dr Tadeusz Janaszak (Wrocław tel. 601 566200) UE listy Odcinek 9 (58); Kontynuujemy cykl odcinków poświęconych listom zadań dla WYDZIAŁU ZARZĄDZANIA I FINANSÓW; KIERUNEK FINANSE I RACHUNKOWOŚĆ. Podobne zadania przerabia się na prawie wszystkich zajęciach zarówno w Uniwersytecie Ekonomicznym jak i szkołach prywatnych, jak np. WYŻSZA SZKOŁA BANKOWA, ponadto UNIWRSYTET PRZYRODNICZY, POLITECHNIKA i inne uczelnie, gdzie matematyka jest przedmiotem pomocniczym. Omawiana lista pochodzi z roku akademickiego 2010/2011. Drogą mailową można nadsyłać pytania, zadania, problemy. Zapraszam na konsultacje, najlepiej zadzwonić tel. 601 566200.
LISTA 4
ZADANIE 7
ALGEBRA LINIOWA
W odcinku w omawiamy zadania z rachunku macierzowego. Rozwiązujemy równania, w których niewiadomą jest macierz, lub wektor. Wszystkie przykłady rozwiązujemy metodą macierzy odwrotnej; pokazujemy obliczanie macierzy odwrotnej metodą dopełnień algebraicznych Laplace'a; metoda Gaussa jest prezentowana w innych odcinkach.
Zadanie 1. Przy danych macierzach A i B rozwiązać równanie macierzowe ![]()
, gdzie niewiadomą jest macierz X odpowiednich wymiarów.
Polecenie a) 
; 
.
Macierz X będzie również macierzą kwadratową stopnia 2. Najprostszym sposobem jest obliczyć macierz odwrotną ![]()
; wówczas
![]()
.
Macierze odwrotne istnieją li tylko dla macierzy kwadratowych o wyznaczniku różnym od zera. Ponieważ ![]()
, więc macierz ![]()
istnieje.
Podamy najkrótszy sposób znalezienia macierzy odwrotnej do macierzy kwadratowej stopnia 2; niech zatem:

,
przy czym ![]()
; oznaczmy ![]()
, a zatem zakładamy, że ![]()
.
Macierz ![]()
budujemy w ten sposób, że liczby a i d zamieniamy miejscami, do liczb b i c , a następnie całą macierz dzielimy przez w; oto mamy gotową postać macierzy odwrotnej:

;
sprawdźmy, czy podany wzór jest rzeczywiście prawdziwy:

a więc nic nie stoi na przeszkodzie, by stosować wzór (3).
W podanym poleceniu mamy:

Obliczamy macierz X :
![]()
= 
· 
;
stąd

, czyli 
.
Polecenie b) 
, 
.
W tym wypadku X jest równe macierzy odwrotnej ![]()
danej wzorem (4), co wynika wprost z definicji macierzy odwrotnej; wiemy mianowicie, że macierz odwrotna to taka, która pomnożona przez macierz wyjściową daje w wyniku macierz jednostkową, a przecież B jest macierzą jednostkową.
Polecenie c) 
; 
; ponieważ B jest macierzą jednostkową, którą zwykle oznacza się ją symbolem I, więc rozwiązaniem równania ![]()
jest macierz odwrotna ![]()
; ta istnieje o ile ![]()
; gdyby się okazało, że ![]()
, wówczas podane równanie nie będzie miało rozwiązania; liczymy wyznacznik schematem Sarrusa:
![]()
;
wyznacznik jest różny od zera, więc macierz odwrotna istnieje.
W algebrze mamy dwie metody obliczania macierzy odwrotnej, jedna, to metoda Gaussa, która jest niczym innym, jak znaną nam już metodą przeciwnych współczynników oraz metoda dopełnień algebraicznych Laplace'a. Metodę Gaussa będziemy jeszcze ćwiczyć, zresztą można ją znaleźć w zadaniach podsumowujących sesję egzaminacyjną. Wystarczy poszukać w odcinkach. Teraz zajmiemy się metodą Laplace'a.
Uwaga 1. Wzór (3) dla macierzy stopnia drugiego jest w istocie oparty na metodzie Laplace'a.
Uwaga 2. Metodę Laplace'a warto stosować jedynie do macierzy niewielkich rozmiarów, a więc do stopnia trzy włącznie, od stopnia 4 wzwyż radzę raczej stosować metodę Gaussa; metoda Laplace'a dla wyższych stopni jest niezwykle pracochłonna i czasochłonna. Na egzaminie może się jednak pojawić macierz stopnia trzy, więc warto się tej metody nauczyć; a więc zaczynamy: niech będzie dana macierz A o wyznaczniku różnym od zera:

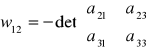
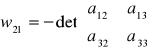
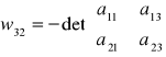
dopełnieniem algebraicznym elementu ![]()
nazywamy liczbę ![]()
która jest iloczynem liczby ![]()
i wyznacznika macierzy stopnia drugiego, która to macierz powstaje przez wykreślenie i - tego wiersz i k - tej kolumny w macierzy A; zauważmy, że ![]()
jest jedynką, jeśli i + k jest liczbą parzystą oraz minus jedynką, jeśli i + k jest liczbą nieparzystą. Zapiszmy w układzie macierzowym:









