Chapter 14
FLOW IN PIPES
Laminar and Turbulent Flow
14-1C Liquids are usually transported in circular pipes because pipes with a circular cross-section can withstand large pressure differences between the inside and the outside without undergoing any significant distortion.
14-2C Reynolds number is the ratio of the inertial forces to viscous forces, and it serves as a criteria for determining the flow regime. At large Reynolds numbers, for example, the flow is turbulent since the inertia forces are large relative to the viscous forces, and thus the viscous forces cannot prevent the random and rapid fluctuations of the fluid. It is defined as follows:
(a) For flow in a circular tube of inner diameter D: ![]()
(b) For flow in a rectangular duct of cross-section a × b: ![]()
where is the hydraulic diameter.
14-3C Reynolds number is inversely proportional to kinematic viscosity, which is much larger for water than for air (at 25°C, air = 1.562×10-5 m2/s and water = / = 0.891×10-3/997 = 8.9×10-5 m2/s). Therefore, noting that Re = VD/, the Reynolds number will be higher for motion in air for the same diameter and speed.
14-4C Reynolds number for flow in a circular tube of diameter D is expressed as
![]()
where ![]()
Substituting,
![]()
14-5C Engine oil requires a larger pump because of its much larger density.
14-6C The generally accepted value of the Reynolds number above which the flow in a smooth pipe is turbulent is 4000.
14-7C Reynolds number is inversely proportional to kinematic viscosity, which is much larger for water than for air (at 25°C, air = 1.562×10-5 m2/s and water = / = 0.891×10-3/997 = 8.9×10-5 m2/s). Therefore, for the same diameter and speed, the Reynolds number will be higher for air flow, and thus the flow is more likely to be turbulent for air.
14-8C For flow through non-circular tubes, the Reynolds number and the friction factor are based on the hydraulic diameter Dh defined as ![]()
where Ac is the cross-sectional area of the tube and p is its perimeter. The hydraulic diameter is defined such that it reduces to ordinary diameter D for circular tubes since ![]()
.
14-9C The region from the tube inlet to the point at which the boundary layer merges at the centerline is called the hydrodynamic entrance region, and the length of this region is called hydrodynamic entry length. The entry length is much longer in laminar flow than it is in turbulent flow. But at very low Reynolds numbers, Lh is very small (Lh = 1.2D at Re = 20).
14-10C The wall shear stress w is highest at the tube inlet where the thickness of the boundary layer is zero, and decreases gradually to the fully developed value. The same is true for turbulent flow.
14-11C In turbulent flow, the tubes with rough surfaces have much higher friction factors than the tubes with smooth surfaces, and thus much larger pressure drop. In the case of laminar flow, the effect of surface roughness on the friction factor and pressure drop is negligible.
14-12C The wall shear stress w remains constant along the flow direction in the fully developed region in both laminar and turbulent flow.
14-13C The fluid viscosity is responsible for the development of the velocity boundary layer. For the idealized inviscid fluids (fluids with zero viscosity), there will be no velocity boundary layer.
14-14C In the fully developed region of flow in a circular pipe, the velocity profile will NOT change in the flow direction.
14-15C The friction factor for flow in a tube is proportional to the pressure loss. Since the pressure loss along the flow is directly related to the power requirements of the pump to maintain flow, the friction factor is also proportional to the power requirements to overcome friction. The applicable relations are
![]()
14-16C The shear stress at the center of a circular tube during fully developed laminar flow is zero since the shear stress is proportional to the velocity gradient, which is zero at the tube center.
14-17C Yes, the shear stress at the surface of a tube during fully developed turbulent flow is maximum since the shear stress is proportional to the velocity gradient, which is maximum at the tube surface.
14-18C In fully developed flow in a circular pipe with negligible entrance effects, if the length of the pipe is doubled, the head loss will also double (the head loss is proportional to pipe length).
14-19C Yes, the volume flow rate in a circular pipe with laminar flow can be determined by measuring the velocity at the centerline in the fully developed region, multiplying it by the cross-sectional area, and dividing the result by 2 since ![]()
.
14-20C No, the average velocity in a circular pipe in fully developed laminar flow cannot be determined by simply measuring the velocity at R/2 (midway between the wall surface and the centerline). The mean velocity is Vmax/2, but the velocity at R/2 is

