1.Wstęp teoretyczny.
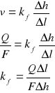
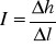
Celem naszego ćwiczenia jest wyznaczenie współczynnika filtracji ośrodka porowatego K umieszczonego w kolumnie . W celu zrealizowania ćwiczenia posłużyć musieliśmy się prawem Darcy'ego , które mówi że
v~I
Czyli prędkość przepływu jest wprost proporcjonalna do spadku hydraulicznego , gdzie
![]()
a pełen zapis zależności ma postać

gdzie:
kf- wsp. filtracji
Q- natężenie przepływu
F- powierzchnia wew. przekroju filtra .
Δh- różnica poziomów piezometrów
Δl - różnica wysokości
Ćwiczenie realizujemy puszczając wodę przez filtr dla kolejno różnych natężeń i odczytując różnice wysokości ciśnień występującą na zadanym odcinku . Czyli mierzymy spadek ciśnienia na filtrze .
2.Opis zestawu laboratoryjnego .
Zbiornik wyrównawczy.
dopływ do złoża z zaciskiem na przewodzie
złoże filtracyjne
rotametr
rurki piezometryczne
śruba odpowietrzająca.
Tabela pomiarowa.
Nr. |
Przepływ , Q , [m3/s] |
Różnica wskazań manometrów, m
|
1 |
7,8*10-5 |
225*10-3 |
2 |
7,8*10-5 |
218*10-3 |
3 |
7,8*10-5 |
223*10-3 |
4 |
7,8*10-5 |
218*10-3 |
5 |
7,8*10-5 |
218*10-3 |
6 |
6,4*10-5 |
177*10-3 |
7 |
6,4*10-5 |
174*10-3 |
8 |
6,4*10-5 |
175*10-3 |
9 |
6,4*10-5 |
155*10-3 |
10 |
6,4*10-5 |
160*10-3 |
11 |
5,0*10-5 |
128*10-3 |
12 |
5,0*10-5 |
128*10-3 |
13 |
5,0*10-5 |
130*10-3 |
14 |
5,0*10-5 |
119*10-3 |
15 |
5,0*10-5 |
126*10-3 |
16 |
3,6*10-5 |
87*10-3 |
17 |
3,6*10-5 |
84*10-3 |
18 |
3,6*10-5 |
90*10-3 |
19 |
3,6*10-5 |
86*10-3 |
20 |
3,6*10-5 |
85*10-3 |
21 |
2,2*10-5 |
49*10-3 |
22 |
2,2*10-5 |
50*10-3 |
23 |
2,2*10-5 |
51*10-3 |
24 |
2,2*10-5 |
46*10-3 |
25 |
2,2*10-5 |
48*10-3 |
4.Obliczenia.
Nr. |
Δh , m |
Δhśr , m
|
kf , [m/s] |
1 |
225*10-3 |
0,22 |
|
2 |
218*10-3 |
|
|
3 |
223*10-3 |
|
|
4 |
218*10-3 |
|
|
5 |
218*10-3 |
|
|
6 |
177*10-3 |
0,17 |
|
7 |
174*10-3 |
|
|
8 |
175*10-3 |
|
|
9 |
155*10-3 |
|
|
10 |
160*10-3 |
|
|
11 |
128*10-3 |
0,13 |
|
12 |
128*10-3 |
|
|
13 |
130*10-3 |
|
|
14 |
119*10-3 |
|
|
15 |
126*10-3 |
|
|
16 |
87*10-3 |
0,09 |
|
17 |
84*10-3 |
|
|
18 |
90*10-3 |
|
|
19 |
86*10-3 |
|
|
20 |
85*10-3 |
|
|
21 |
49*10-3 |
0,05 |
|
22 |
50*10-3 |
|
|
23 |
51*10-3 |
|
|
24 |
46*10-3 |
|
|
25 |
48*10-3 |
|
|
D=13*10-2 m
Δl=80*10-2 m

![]()

kfś= 921,28 ![]()
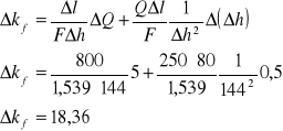
5.Pomiar błędów

kf=921,28 +-18,36 ,![]()
1
21
5
6
3
4
l
D
Trzeba zamienić na m/s
Trzeba zamienić na m/s
Trzeba zamienić na m/s