Laboratorium z Metrologii |
Data wykonania ćwiczenia: 1997.06.06 |
Temat: Ustalanie klasy dokładności narzędzi pomiarowych
|
Grupa 21M”B” Gr. ćwiczeniowa: 2. |
Ćwiczenie wykonywali: Aneta Katanowska Tomasz Ignacak Robert Pałka Piotr Rejman Janusz Stępień Marcin Zembalski |
Ocena: |
Wstęp teoretyczny:
Konieczność oceny narzędzi pomiarowych ze względu na przydatność do wykonywanych pomiarów, wymaga przyjęcia odpowiednich kryteriów ilościowych określających ich właściwości metrologiczne. Szczególne znaczenie mają te własności, które są związane z określeniem dokładności pomiaru. Dokładność pomiaru odgrywa z kolei decydującą rolę w odpowiednim doborze narzędzi pomiarowych w celu uzyskania wyników pomiarów odpowiadających założonym zmiennością wartości mierzonych wielkości.
Do własności metrologicznych związanych z dokładnością pomiarów narzędzia pomiarowego należy zaliczyć: poprawność, wierność, dokładność. Każdej ww. własności odpowiada określony wskaźnik, który pozwala określić ją w sposób ilościowy i tak:
- dla poprawności narzędzia pomiarowego przyjmuje się błąd poprawności;
- dla wierności narzędzia pomiarowego przyjmuje się błąd wierności;
- dla dokładności narzędzia pomiarowego przyjmuje się błąd dokładności.
Poprawność narzędzia pomiarowego jest to wielkość charakteryzująca zdolność narzędzia pomiarowego do wskazania poprawnych wartości wielkości mierzonej bez uwzględnienia błędu wierności wskazań.
Wartość narzędzia pomiarowego jest to właściwość charakteryzująca zdolność narzędzia pomiarowego podawania zgodnych między sobą wskazań dla tej samej wartości wielkości mierzonej, nie biorąc pod uwagę błedów systematycznych o wartościach zmiennych.
Dokładność narzędzia pomiarowego jest to właściwość charakteryzująca zdolność narzędzia pomiarowego do wskazywania wartości bliskich rzeczywistej wartości wielkości mierzonej.
WYNIKI POMIARÓW:
Pomiar płytką wzorcową:
Lp. |
|
Lp. |
|
1 |
0,030 |
26 |
-0,005 |
2 |
0,055 |
27 |
0,065 |
3 |
0,075 |
28 |
0,060 |
4 |
0,078 |
29 |
0,070 |
5 |
-0,010 |
30 |
0,045 |
6 |
-0,055 |
31 |
-0,010 |
7 |
-0,015 |
32 |
-0,030 |
8 |
0,025 |
33 |
0,000 |
9 |
0,040 |
34 |
0,040 |
10 |
0,065 |
35 |
0,065 |
11 |
0,035 |
36 |
0,035 |
12 |
-0,020 |
37 |
0,045 |
13 |
-0,035 |
38 |
-0,075 |
14 |
0,000 |
39 |
-0,030 |
15 |
0,040 |
40 |
-0,057 |
16 |
0,048 |
41 |
-0,005 |
17 |
0,065 |
42 |
0,020 |
18 |
0,068 |
43 |
0,060 |
19 |
0,068 |
44 |
0,055 |
20 |
0,095 |
45 |
-0,033 |
21 |
0,085 |
46 |
0,000 |
22 |
0,070 |
47 |
0,035 |
23 |
0,005 |
48 |
0,055 |
24 |
-0,010 |
49 |
0,045 |
25 |
-0,025 |
50 |
|
Obliczony błąd poprawności:
![]()

![]()
[mm]
![]()
![]()
![]()
[mm]
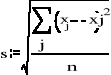
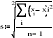
Obliczenia błędu wierności dla zadanego prawdopodobieństwa P
![]()
![]()
![]()
![]()

![]()
[mm]
![]()
![]()
[mm]
Największe możliwe wskazanie mikrometru Wmax= 49.981 [mm].
Obliczenie błędu dokładności mikrometru:
d = ej w
d = -0,026 0.009 [mm]
Pomiar czujnikiem zegarowym:
Lp. |
|
Lp |
|
1 |
49,974 |
26 |
49,977 |
2 |
49,978 |
27 |
49,975 |
3 |
49,975 |
28 |
49,972 |
4 |
49,976 |
29 |
49,976 |
5 |
49,972 |
30 |
49,971 |
6 |
49,981 |
31 |
49,972 |
7 |
49,979 |
32 |
49,977 |
8 |
49,978 |
33 |
49,975 |
9 |
49,980 |
34 |
49,974 |
10 |
49,970 |
35 |
49,975 |
11 |
49,973 |
36 |
49,973 |
12 |
49,979 |
37 |
49,970 |
13 |
49,975 |
38 |
49,971 |
14 |
49,971 |
39 |
49,972 |
15 |
49,970 |
40 |
49,972 |
16 |
49,977 |
41 |
49,978 |
17 |
49,975 |
42 |
49,971 |
18 |
49,972 |
43 |
49,970 |
19 |
49,975 |
44 |
49,972 |
20 |
49,974 |
45 |
49,971 |
21 |
49,977 |
46 |
49,975 |
22 |
49,970 |
47 |
49,971 |
23 |
49,971 |
48 |
49,970 |
24 |
49,978 |
49 |
49,975 |
25 |
49,976 |
50 |
49,970 |

![]()

![]()
![]()
![]()
![]()
![]()
![]()
![]()
![]()
![]()
![]()
![]()
![]()
![]()