, which is much larger than Vmax/2.
14-21C In fully developed laminar flow in a circular pipe, the head loss is given by
![]()
The mean velocity can be expressed in terms of the flow rate as ![]()
. Substituting,
![]()
Therefore, at constant flow rate and pipe length, the head loss is inversely proportional to the 4th power of diameter, and thus reducing the pipe diameter by half will increase the head loss by a factor of 16 .
14-22C In turbulent flow, it is the turbulent eddies due to enhanced mixing that cause the friction factor to be larger.
14-23C Turbulent viscosity t is caused by turbulent eddies, and it accounts for momentum transport by turbulent eddies. It is expressed as ![]()
where ![]()
is the mean value of velocity in the flow direction and ![]()
and ![]()
are the fluctuating components of velocity.
14-24C We compare the dimensions of the two sides of the equation ![]()
,
![]()
,
and the dimension of the constant is
![]()
Therefore, the constant 0.0826 is NOT dimensionless. This is not a dimensionally homogeneous, and it cannot be used in any consistent set of units..
14-25C In fully developed laminar flow in a circular pipe, the pressure loss and the head loss are given by
![]()
and ![]()
When the flow rate and thus mean velocity are held constant, the head loss becomes proportional to viscosity. Therefore, the head loss will be reduced by half when the viscosity of the fluid is reduced by half.
14-26C The head loss is related to pressure loss by ![]()
. For a given fluid, the head loss can be converted to pressure loss by multiplying the head loss by the acceleration of gravity and the density of the fluid.
14-27C During laminar flow of air in a circular pipe with perfectly smooth surfaces, the friction factor will NOT be zero because of the no-slip boundary condition. But it will be minimum compared to flow in pipes with rough surfaces.
14-28C At very large Reynolds numbers, the flow is fully rough and the friction factor is independent of the Reynolds number. This is because the thickness of laminar sublayer decreases with increasing Reynolds number, and it be comes so thin that the surface roughness protrudes into the flow. The viscous effects in this case are produced in the main flow primarily by the protruding roughness elements, and the contribution of the laminar sublayer becomes negligible.
14-29E The pressure readings across a pipe are given. The flow rates are to be determined for 3 different orientations of horizontal, uphill, and downhill flow. "
Assumptions 1 The flow is steady and incompressible. 2 The entrance effects are negligible, and thus the flow is fully developed. 3 The flow is laminar (to be verified). 4 The pipe involves no components such as bends, valves, and connectors. 5 The piping section involves no work devices such as pumps and turbines.
Properties The density and dynamic viscosity of oil are given to be = 56.8 lbm/ft3 and = 0.0278 lbm/ft"s, respectively.
Analysis The pressure drop across the pipe and the cross-sectional area of the pipe are
![]()
(a) The flow rate for all three cases can be determined from
![]()
where is the angle the pipe makes with the horizontal. For the horizontal case, = 0 and thus sin = 0. Therefore,
![]()
(b) For uphill flow with an inclination of 20°, we have = +20°, and
![]()

(c) For downhill flow with an inclination of 20°, we have = -20°, and

The flow rate is the highest for downhill flow case, as expected. The average fluid velocity and the Reynolds number in this case are

which is less than 2300. Therefore, the flow is laminar for all three cases, and the analysis above is valid.
Discussion Note that the flow is driven by the combined effect of pressure difference and gravity. As can be seen from the calculated rates above, gravity opposes uphill flow, but helps downhill flow. Gravity has no effect on the flow rate in the horizontal case. Downhill flow can occur even in the absence of an applied pressure difference.
14-30 Oil is being discharged by a horizontal pipe from a storage tank open to the atmosphere. The flow rate of oil through the pipe is to be determined.
Assumptions 1 The flow is steady and incompressible. 2 The entrance effects are negligible, and thus the flow is fully developed. 3 The entrance and exit loses are negligible. 4 The flow is laminar (to be verified). 5 The pipe involves no components such as bends, valves, and connectors. 6 The piping section involves no work devices such as pumps and turbines.
Properties The density and kinematic viscosity of oil are given to be = 850 kg/m3 and = 0.00062 m2/s, respectively. The dynamic viscosity is calculated to be
![]()
Analysis The pressure at the bottom of the tank is

Disregarding inlet and outlet losses, the pressure drop across the pipe is
![]()
The flow rate through a horizontal pipe in laminar flow is determined from
![]()
The flow rate is the highest for downhill flow case, as expected. The average fluid velocity and the Reynolds number in this case are

which is less than 2300. Therefore, the flow is laminar and the analysis above is valid.
Discussion The flow rate will be even less when the inlet and outlet losses are considered, especially when the inlet is not well-rounded.
14-31 The average flow velocity in a pipe is given. The pressure drop, the head loss, and the pumping power are to be determined. "
Assumptions 1 The flow is steady and incompressible. 2 The entrance effects are negligible, and thus the flow is fully developed. 3 The pipe involves no components such as bends, valves, and connectors. 4 The piping section involves no work devices such as pumps and turbines.
Properties The density and dynamic viscosity of water are given to be = 999.7 kg/m3 and = 1.307×10-3 kg/m"s, respectively.
Analysis (a) First we need to determine the flow regime. The Reynolds number of the flow is
![]()
which is less than 2300. Therefore, the flow is laminar. Then the friction factor and the pressure drop become

(b) The head loss in the pipe is determined from
![]()
(c) The volume flow rate and the pumping power requirements are

Therefore, power input in the amount of 0.71 W is needed to overcome the frictional losses in the flow due to viscosity.
14-32 The flow rate through a specified water pipe is given. The pressure drop, the head loss, and the pumping power requirements are to be determined. "
Assumptions 1 The flow is steady and incompressible. 2 The entrance effects are negligible, and thus the flow is fully developed. 3 The pipe involves no components such as bends, valves, and connectors. 4 The piping section involves no work devices such as pumps and turbines.
Properties The density and dynamic viscosity of water are given to be = 999.1 kg/m3 and = 1.138×10-3 kg/m"s, respectively. The roughness of stainless steel is 0.002 mm (Fig. A-32).
Analysis First we calculate the mean velocity and the Reynolds number to determine the flow regime:

which is greater than 4000. Therefore, the flow is turbulent. The relative roughness of the pipe is
![]()
The friction factor can be determined from the Moody chart, but to avoid the reading error, we determine it from the Colebrook equation using an equation solver (or an iterative scheme),

