Analiza dokładności pomiarów
Charakterystyką dokładności instrumentów pomiarowych jest błąd średni pomiaru. Wykonywane pomiary bezpośrednie w terenie pośredniczą zwykle w wyznaczaniu pewnych wielkości, których wprost nie można zmierzyć, na przykład pole powierzchni działki jest wyznaczane na podstawie pomiaru długości boków działki. Błędy średnie pomiarów pośrednich są obliczane na podstawie prawa przenoszenia błędów przypadkowych.
Celem planowania dokładności pomiarów jest dobór instrumentów pomiarowych dla zapewnienia wymaganej dokładności wyznaczanych wielkości.
Błąd średni pomiaru.
Pomiar jest czynnością mającą na celu wyznaczenie wartości danej wielkości fizycznej. Pomiar może być bezpośredni lub pośredni. W pomiarze bezpośrednim dokonuje się porównania wartości mierzonej wielkości fizycznej z wartością wzorcową, na przykład jednego metra. W pomiarze pośrednim mierzy się inne wielkości fizyczne związane znaną zależnością funkcyjną z wielkością mierzoną. Przykładami pomiarów bezpośrednich są pomiary długości budynku, jak również odległości między ścianami, posadzką a sufitem za pomocą podręcznych dalmierzy laserowych.

Podczas pomiaru za pomocą dalmierzy laserowych czerwony promień światła laserowego ułatwia lokalizację celu z dokładnością plamki laserowej, której średnica dla odległości 50 i 100 m wynosi odpowiednio 6; 30 i 60 mm. Czas trwania pomiaru wynosi 3 sekundy. Dalmierz jest wyposażony w tarczę celowniczą ustawianą na narożnikach budynków, w przypadku pomiaru długości ścian zewnętrznych. Tarcza ta poprawia również warunki pomiaru dla nieregularnych powierzchni lub powierzchni o małym współczynniku odbicia a także w przypadku pomiaru w pomieszczeniach zadymionych, zapylonych lub zamglonych. W pamięci wewnętrznej dalmierza można rejestrować trzy różne wymiary, na przykład długość, szerokość i wysokość pomieszczenia, co umożliwia obliczenie i wykazanie na ekranie dalmierza powierzchni i kubatury.
Z doświadczenia wiadomo, że wynik pomiaru pewnej wielkości, na przykład odległości x za pomocą dalmierza DISTO, przyjmuje wartość z przedziału a < x < b, którego wielkość zależy od precyzji (charakteryzowanej błędem średnim m = 2 mm) użytego przyrządu pomiarowego.
x1= 4.006 [m]
x2 = 4.002 [m]
x3 = 4.008 [m]
x4 = 4.004 [m]
n = 4
Odchylenie
![]()
wyniku pomiaru x od wartości oczekiwanej ![]()
nazywamy błędem pomiaru (błędem pozornym). Błąd ten ma charakter przypadkowy, zmienia się w czasie wykonywania pomiarów zarówno, co do wielkości jak i znaku. Zwykle za wartość oczekiwaną ![]()
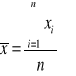
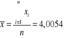
przyjmujemy średnią arytmetyczną 
wartości przeprowadzonych pomiarów:

, ![]()
[m].
Błędy poszczególnych pomiarów ![]()
wyniosą, więc:
![]()
; ![]()
; ![]()
; ![]()
.
Odchylenie standardowe, nazywane błędem średnim pomiaru
![]()
jest obliczane na podstawie wartości oczekiwanej sumy kwadratów błędów pomiarów.
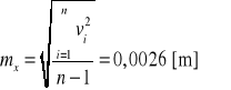
Uzyskana na podstawie tylko czterech wyników pomiarów wartość błędu średniego pojedynczego pomiaru ![]()

jest praktycznie równa błędowi średniemu dalmierza DISTO
![]()
Błędowi średniemu średniej arytmetycznej odpowiada wartości:
![]()

