny 2,2-dietylo-1,3,5- trimetylooktanu, określić rzędowość atomów węgla w tym związku.
Porównać reaktywność alkanów i alkenów; wyjaśnić różnicę na podstawie trwałości wiązań występujących w cząsteczkach węglowodorów nasyconych i nienasyconych.
Scharakteryzować rozpuszczalność alkanów w wodzie; porównać gęstość ciekłych alkanów z wodą; wytłumaczyć dlaczego niebezpieczne dla środowiska wodnego są awarie tankowców.
Porównać reakcję metanu (CH4) i benzenu (C6H6) z bromem; podkreślić i wyjaśnić różnice.
2. ODCZYNNIKI |
2.1. Roztwór KMnO4
2.2. Węglik wapnia - karbid - CaC2
2.3. Heptan
2.4. Rozpuszczalnik - n-ksylen
2.5. Kwas siarkowy VI
2.6. Alkohol etylowy - C2H5OH
H H H
C ≡ C _ C _ C _H
H H
H H
C ≡ C _ C _ H
H
1,2 etandiol (glikol)
H H
C ═ C _ C_ H
H H H

d) butan
e) penten
a) metan
b) etan
c) propan