It gives f = 0.01573. Then the pressure drop, head loss, and the required power input become
![]()
![]()
![]()
Therefore, useful power input in the amount of 1.19 kW is needed to overcome the frictional losses in the pipe.
Discussion The friction factor could also be determined easily from the explicit Haaland relation. It would give f = 0.0155, which is sufficiently close to 0.0157. Also, the friction factor corresponding to = 0 in this case is 0.0153, which indicates that stainless steel pipes in this case can be assumed to be smooth with an error of about 2%. Also, the power input determined is the mechanical power that needs to be imparted to the fluid. The shaft power will be more than this due to pump inefficiency; the electrical power input will be even more due to motor inefficiency.
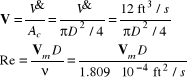
14-33E The flow rate and the head loss in an air duct is given. The minimum diameter of the duct is to be determined. "
Assumptions 1 The flow is steady and incompressible. 2 The entrance effects are negligible, and thus the flow is fully developed. 3 The duct involves no components such as bends, valves, and connectors. 4 Air is an ideal gas. 5 The duct is smooth since it is made of plastic, " 0. 6 The flow is turbulent (to be verified).
Properties The density, dynamic viscosity, and kinematic viscosity of air at 100°F are = 0.07088 lbm/ft3, = 0.04615 lbm/ft"h, and = 0.6512 ft2/s = 1.809×10-4 ft2/s (Table A-22E).
Analysis The average velocity, Reynolds number, friction factor, and the head loss relations can be expressed as (D is in ft, V is in ft/s, Re and f are dimensionless)


![]()
This is a set of 4 equations in 4 unknowns, and solving them with an equation solver gives
D = 0.88 ft, f = 0.0181, V = 19.8 ft/s, and Re = 96,040
Therefore, the diameter of the duct should be more than 0.88 ft if the head loss is not to exceed 50 ft. Note that Re > 4000, and thus the turbulent flow assumption is verified.
The diameter can also be determined directly from the third Swamee-Jain formula to be

Discussion Note that the difference between the two results is less than 2%. Therefore, the simple Swamee-Jain relation can be used with confidence.
14-34 In fully developed laminar flow in a circular pipe, the velocity at r = R/2 is measured. The velocity at the center of the pipe (r = 0) is to be determined. "
Assumptions The flow is steady, laminar, and fully developed.
Analysis The velocity profile in fully developed laminar flow in a circular pipe is given by
![]()
where umax is the maximum velocity which occurs at pipe center, r = 0. At r =R/2,
![]()
Solving for umax and substituting,
![]()
which is the velocity at the pipe center.
14-35 The velocity profile in fully developed laminar flow in a circular pipe is given. The mean and maximum velocities as well as the flow rate are to be determined.
Assumptions The flow is steady, laminar, and fully developed.
Analysis The velocity profile in fully developed laminar flow in a circular pipe is given by
![]()
The velocity profile in this case is given by
![]()
Comparing the two relations above gives the maximum velocity to be umax = 4 m/s. Then the mean velocity and volume flow rate become
![]()
![]()
14-36 The velocity profile in fully developed laminar flow in a circular pipe is given. The mean and maximum velocities as well as the flow rate are to be determined.
Assumptions The flow is steady, laminar, and fully developed.
Analysis The velocity profile in fully developed laminar flow in a circular pipe is given by
![]()
The velocity profile in this case is given by
![]()
Comparing the two relations above gives the maximum velocity to be umax = 4 m/s. Then the mean velocity and volume flow rate become
![]()
![]()
14-37 Air enters the constant spacing between the glass cover and the plate of a solar collector. The pressure drop of air in the collector is to be determined. "
Assumptions 1 The flow is steady and incompressible. 2 The entrance effects are negligible, and thus the flow is fully developed. 3 The roughness effects are negligible, and thus the inner surfaces are considered to be smooth, " 0. 4 Air is an ideal gas. 5 The local atmospheric pressure is 1 atm.
Properties The properties of air at 1 atm and 45° are = 1.109 kg/m3, = 1.941×10-5 kg/m"s, and = 1.750×10-5 m2/s (Table A-22).
Analysis Mass flow rate, cross sectional area, hydraulic diameter, mean velocity of air and the Reynolds number are
![]()
![]()
![]()

which is greater than 4000. Therefore, the flow is turbulent. The friction factor corresponding to this Reynolds number for a smooth flow section (/D = 0) can simply be determined from the Moody chart. To avoid the reading error, we determine it from the Colebrook equation,

It gives f = 0.0271. Then the pressure drop becomes
![]()
Discussion The friction factor could also be determined easily from the explicit Haaland relation. It would give f = 0.0270, which is sufficiently close to 0.0271.
14-38 Oil flows through a pipeline that passes through icy waters of a lake. The pumping power needed to overcome pressure losses is to be determined. "
Assumptions 1 The flow is steady and incompressible. 2 The flow section considered is away from the entrance, and thus the flow is fully developed. 3 The roughness effects are negligible, and thus the inner surfaces are considered to be smooth, " 0.
Properties The properties of oil are given to be = 894 kg/m3 and = 2.33 kg/m"s.
Analysis The volume flow rate and the Reynolds number in this case are
![]()
![]()
which is less than 2300. Therefore, the flow is laminar, and the friction factor is
![]()
Then the pressure drop in the pipe and the required pumping power become

