PŁYTA JEDNOKIERUNKOWO ZBROJONA
ht = 0,10 m
Obliczenia metodą plastycznego wyrównania momentów
1.Rozpiętości obliczeniowe (w świetle)
l1 = 1,70-0,5⋅0,3 = 1,55 m
l2 = 2,1-0,3 = 1,80 m
2.Obciążenie na 1mb płyty.
q01 = 4,98 kN/m2
q02 = 3,62 kN/m2
po = 9,0 kN/m2
3.Momenty fazy plastycznej (dla zredukowanej belki 5-cio przęsłowej)
Płytę zredukowano do belki 5-cio przęsłowej. Skrajne przęsła belki zostały wstępnie skrócone o około 20% długości względem przęseł wewnętrznych.
-przęsło skrajne

-przęsło wewnętrzne

sprawdzenie warunku

4.Momenty według plastycznego wyrównania momentów.
-przęsło skrajne
![]()
-przęsło wewnętrzne
![]()
5.Dane.
stal A-I fyd = 210000 kPa
beton B-15 fcd = 8000 kPa
wysokość użyteczna płyty d = 0,075 m
6.Zbrojenie.
6.1.Stopień zbrojenia przęsła skrajnego
![]()
z tablic odczytano: ![]()
![]()
6.2. Stopień zbrojenia przęsła wewnętrznego
![]()
z tablic odczytano: ![]()
![]()
6.3.Minimalny stopień zbrojenia
![]()
![]()
warunek spełniony
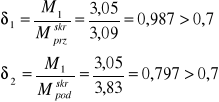
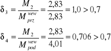
7.Sprawdzenie warunków wytężenia przekrojów.
![]()
(tabela 2.10)
7.1.Dla M1


7.2.Dla M2


Dla obu przęseł δi > 0,7 zatem nie wystąpi redystrybucja momentów. Można stosować metodę plastycznego wyrównania momentów do obliczenia zbrojenia.
8.Wyznaczenie zbrojenia.
![]()
(powierzchnia zbrojenia)
Moment [kNm] |
d [m] |
As [cm2] |
Przyjęte zbrojenie |
3,05 |
0,075 |
2,90 |
4 φ 10 co 25cm (3,16) |
2,83 |
0,075 |
1,79 |
4 φ 10 co 25cm (3,16) |
Przyjęto zbrojenie siatkami z prętami rozdzielczymi φ 6 o rozstawie 25cm
Długość zakładu siatek (zbrojenie podporowe i przęsłowe górne)

lb=28φ (tabela 5.6)
![]()
α∈<1.0 ; 2.0>
![]()
![]()
![]()
Długość zakotwienia siatek gładkich l= 0,30 m
Zasięg zbrojenia górnego (na momenty ujemne przy podporach)
0,25 ⋅ ln = 0,45 m
9. Sprawdzenie nośności na ścinanie.
Warunek ![]()
![]()

![]()
płyta nie wymaga zbrojenia na ścinanie
10. Sprawdzenie ścinania pomiędzy środnikiem i półką.
10.1.Półka w strefie ściskanej (przęsło żebra)
Odległość miejsca momentu zerowego od momentu max. av przyjęto jak dla przęsła skrajnego żebra.
![]()
szerokość współpracująca płyty
![]()
b - rozstaw żeber
![]()
Maksymalna siła podłużna w półce
![]()
Średnia podłużna siła ścinająca na jednostkę długości.

![]()
istnieje zbrojenie wystarczające
10.2.Półka w strefie rozciąganej (podpora żebra)

Na długości beff od lica żebra na górnej i dolnej siatce znajduje się około 3 pręty rozdzielcze φ 6mm (średni rozstaw 25 cm o przekroju
![]()

Istniejące w płycie zbrojenie jest wystarczające dla przeniesienia ścinania pomiędzy środnikiem a półkami
11. Sprawdzenie ugięcia.
![]()
ugięcie nie będzie przekroczone
12. Zarysowania.
Sprawdzenie czy pręty o przyjętej średnicy nie wywołują zarysowania rys większego od dopuszczalnego.
![]()