Zwyczajowo macierz dopełnień algebraicznych Laplace'a oznacza się symbolem ![]()
, oczywiście możemy tę macierz oznaczyć jakkolwiek, bylebyśmy tylko wiedzieli, że jest to macierz dopełnień algebraicznych:

;
kolejny krok algorytmu, to transpozycja macierzy (8); wiersze stają się kolumnami, a kolumny wierszami:

w ostatnim kroku dzielimy macierz ![]()
, czyli każdy wyraz macierzy (10), przez ![]()
i otrzymujemy macierz odwrotną; w tym miejscu widać wagę założenia ![]()
. Zapiszmy:
![]()
, czyli 
.
Przećwiczymy poznany algorytm na przykładzie podanej macierzy

;
wcześniej obliczyliśmy ![]()
, obliczamy macierz dopełnień algebraicznych Laplace'a:

;
zauważmy, że ![]()
, to nie jest przypadek, w matematyce nie ma przypadków, za to są twierdzenia. Sprawdźcie, jak jest w innych przykładach. Teraz transponujemy macierz (12)

;
ostatni krok: dzielimy każdy wyraz macierzy przez 6:

;
To, że policzyliśmy macierz odwrotną, nie znaczy, że możemy spocząć na laurach; trzeba sprawdzić czy iloczyn macierzy wyjściowej i odwrotnej rzeczywiście daje macierz jednostkową, a zatem sprawdzajmy:

· 
= 
;
teraz dopiero możemy uważać zadanie za zakończone. Pamiętajmy; przy obliczaniu macierzy odwrotnej zawsze trzeba sprawdzić czy ![]()
; dzięki temu student uniknie przykrych niespodzianek na kolokwium, lub egzaminie.
Polecenie d) 
, 
; wyznacznik macierzy A jest różny od zera, więc równanie będzie miało jednoznaczne rozwiązanie, będzie to macierz o jednej kolumnie i dwu wierszach, czyli po prostu wektor - kolumna. Obliczamy macierz odwrotną identycznie, jak w poleceniu a: ![]()
; zgodnie z wzorem (3) macierz odwrotna wynosi:

;
równanie ![]()
ma zatem rozwiązanie ![]()
, czyli

· ![]()
,
czyli

= 
,
stąd

;
sprawdzenie:

· ![]()
= ![]()
OK.
Polecenie e) 
, 
; najpierw obliczymy wyznacznik macierzy A; pozwoli to ocenić, czy zadanie będziemy mogli rozwiązać metodą macierzy odwrotnej:

;
![]()
, a zatem istnieje macierz odwrotna ![]()
; obliczymy ją stosując metodę dopełnień algebraicznych Laplace'a; zaczynamy od macierzy dopełnień:

;
widzimy, że ![]()
, czyli ![]()
; wyszło podobnie, jak w przykładzie c, a mówiliśmy, że to nie przypadek, to jednak jest sprawa marginalna; transponujemy macierz dopełnień (20):

;
zgodnie z wzorem (10) zapisujemy macierz odwrotną:
![]()
· 
, czyli 
;
sprawdzenie macierzy odwrotnej:
![]()
= 
· 
= 
.
Teraz możemy znaleźć wektor ![]()
:

· ![]()
= ![]()
;
sprawdzenie wyniku:

· ![]()
= ![]()
;
odpowiedź:

.
Polecenie f) 
; 
; macierz A jest taka sama, jak w poprzednim przykładzie, w związku z tym
![]()
= 
· ![]()
= ![]()
;
odpowiedź:

.
Komentarz. Jeśli prawa strona równania ![]()
jest wektorem zerowym, a macierz A jest kwadratowa, wówczas jeśli ![]()
, to w odpowiedzi wystąpi również wektor zerowy; ponieważ istnieje macierz odwrotna, to ![]()
, powyższy przykład jest znakomitą tego faktu ilustracją.
Czytelnik zapewne zauważył, że ostatni przykład, to nic innego, jak jednorodny układ trzech równań liniowych z trzema niewiadomymi; jeśli wyznacznik takiego układu jest różny od zera, wówczas układ jest oznaczony i jedynym rozwiązaniem tego układu jest wektor zerowy. Rezultat ten oczywiście przenosi się na układy jednorodne: n równań z n niewiadomymi.
Koniec listy 4 i tego odcinka.
Każdy wie, co to jest schemat Sarrusa, jeśli nie wie, niech się dowie, lub napisze maila.
Zwyczajowo pierwszy indeks oznacza numer wiersza, drugi indeks numer kolumny; tutaj mamy i - ty wiersz i k - tą kolumnę.
Czasami mówi się o parzystości miejsca w macierzy; jeśli numer wiersza i numer kolumny sumują się do liczby parzystej, mówi się, że miejsce jest parzyste, jeśli do nieparzystej mówimy, że miejsce jest nieparzyste. Dopełnienie algebraiczne Laplace'a powstaje w ten sposób, że dla miejsc parzystych nie zmieniamy znaku wyznacznika podmacierzy, a dla miejsc parzystych znak podmacierzy zmieniamy na przeciwny.
1