Discussion The power input determined is the mechanical power that needs to be imparted to the fluid. The shaft power will be much more than this due to pump inefficiency; the electrical power input will be even more due to motor inefficiency.
14-39 Laminar flow through a square channel is considered. The change in the head loss is to be determined when the mean velocity is doubled. "
Assumptions 1 The flow remains laminar at all times. 2 The entrance effects are negligible, and thus the flow is fully developed.
Analysis The friction factor for fully developed laminar flow in a square channel is (Table 14-1)
![]()
where ![]()
Then the head loss for laminar flow can be expressed as
![]()
which shows that the head loss is proportional to the mean velocity. Therefore, the head loss doubles when the mean velocity is doubled. This can also be shown as
![]()
Discussion The conclusion above is also valid for laminar flow in channels of different cross-sections.
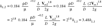
14-40 Turbulent flow through a smooth pipe is considered. The change in the head loss is to be determined when the mean velocity is doubled.
Assumptions 1 The flow remains turbulent at all times. 2 The entrance effects are negligible, and thus the flow is fully developed. 3 The inner surface of the pipe is smooth.
Analysis The friction factor for the turbulent flow in smooth pipes is given as
![]()
where ![]()
Then the head loss of the fluid for turbulent flow can be expressed as
![]()
which shows that the head loss is proportional to the 1.8th power of the mean velocity. Therefore, the head loss increases by a factor of 21.8 = 3.48 when the mean velocity is doubled. This can also be shown as

For fully rough flow in a rough pipe, the friction factor is independent of the Reynolds number and thus the flow velocity. Therefore, the head loss increases by a factor of 4 in this case since
![]()
and thus the head loss is proportional to the square of the mean velocity when f, L, and D are constant.
Discussion Most flows in practice are in the fully rough regime, and thus the head loss is generally assumed to be proportional to the square of the mean velocity for all kinds of turbulent flow.
14-41 Air enters a rectangular duct. The fan power needed to overcome the pressure losses is to be determined. "
Assumptions 1 The flow is steady and incompressible. 2 The entrance effects are negligible, and thus the flow is fully developed. 3 Air is an ideal gas. 4 The duct involves no components such as bends, valves, and connectors. 5 The flow section involves no work devices such as fans or turbines
Properties The properties of air at 1 atm and 35°C are = 1.145 kg/m3, = 1.895×10-5 kg/m"s, and = 1.655×10-5 m2/s (Table A-22). The roughness of commercial steel surfaces is = 0.000045 m (Fig. A-32)
Analysis The hydraulic diameter, the volume flow rate, and the Reynolds number in this case are
![]()
![]()
![]()
which is greater than 4000. Therefore, the flow is turbulent. The relative roughness of the pipe is
![]()
The friction factor can be determined from the Moody chart, but to avoid the reading error, we determine it from the Colebrook equation using an equation solver (or an iterative scheme),

It gives f = 0.02034. Then the pressure drop in the duct and the required pumping power become
![]()
![]()
Discussion The friction factor could also be determined easily from the explicit Haaland relation. It would give f = 0.02005, which is sufficiently close to 0.02034. Also, the power input determined is the mechanical power that needs to be imparted to the fluid. The shaft power will be much more than this due to fan inefficiency; the electrical power input will be even more due to motor inefficiency.
14-42E Water passes through copper tubes at a specified rate. The pumping power required per ft length to maintain flow is to be determined.
Assumptions 1 The flow is steady and incompressible. 2 The entrance effects are negligible, and thus the flow is fully developed. 3 The pipe involves no components such as bends, valves, and connectors. 4 The piping section involves no work devices such as pumps and turbines.
Properties The density and dynamic viscosity of water at 60F are = 62.36 lbm/ft3 and = 2.713 lbm/fth = 7.53610-4 lbm/fts (Table A-15E). The roughness of copper tubing is 510-6 ft (Fig. A-32).
Analysis First we calculate the mean velocity and the Reynolds number to determine the flow regime:

which is greater than 4000. Therefore, the flow is turbulent. The relative roughness of the pipe is
![]()
The friction factor can be determined from the Moody chart, but to avoid the reading error, we determine it from the Colebrook equation using an equation solver (or an iterative scheme),

It gives f = 0.02328. Then the pressure drop and the required power input become
![]()
![]()
Therefore, useful power input in the amount of 0.37 W is needed per ft of tube length to overcome the frictional losses in the pipe.
Discussion The friction factor could also be determined easily from the explicit Haaland relation. It would give f = 0.02305, which is sufficiently close to 0.02328. Also, the friction factor corresponding to = 0 in this case is 0.02306, which indicates that copper pipes can be assumed to be smooth with a negligible error. Also, the power input determined is the mechanical power that needs to be imparted to the fluid. The shaft power will be more than this due to pump inefficiency; the electrical power input will be even more due to motor inefficiency.
14-43 The pressure of oil in a pipe which discharges into the atmosphere is measured at a certain location. The flow rates are to be determined for 3 different orientations.
Assumptions 1 The flow is steady and incompressible. 2 The entrance effects are negligible, and thus the flow is fully developed. 3 The flow is laminar (to be verified). 4 The pipe involves no components such as bends, valves, and connectors. 5 The piping section involves no work devices such as pumps and turbines.
Properties The density and dynamic viscosity of oil are given to be = 876 kg/m3 and = 0.24 kg/ms.
Analysis The pressure drop across the pipe and the cross-sectional area are
![]()
(a) The flow rate for all three cases can be determined from,
![]()
where is the angle the pipe makes with the horizontal. For the horizontal case, = 0 and thus sin = 0. Therefore,
![]()
(b) For uphill flow with an inclination of 8, we have = +8, and