.
Pomiary, których odchyłki v przekraczają, co do bezwzględnej wartości 2 lub 3 krotnie ich błąd średni:
![]()
![]()
![]()
![]()
![]()
.
są uznawane za odstające: W podanym przykładzie brak pomiarów odstających, wszystkie pomiary spełniają kryterium ![]()
.
W przypadku wystąpienia pomiarów odstających parametry rozrzutu ![]()
, ![]()
są obliczane iteracyjnie, odrzucając na każdym kroku pomiary odstające. W każdym kroku iteracji może się zmieniać zestaw usuwanych pomiarów odstających, pomiar raz usunięty może wrócić do zbioru, na podstawie, którego oblicza się parametry rozrzutu. Postępowanie iteracyjne kontynuuje się do momentu, gdy parametry rozrzutu otrzymywane w kolejnych iteracjach przestaną się różnić znacząco, co oznacza, że zbiory w kolejnych iteracjach zawierają te same, lub prawie te same pomiary.
Rozkład normalny
W przypadku dużej liczby na przykład n = 20 wyników pomiarów odległości za pomocą dalmierza DISTO, o błędzie średnim pomiaru m = 0,002, pogrupowanych w 5-ciu przedziałach o szerokości ![]()
i środkach X:
|
|
x8 = 4,005 |
|
|
|
|
x9 = 4,006 |
|
|
|
x3 = 4,003 |
x10 = 4,005 |
|
|
|
x4 = 4,004 |
x11 = 4,006 |
x15 = 4,007 |
|
|
x5 = 4,004 |
x12 = 4,005 |
x16 = 4,008 |
|
xl = 4,002 |
x6 = 4,003 |
x13 = 4,005 |
x17 = 4,008 |
x19 = 4,009 |
x2 = 4,001 |
x7 = 4,004 |
x14 = 4,006 |
x18 = 4,007 |
x20 = 4,010 |
X1= 4,0015 |
X2 = 4,0035 |
X3 = 4,0055 |
X4 = 4,0075 |
x5 = 4,0095 |
otrzymuje się wartość średnią i jej błąd średni:

, 
;
gęstości wyników pomiarów w poszczególnych przedziałach:
![]()
,![]()
,![]()
,![]()
![]()
histogram gęstości wyników pomiarów w postaci prostokątów wzniesionych nad osią x o wysokościach ![]()
dobranych tak, aby pola prostokątów były równe gęstościom pomiarów w poszczególnych przedziałach:
![]()
; ![]()
; ![]()
;![]()
;![]()
;
krzywą Gaussa nałożoną na histogram gęstości, nazywaną funkcją gęstości wyników pomiaru

;
![]()
- wartość w punkcie ekstremalnym ![]()
.
![]()
- wartość w punktach przegięcia ![]()
.
Pomiary, histogram i krzywa Gaussa
Pola obszarów (prawdopodobieństwa wystąpienia wyniku pomiaru ![]()
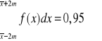
ograniczonych krzywą Gaussa, w przedziałach pojedynczego ![]()
, podwójnego, ![]()
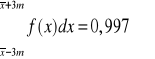
i potrójnego ![]()
błędu średniego pomiaru m:



.
Funkcja gęstości ma tę własność, że im większa jest jej wartość, tym większe jest prawdopodobieństwo wystąpienia wyniku pomiaru z niewielkiego otoczenia punktu ![]()
i odpowiadającego tej wartości. Największe prawdopodobieństwo wystąpienia wyniku pomiaru jest w otoczeniu wartości średniej ![]()
. Gęstość pomiarów p w wybranym przedziale (a, b) jest równa polu powierzchni między osią x i krzywą Gaussa ![]()
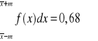
, ograniczonej odciętymi a i b. Pole to jest nazywane prawdopodobieństwem wystąpienia wyniku pomiaru w przedziale (a, b). Prawdopodobieństwo wystąpienia pomiaru w przedziale ![]()
wynosi 1. Prawdopodobieństwo wystąpienia pomiaru w określonym przedziale ![]()
nazywane jest poziomem ufności ![]()
, gdzie ![]()
jest współczynnikiem istotności. Prawdopodobieństwa wystąpienia pomiaru w przedziałach ![]()
, podwójnego, ![]()
i potrójnego ![]()
błędu średniego pomiaru m wynoszą 0,683, 0,954 i 0,997.
W przypadku zgodności histogramu wyników pomiaru z krzywą Gaussa:
1. wyniki mają rozkład normalny ![]()
,
2. standaryzowany błąd ![]()
ma rozkład normalny zerojedynkowy v ~ N(0, 1),
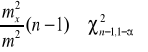
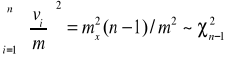
3. suma kwadratów

