Jakub Sito dr J. Girulska
II rok fizyki
czwartek 15:30
Ćwiczenie nr 61
Wyznaczanie ogniskowych soczewek cienkich za pomocą ławy optycznej
I Wstęp teoretyczny
Soczewką nazywamy bryłę przezroczystego materiału ograniczoną dwoma powierzchniami sferycznymi, których środki krzywizny leżą na jednej osi. Oś łącząca środki krzywizny obydwu powierzchni nazywamy osią optyczną soczewki. Każdy promień świetlny ulega dwukrotnie załamaniu na powierzchniach ograniczających soczewkę. Na rysunkach załamanie dwukrotne zastępujemy jednokrotnym załamaniem na tzw. powierzchni środkowej, czyli powierzchni prostopadłej do osi optycznej przechodzącej przez punkt leżący na osi optycznej w środku grubości soczewki. Wiązka promieni biegnących równolegle do osi optycznej, po przejściu przez soczewkę skupia się w jednym punkcie zwanym ogniskiem. Odległość ogniska od powierzchni środkowej nazywamy ogniskową soczewki f.
Zależnie od wzajemnego położenia powierzchni, soczewki dzieli się na: dwuwypukłe, płasko-wypukłe, dwuwklęsłe, płasko-wklęsłe, wklęsło-wypukłe.
Ze względu na działanie soczewki możemy podzielić na :
- skupiające - dwa równoległe promienie po przejściu przez soczewkę przecinają się;
- rozpraszające - dwa równoległe promienie po przejściu przez soczewkę rozbiegają się.
Wady soczewek :
aberracja sferyczna - zjawisko zachodzące wtedy , gdy promienie przechodzące prze różne strefy soczewki dochodzą do różnych ognisk. Promienie bliskie osi optycznej są mniej załamywane i dochodzą do ogniska leżącego dalej od soczewki niż ognisko promieni brzegowych;
koma - jest aberracją sferyczną w przypadku, gdy przedmiot znajduje się w pewnej odległości od osi optycznej. Obrazem obiektu punktowego jest przecinek (kometa);
dystorsja - poprzeczne powiększenie liniowe w obrazie zmienia się wraz z odległością od osi optycznej, co sprawia, że obiekt np. kwadratowy wygląda jak beczułka;
aberracja chromatyczna - polega na powstawaniu barwnych i rozmytych obwódek wokół obrazu i na zniekształceniu rozkładu barw obrazu w stosunku do przedmiotu. Spowodowane to jest powstawaniem różnych obrazów w różnych punktach, co z kolei wynika z zależności współczynnika załamania od długości fali. Ogniska dla promieni różnych barw znajdują się w różnych punktach. Miarą aberracji chromatycznej jest różnica ogniskowych dla światła fioletowego i czerwonego;
astygmatyzm - polega na tym, że wiązki biegnące ukośnie do osi optycznej nie dają obrazów stygmatycznych tzn. nie każdemu punktowi obiektu odpowiada dokładnie punkt obrazu optycznego.
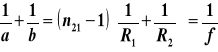
Równanie soczewki cienkiej :