(c) For downhill flow with an inclination of 8, we have = -8, and

The flow rate is the highest for downhill flow case, as expected. The average fluid velocity and the Reynolds number in this case are

which is less than 2300. Therefore, the flow is laminar for all three cases, and the analysis above is valid.
Discussion Note that the flow is driven by the combined effect of pressure difference and gravity. As can be seen from the calculated rates above, gravity opposes uphill flow, but helps downhill flow. Gravity has no effect on the flow rate in the horizontal case.
14-44 Glycerin is flowing through a horizontal pipe which discharges into the atmosphere at a specified flow rate. The absolute pressure at a specified location in the pipe, and the angle that the pipe must be inclined downwards for the pressure in the entire pipe to be atmospheric pressure are to be determined.
Assumptions 1 The flow is steady and incompressible. 2 The entrance effects are negligible, and thus the flow is fully developed. 3 The flow is laminar (to be verified). 4 The pipe involves no components such as bends, valves, and connectors. 5 The piping section involves no work devices such as pumps and turbines.
Properties The density and dynamic viscosity of glycerin at 40°C are given to be = 1252 kg/m3 and = 0.27 kg/ms.
Analysis (a) The flow rate for horizontal or inclined pipe can be determined from
![]()
(1)
where is the angle the pipe makes with the horizontal. For the horizontal case, = 0 and thus sin = 0. Therefore,
![]()
(2)
Solving for P and substituting,

Then the pressure 25 m before the pipe exit becomes
![]()
(b) When the flow is gravity driven downhill with an inclination , and the pressure in the entire pipe is constant at the atmospheric pressure, the hydrostatic pressure rise with depth is equal to pressure drop along the pipe due to frictional effects. Setting P = P1 - P2 = 0 in Eq. (1) and substituting, is determined to be

Therefore, the pipe must be inclined 38° downwards from the horizontal to maintain flow in the pipe at the same rate.
Checking The average fluid velocity and the Reynolds number in this case are

which is less than 2300. Therefore, the flow is laminar, as assumed, and the analysis above is valid.
Discussion Note that the flow is driven by the combined effect of pressure difference and gravity. Gravity has no effect on the flow rate in the horizontal case, but it governs the flow alone when there is no pressure difference across the pipe.
14-45 Air in a heating system is distributed through a rectangular duct made of commercial steel at a specified rate. The pressure drop and head loss through a section of the duct are to be determined.
Assumptions 1 The flow is steady and incompressible. 2 The entrance effects are negligible, and thus the flow is fully developed. 3 Air is an ideal gas. 4 The duct involves no components such as bends, valves, and connectors. 5 The flow section involves no work devices such as fans or turbines.
Properties The roughness of commercial steel surfaces is = 0.000045 m (Fig. A-32). The dynamic viscosity of air at 40°C is = 1.918×10-5 kg/m"s, and it is independent of pressure (Table A-22). The density of air listed in that table is for 1 atm. The density at 105 kPa and 315 K can be determined from the ideal gas relation to be
![]()
Analysis The hydraulic diameter, mean velocity, and Reynolds number are
![]()
![]()
![]()
which is greater than 4000. Therefore, the flow is turbulent. The relative roughness of the duct is
![]()
The friction factor can be determined from the Moody chart, but to avoid the reading error, we determine it from the Colebrook equation using an equation solver (or an iterative scheme),