ma rozkład chi-kwadrat o liczbie stopni swobody równej wartości oczekiwanej
![]()
.
W tym przypadku, alternatywą deterministycznego testu zgodności pomiarów ![]()
v |
1 |
-0.003 |
|
2 |
-0.004 |
|
3 |
-0.002 |
|
4 |
-0.001 |
|
5 |
-0.001 |
|
6 |
-0.002 |

jest test statystyczny:

na zadanym poziomie ufności, zwykle ![]()

p = 0,68, 0,70, 0,997- poziom ufności (![]()
)
W przypadku pozytywnego wyniku testu odchyłki wyników pomiaru od wartości średniej na ogół zawierają się wewnątrz potrójnego przedziału ich błędu średniego ![]()
:
![]()

błędy lub omyłki.
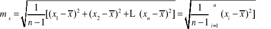
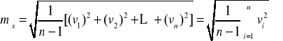
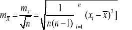
Załóżmy, że n - krotnie powtórzono bezpośredni pomiar wielkości x (w jednakowych i stabilnych warunkach) i otrzymano serię (próbę) wyników, które oznaczamy symbolicznie jako x1, x2,...,xn . Zakładamy również, że mierzona wielkość x jest zmienną losową, a x1,x2,...,xn jest n - elementową (skończoną) próbą z nieskończonej populacji, którą tworzą wszystkie możliwe wyniki pomiarów. Do próby skończonej stosuje się metody rachunku prawdopodobieństwa i statystyki matematycznej. W charakterze najlepszej oceny wartości rzeczywistej (wartości oczekiwanej Ex) przyjmuje się średnią arytmetyczną 
. Natomiast za miarę niepewności pojedynczego pomiaru z próby x1,x2,...,xn przyjmujemy liczbę (![]()
- wartość oczekiwaną sumy kwadratów błędów pomiarów ![]()
):


którą nazywamy błędem średnim pojedynczego pomiaru (wielkość (mx)2 nazywamy także wariancją). Oznacza to, że ocenę niepewności zmierzonej wartości xi jest mx, a wartość i-tego pomiaru z próby x1,x2,...,xn wynosi
![]()
To oznacza, że, każdemu wynikowi pomiaru możemy w ten sposób przypisać błąd średni mx.
Błędem średnim ![]()
, obarczona jest również wartość średnia ![]()
. Oceną tego błędu jest

Najlepszym oszacowaniem zmierzonej wartości wielkości x jest, więc
![]()
tj. miarą niepewności x jest błąd średni średniej arytmetycznej.
2 (niezależnych tj. ![]()
i jednakowej dokładności ![]()
)


Precyzja to stopień doskonałości narzędzi i metod pomiarowych. Dokładność to stopień doskonałości pomiaru, osiągnięty dzięki precyzji narzędzi i metod pomiarowych. Znajomość precyzji pozwala wyznaczyć dokładność oczekiwaną pomiaru - błąd średni pojedynczego pomiaru - m, natomiast wyniki pomiaru tzw. dokładność osiągniętą - błąd średni pojedynczego pomiaru - mx. Jeśli dokładność osiągnięta jest znacznie mniejsza od dokładności oczekiwanej, to można przypuszczać, że w spostrzeżeniach tkwią poza błędami przypadkowymi inne błędy lub omyłki.
Na podstawie, Geodezji Edwarda Osady
1
b
4,507m ± 2mm
x = 4,006m ± 2mm
a
![]()
; m = 0,002 m - błąd średni pomiaru
Ex - wartość oczekiwana wyniku pomiaru
v = x - Ex
błąd pomiaru
xsr
34,1%
34,1%
13,6%
13,6%
2,23%
0,135%
2,23%
0,135%

xsr-2m
xsr - m
xsr+m
ε
xsr+3m
xsr-3m
![]()
xsr+2m
Disto
Wynik pomiaru
x
x1
x2
x4
x3