gdzie ![]()
- względny współczynnik załamania materiału soczewki, ![]()
i ![]()
- promienie krzywizny powierzchni przedniej i tylnej (względem przedmiotu), ![]()
i ![]()
- odległość zwierciadła od źródła światła i jego obrazu.
Niektóre z metod wyznaczania ogniskowych różnych soczewek:
1) Pomiar ogniskowej w oparciu o równanie soczewkowe. W tym przypadku korzystając z ławy optycznej i świecącego przedmiotu dobieramy warunki w ten sposób, by na ekranie uzyskać obraz. Mierząc odległości przedmiotu a i obrazu b od soczewki obliczamy ogniskową z równania soczewki cienkiej;
2) Metoda Bessela. Występujące w równaniu soczewki cienkiej wielkości a i b można zmienić. W rzeczywistości zamianie takiej odpowiada takie przesunięcie soczewki przy stałej odległości przedmiotu i ekranu, by odległość obrazu wynosiła a, zaś odległość przedmiotu b;
3) Zastosowanie lunety. Wiązką światła wybiegająca z ogniska po przejściu przez soczewkę jest wiązka równoległą. Ustawiając więc przedmiot w ognisku nie otrzymamy obrazu. Obraz ten uzyskać możemy za pomocą lunety nastawionej na nieskończoność. Ostry obraz w lunecie otrzymamy wtedy, gdy przedmiot znajduje się w ognisku soczewki.
II Pomiary
A. Pomiar ogniskowej na podstawie odległości przedmiotu i obrazu od soczewki.
Ustawiono na ławie optycznej ekran w odległości l=60cm od przedmiotu. Soczewkę skupiającą ustawiono między ekranem a przedmiotem i przesuwano tak, aby otrzymać obraz rzeczywisty pomniejszony i powiększony. Następnie zmieniano l o 20 cm i notowano odległości przedmiotu a i obrazu b od soczewki w celu uzyskania pięciu pomiarów.
C. Pomiar ogniskowej soczewki skupiającej metodą Bessela.
Ustawiono na ławie optycznej ekran w odległości l=130cm. Następnie soczewkę skupiającą, ustawioną między ekranem a przedmiotem, przesuwano tak, aby otrzymać ostry powiększony obraz przedmiotu i zanotowano odległość a, dalej przesuwano soczewkę tak, aby otrzymać ostry pomniejszony obraz przedmiotu i zanotowano odległość b.
D. Pomiar ogniskowej soczewki rozpraszającej.
Ustawiono na ławie optycznej ekran w odległości l=130cm. Następnie soczewkę skupiającą i rozpraszającą ustawiono między ekranem a przedmiotem i przesuwano tak, aby otrzymać ostry powiększony obraz przedmiotu. Zanotowano odległość a, dalej przesuwano soczewkę tak, aby otrzymać ostry pomniejszony obraz przedmiotu i zanotowano odległość b.
III Opracowanie wyników pomiarów.
A. Pomiar ogniskowej na podstawie odległości przedmiotu i obrazu od soczewki.
Wykorzystując przeprowadzone pomiary oraz biorąc pod uwagę równanie soczewki cienkiej:
![]()
Obraz powiększony
l [cm] |
60 |
80 |
100 |
120 |
140 |
a [cm] |
19 |
16 |
15 |
15 |
125 |
b [cm] |
41 |
64 |
85 |
105 |
15 |
f [cm] |
12,98 |
12,8 |
12,75 |
13,13 |
13,39 |
fśr [cm] |
13,01 |
Obraz pomniejszony
l [cm] |
60 |
80 |
100 |
120 |
140 |
a [cm] |
41 |
64 |
84 |
105 |
14 |
b [cm] |
19 |
16 |
16 |
15 |
126 |
f [cm] |
12,98 |
12,8 |
13,44 |
13,13 |
12,6 |
fśr [cm] |
12,99 |
Biorąc pod uwagę powyższe obliczenia wartość średnia ogniskowej wynosi:
![]()
Wykresy:
Wyznaczanie ogniskowej f metodą graficzną (obraz powiększony) - Wykres 1.
Wyznaczanie ogniskowej f metodą graficzną (obraz pomniejszony) - Wykres 2.
B. Wyznaczanie ogniskowej z wykresu zależności między powiększeniem (M) i odległością obrazu od soczewki (b).
Wykorzystując pomiary wykonane w metodzie A i wzór :
![]()
obliczamy wartości powiększenia M:
Obraz powiększony
b [cm] |
41 |
64 |
85 |
105 |
15 |
M |
2,15 |
3,92 |
5,54 |
7,08 |
0,15 |
Obraz pomniejszony
b [cm] |
19 |
16 |
16 |
15 |
126 |
M |
0,46 |
0,23 |
0,23 |
0,15 |
8,69 |
Wykresy:
Wyznaczanie ogniskowej f z wykresu zależności M od b (obraz powiększony) - Wykres 3.
Wyznaczanie ogniskowej f z wykresu zależności M od b (obraz pomniejszony) - Wykres 4.
C. Pomiar ogniskowej soczewki skupiającej metodą Bessela.
Wykorzystując pomiary wykonane w metodzie C i wzór :
![]()
wyznaczamy ogniskową soczewki skupiającej f1:
![]()
D. Pomiar ogniskowej soczewki rozpraszającej.
Wykorzystując pomiary wykonane w metodzie D i wzór :
![]()
wyliczamy ogniskową fu układu soczewek: skupiającej i rozpraszającej:
![]()
Następnie wykorzystując obliczenia z poprzednich pomiarów, czyli: ![]()
i ![]()
oraz wzór:
![]()
mamy:
![]()
IV. Ocena błędów.
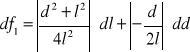
A.
Przekształcając równanie soczewki:
![]()
na ![]()
obliczamy błąd metodą różniczki zupełnej dla pomiaru pierwszego:


czyli wartość ogniskowej fp1 dla pomiaru pierwszego wynosi:
|
|
|
C.
Obliczamy błąd różniczką zupełną dla wartości ogniskowej soczewki skupiającej f1:
![]()


czyli wartość ogniskowej soczewki skupiającej f1 wynosi:
|
|
|
D.
Obliczamy błąd różniczką zupełną dla wartości ogniskowej soczewki rozpraszającej f2:
![]()


czyli wartość ogniskowej soczewki rozpraszającej f2 wynosi:
|
|
|
V. Wnioski
Na błąd pomiarowy wpłynęła między innymi:
mało precyzyjna podziałka umieszczona na ławie optycznej;
nieprofesjonalne ustawianie ostrości obrazu;
brak statyczności w osadzeniu soczewki na ławie, co pociągało za sobą błąd w dokładnym odczytaniu pozycji środka soczewki;
słabe oświetlenie przedmiotu.