It gives f = 0.01833. Then the pressure drop in the duct and the head loss become
![]()
![]()
Discussion The required pumping power in this case is
![]()
Therefore, 74 W of mechanical power needs to be imparted to the fluid. The shaft power will be more than this due to fan inefficiency; the electrical power input will be even more due to motor inefficiency. Also, the friction factor could be determined easily from the explicit Haaland relation. It would give f = 0.0181, which is sufficiently close to 0.0183.
14-46 Glycerin is flowing through a smooth pipe with a specified mean velocity. The pressure drop per 10 m of the pipe is to be determined. "
Assumptions 1 The flow is steady and incompressible. 2 The entrance effects are negligible, and thus the flow is fully developed. 3 The pipe involves no components such as bends, valves, and connectors. 4 The piping section involves no work devices such as pumps and turbines.
Properties The density and dynamic viscosity of glycerin at 40°C are given to be = 1252 kg/m3 and = 0.27 kg/ms, respectively.
Analysis The volume flow rate and the Reynolds number are
![]()
![]()
which is less than 2300. Therefore, the flow is laminar, and the friction factor for this circular pipe is
![]()
Then the pressure drop in the pipe becomes
![]()
Discussion The required pumping power in this case is
![]()
Therefore, 0.83 kW of mechanical power needs to be imparted to the fluid. The shaft power will be more than this due to pump inefficiency; the electrical power input will be even more due to motor inefficiency.
14-47 In Prob. 14-46, the effect of the pipe diameter on the pressure drop for the same constant flow rate is to be investigated by varying the pipe diameter from 1 cm to 10 cm in increments of 1 cm.
g=9.81
Vdot=3.5*pi*(0.05)^2/4
Ac=pi*D^2/4
rho=1252
nu=mu/rho
mu=0.27
L=10
V=Vdot/Ac
"Reynolds number"
Re=V*D/nu
f=64/Re
DP=f*(L/D)*rho*V^2/2000 "kPa"
W=Vdot*DP "kW"
D, m |
P, kPa |
V, m/s |
Re |
0.01 0.02 0.03 0.04 0.05 0.06 0.07 0.08 0.09 0.1 |
75600 4725 933.3 295.3 121 58.33 31.49 18.46 11.52 7.56 |
87.5 21.88 9.722 5.469 3.5 2.431 1.786 1.367 1.08 0.875 |
4057 2029 1352 1014 811.5 676.2 579.6 507.2 450.8 405.7 |
14-48E Air is flowing through a square duct made of commercial steel at a specified rate. The pressure drop and head loss per ft of duct are to be determined.
Assumptions 1 The flow is steady and incompressible. 2 The entrance effects are negligible, and thus the flow is fully developed. 3 Air is an ideal gas. 4 The duct involves no components such as bends, valves, and connectors. 5 The flow section involves no work devices such as fans or turbines.
Properties The density and dynamic viscosity of air at 1 atm and 60°F are = 0.07633 lbm/ft3 and = 0.04365 lbm/ft.h, and = 0.5718 ft2/s = 1.58810-4 ft2/s (Table A-22). The roughness of commercial steel surfaces is = 0.00015 ft (Fig. A-32).
Analysis The hydraulic diameter, the mean velocity, and the Reynolds number in this case are
![]()
![]()
![]()
which is greater than 4000. Therefore, the flow is turbulent. The relative roughness of the duct is
![]()
The friction factor can be determined from the Moody chart, but to avoid the reading error, we determine it from the Colebrook equation using an equation solver (or an iterative scheme),

It gives f = 0.0180. Then the pressure drop in the duct and the head loss become
![]()
![]()
Discussion The required pumping power in this case is
![]()
Therefore, 0.232 W of mechanical power needs to be imparted to the fluid per ft length of the duct. The shaft power will be more than this due to fan inefficiency; the electrical power input will be even more due to motor inefficiency. Also, the friction factor could be determined easily from the explicit Haaland relation. It would give f = 0.0178, which is sufficiently close to 0.0180.
14-49 Liquid ammonia is flowing through a copper tube at a specified mass flow rate. The pressure drop, the head loss, and the pumping power required to overcome the frictional losses in the tube are to be determined.
Assumptions 1 The flow is steady and incompressible. 2 The entrance effects are negligible, and thus the flow is fully developed. 3 The pipe involves no components such as bends, valves, and connectors. 4 The piping section involves no work devices such as pumps and turbines.
Properties The density and dynamic viscosity of liquid ammonia at -20C are = 665.1 kg/m3 and = 2.36110-4 kg/ms (Table A-17). The roughness of copper tubing is 1.510-6 m (Fig. A-32).
Analysis First we calculate the mean velocity and the Reynolds number to determine the flow regime:

which is greater than 4000. Therefore, the flow is turbulent. The relative roughness of the pipe is
![]()
The friction factor can be determined from the Moody chart, but to avoid the reading error, we determine it from the Colebrook equation using an equation solver (or an iterative scheme),

It gives f = 0.01819. Then the pressure drop, the head loss, and the useful pumping power required become
![]()
![]()
![]()
Therefore, useful power input in the amount of 1.08 kW is needed to overcome the frictional losses in the tube.
Discussion The friction factor could also be determined easily from the explicit Haaland relation. It would give f = 0.0180, which is sufficiently close to 0.0182. The friction factor corresponding to = 0 in this case is 0.0163, which is about 10% lower. Therefore, the copper tubes in this case are nearly “smooth”.
Also, the power input determined is the mechanical power that needs to be imparted to the fluid. The shaft power will be more than this due to pump inefficiency; the electrical power input will be even more due to motor inefficiency.
14-50 Water is flowing through a brass tube bank of a heat exchanger at a specified flow rate. The pressure drop and the pumping power required are to be determined. Also, the percent reduction in the flow rate of water through the tubes is to be determined after scale build-up on the inner surfaces of the tubes. "
Assumptions 1 The flow is steady, horizontal, and incompressible. 2 The entrance effects are negligible, and thus the flow is fully developed (this is a questionable assumption since the tubes are short, and it will be verified). 3 The inlet, exit, and header losses are negligible, and the tubes involve no components such as bends, valves, and connectors. 4 The piping section involves no work devices such as pumps and turbines.
Properties The density and dynamic viscosity of water at 20C are = 983.3 kg/m3 and = 0.46710-3 kg/ms, respectively (Table A-15). The roughness of brass tubing is 1.510-6 m (Fig. A-32).
Analysis First we calculate the mean velocity and the Reynolds number to determine the flow regime:
![]()
![]()
which is greater than 4000. Therefore, the flow is turbulent. The relative roughness of the pipe is
![]()
The friction factor can be determined from the Moody chart, but to avoid the reading error, we determine it from the Colebrook equation using an equation solver (or an iterative scheme),

It gives f = 0.0214. Then the pressure drop, the head loss, and the useful pumping power required become
![]()
![]()
Therefore, useful power input in the amount of 0.135 kW is needed to overcome the frictional losses in the tube. The hydrodynamic entry length in this case is
![]()
which is much less than 1.5 m. Therefore, the assumption of fully developed flow is valid. (The effect of the entry region is to increase the friction factor, and thus the pressure drop and pumping power).
(14-43 Continued)
After scale buildup: When 1-mm thick scale builds up on the inner surfaces (and thus the diameter is reduced to 0.8 cm from 1 cm) with an equivalent roughness of 0.4 mm, and the useful power input is fixed at 0.135 kW, the problem can be formulated as follows (note that the flow rate and thus the mean velocity are unknown in this case):
![]()
(1)
![]()
(2)
![]()

(3)
![]()
(4)
![]()
(5)
Solving this system of 5 equations in 5 unknown (f, Re, Vm, P, and ![]()
) using an equation solver (or a trial-and-error approach, by assuming a velocity value) gives
f = 0.0723, Re = 28,870, Vm = 1.714 m/s, P = 19.6 kPa, and ![]()
= 0.00689 m3/s = 6.89 L/s
Then the percent reduction in the flow rate becomes
![]()
Therefore, for the same pump input, the flow rate will be reduced to less than half of the original flow rate when the pipes were new and clean.
Discussion The friction factor could also be determined easily from the explicit Haaland relation. Also, the power input determined is the mechanical power that needs to be imparted to the fluid. The shaft power will be more than this due to pump inefficiency; the electrical power input will be even more due to motor inefficiency.
Minor Losses
14-51C The head losses associated with the flow of a fluid through fittings, valves, bends, elbows, tees, inlets, exits, enlargements, and contractions are called minor losses, and are expressed as
![]()
14-52C Equivalent length is the length of a straight pipe which would give the same head loss as the minor loss component. It is related to the minor loss coefficient by
![]()
14-53C The effect of rounding of a pipe inlet on the loss coefficient is (c) very significant.
14-54C The effect of rounding of a pipe exit on the loss coefficient is (a) negligible.
14-55C Gradual expansion has a greater minor loss coefficient during pipe flow than gradual contraction. This is due to flow separation.
14-56C Another way of reducing the head loss associated with turns is to install turning vanes inside the elbows.
14-57C The loss coefficient is lower for flow through sharp turns in 90° miter elbows than it is for flow through smooth curved surfaces. Therefore, using miter elbows will result in a greater reduction in pumping power requirements.
14-58 Water is to be withdrawn from a water reservoir by drilling a hole at the bottom surface. The flow rate of water through the hole is to be determined for the well-rounded and sharp-edged entrance cases.
Assumptions 1 The flow is steady and incompressible. 2 The reservoir is open to the atmosphere so that the pressure is atmospheric pressure at the free surface.
Analysis The loss coefficient is KL = 0.5 for the sharp-edged entrance, and KL = 0.03 for the well-rounded entrance.
We take point 1 at the free surface of the reservoir and point 2 at the exit of the hole. We also take the reference level at the exit of the hole (z2 = 0). Noting that the fluid at both points is open to the atmosphere (and thus P1 = P2 = Patm) and that the fluid velocity at the free surface is zero (V1 = 0), the energy equation for a control volume between these two points (in terms of heads) simplifies to
![]()
where the head loss is expressed as ![]()
. Substituting and solving for V2 gives
![]()
Note that in the special case of KL = 0, it reduces to the Toricelli equation ![]()
, as expected. Then the volume flow rate becomes
![]()
Substituting the numerical values, the flow rate for both cases are determined to be
Well-rounded entrance: ![]()
Sharp-edged entrance: ![]()
Discussion The flow rate in the case of frictionless flow (KL = 0) is 1.36×10-3 m3/s. Note that the frictional losses cause the flow rate to decrease by 1.5% for well-rounded entrance, and 18.5% for the sharp-edged entrance.
14-59 Water is discharged from a water reservoir through a circular hole of diameter D at the side wall at a vertical distance H from the free surface. A relation for the “equivalent diameter” of the sharp-edged hole for use in frictionless flow relations is to be obtained.
Assumptions 1 The flow is steady and incompressible. 2 The reservoir is open to the atmosphere so that the pressure is atmospheric pressure at the free surface.
Analysis The loss coefficient is KL = 0.5 for the sharp-edged entrance, and KL = 0 for the “frictionless” flow. We take point 1 at the free surface of the reservoir and point 2 at the exit of the hole, which is also taken to be the reference level (z2 = 0). Noting that the fluid at both points is open to the atmosphere (and thus P1 = P2 = Patm) and that the fluid velocity at the free surface is zero (V1 = 0), the energy equation for a control volume between these two points (in terms of heads) simplifies to
![]()
where the head loss is expressed as ![]()
. Substituting and solving for V2 gives
![]()
Then the volume flow rate becomes
![]()
(1)
Note that in the special case of KL = 0 (frictionless flow), the velocity relation reduces to the Toricelli equation, ![]()
. The flow rate in this case through a hole of De (equivalent diameter) is
![]()
(2)
Setting Eqs. (1) and (2) equal to each other gives the desired relation for the equivalent diameter,
![]()
which gives
![]()
Discussion Note that the effect of frictional losses of a sharp-edged entrance is to reduce the diameter by about 10%. Also, noting that the flow rate is proportional to the square of the diameter, we have ![]()
. Therefore, the flow rate through a sharp-edged entrance is about 18% less compared to the frictionless entrance case.
14-60 Water is discharged from a water reservoir through a circular hole of diameter D at the side wall at a vertical distance H from the free surface. A relation for the “equivalent diameter” of the slightly rounded hole for use in frictionless flow relations is to be obtained.
Assumptions 1 The flow is steady and incompressible. 2 The reservoir is open to the atmosphere so that the pressure is atmospheric pressure at the free surface.
Analysis The loss coefficient is KL = 0.12 for the slightly rounded entrance, and KL = 0 for the “frictionless” flow.
We take point 1 at the free surface of the reservoir and point 2 at the exit of the hole, which is also taken to be the reference level (z2 = 0). Noting that the fluid at both points is open to the atmosphere (and thus P1 = P2 = Patm) and that the fluid velocity at the free surface is zero (V1 = 0), the energy equation for a control volume between these two points (in terms of heads) simplifies to
![]()
where the head loss is expressed as ![]()
. Substituting and solving for V2 gives
![]()
Then the volume flow rate becomes
![]()
(1)
Note that in the special case of KL = 0 (frictionless flow), the velocity relation reduces to the Toricelli equation, ![]()
. The flow rate in this case through a hole of De (equivalent diameter) is
![]()
(2)
Setting Eqs. (1) and (2) equal to each other gives the desired relation for the equivalent diameter,
![]()
which gives
![]()
Discussion Note that the effect of frictional losses of a slightly rounded entrance is to reduce the diameter by about 3%. Also, noting that the flow rate is proportional to the square of the diameter, we have ![]()
. Therefore, the flow rate through a slightly rounded entrance is about 5% less compared to the frictionless entrance case.
14-61 A horizontal water pipe has an abrupt expansion. The water velocity and pressure in the smaller diameter pipe are given. The pressure after the expansion and the error that would have occurred if the Bernoulli Equation had been used are to be determined.
Assumptions The flow is steady, horizontal, and incompressible.
Properties We take the density of water to be = 1000 kg/m3.
Analysis Noting that = const. (incompressible flow), the downstream velocity of water is
![]()
The loss coefficient for sudden expansion and the head loss can be calculated from

![]()
Noting that z1 = z2 and there are no pumps or turbines involved, the energy equation for the expansion section can be expressed in terms of heads as
![]()
Solving for P2 and substituting,

Therefore, despite the head (and pressure) loss, the pressure increases from 300 kPa to 319 kPa after the expansion. This is due to the conversion of dynamic pressure to static pressure when the velocity is decreased.
When the head loss is disregarded, the downstream pressure is determined from the Bernoulli equation to be
![]()
Substituting,
![]()
Therefore, the error in the Bernoulli equation is Error = P2, Bernoulli - P2 = 347 - 319 = 28 kPa
Note that the use of the Bernoulli equation results in an error of (347 - 319)/319 = 0.088 or 8.8%.
Discussion It is common knowledge that higher pressure upstream is necessary to cause flow, and it may come as a surprise that the downstream pressure has increased after the abrupt expansion, despite the loss. This is because the sum of the three Bernoulli terms which comprise the total head, consisting of pressure head, velocity head, and elevation head, namely [P/g + V2/g+ z], drives the flow. With a geometric flow expansion, initially higher velocity head is converted to downstream pressure head, and this increase outweighs the non-convertible and non-recoverable head loss term.
Chapter 14 Flow in Pipes
14-27
D = 0.2 cm
L = 15 m
Water
1.2 m/s
20°
20°
5 mm
3 m
Oil
tank
u(r) = 4(1-r2/R2)
u(r) = 4(1-r2/R2)
Air
12 ft3/s
Water
8 L/s
D
L = 400 ft
D = 4 cm
L = 30 m
D
b
a
D = 0.5 in
L = 120 ft
u(r) = umax(1-r2/R2)
R
r
0
umax
Oil
R
r
0
umax
R
r
0
umax
Air
0.15 m3/s
5 m
Glass cover
Collector plate
Insulation
D = 0.4 m
L = 300 m
(Icy lake, 0°C)
V
Oil
10°C
0.5 m/s
Air
7 m/s
20 cm
15 cm
V
7 m
Water
1.2 lbm/s
D = 0.75 in
D = 1.5 cm
L = 15 m
135 kPa
Oil
Glycerin
0.035 L/s
Ammonia
0.15 kg/s
Air duct
1 ft × 1 ft
L = 1 ft
D = 2 cm
L = 25 m
Air
60°F
1200 cfm
D = 5 mm
Air duct
0.2 m × 0.3 m
L = 40 m
Air
43°C
0.5 m3/s
L = 30 m
Glycerin
3.5 m/s
D = 5 cm
L = 10 m
80 tubes
1 cm
Water
1.5 m
16 cm
10 m/s
300 kPa
Water
Water
D
H
Water
D
H
Dequiv < D
Dequiv < D
Water
1.5 cm
3 m
8 cm
2
1
1
2
2
1
2
1
m, Vm