Zestawienie tabelaryczne wyników pomiarów.
Dla siatki dyfrakcyjnej odbiciowej.
n |
Yn [ m ] |
Yn2 [ m ] |
δyn 2 [ m ] |
|
0 |
0,082 |
0,00672 |
0,00017 |
|
1 |
0,13 |
0,0169 |
0,0003 |
|
2 |
0,165 |
0,0272 |
0,0004 |
|
3 |
0,193 |
0,0373 |
0,0004 |
|
4 |
0,218 |
0,04792 |
0,00045 |
|
5 |
0,242 |
0,0586 |
0,0005 |
|
6 |
0,262 |
0,0686 |
0,0006 |
|
7 |
0,28 |
0,0789 |
0,0006 |
|
8 |
0,298 |
0,0888 |
0,0006 |
|
9 |
0,315 |
0,09923 |
0,00065 |
|
10 |
0,332 |
0,1102 |
0,0007 |
|
11 |
0,347 |
0,1204 |
0,0007 |
|
12 |
0,361 |
0,13032 |
0,00075 |
|
13 |
0,375 |
0,14063 |
0,00075 |
|
14 |
0,39 |
0,1521 |
0,0008 |
|
15 |
0,403 |
0,16241 |
0,00085 |
|
16 |
0,417 |
0,1720 |
0,0009 |
|
17 |
0,429 |
0,1830 |
0,0009 |
|
Legenda do tabelki:
n - numer punktu na ekranie odpowiadający interferującym promieniom
lasera
y n - jest to odległość (wysokość) każdego punktu od położenia zerowego

yn 2 - podniesienie każdej wartości wielkości yn do kwadratu
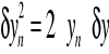
∂ yn 2 - błąd pomiarowy dla yn 2 , liczony ze wzoru :
gdzie :
yn — jest znane.
δy - błąd pomiaru wielkości yn ; δy= 0,001 m
Dla siatki dyfrakcyjnej transmisyjnej.
n |
yn [ m ] |
δy [ m [ |
1 |
0,358 |
0,001 |
2 |
0,738 |
0,001 |
3 |
1,118 |
0,001 |
Legenda do tabeli :
n - numer punktu na ekranie odpowiadający interferującym promieniom
lasera.
y n - jest to odległość (wysokość) każdego punktu od położenia zerowego.
δy - błąd pomiaru dla yn , wynosi stale 0,001 m , ponieważ pomiarów
dokonano za pomocą metrówki o działce elementarnej 1 mm .
Aproksymacja wyników pomiarów.
Aproksymację wyników dla siatki dyfrakcyjnej odbiciowej przeprowadziliśmy następującą zależnością :
![]()
Po testowaniu wyników przy pomocy programu „Matex” otrzymano następujące dane:
liczba iteracji: 10
wartość statystyki testowej chi2 : 5,37
liczba stopni swobody (ndf): 16
parametry wraz z błędami: A = 103,41 * 10-4 δ = (+/-) 0,23 * 10-4
B = 6,61 * 10 -3 δB = (+/-) 0,14 * 10 -3
3. Prawdopodobieństwo hipotezy:
Dla zbadania prawdopodobieństwa hipotezy wykorzystujemy wzór:
Dla dokonanych pomiarów iloraz chi2 przez liczbę stopni swobody (ndf) wyniósł 0,34 ; (iloraz ostro mniejszy od jedności).
Na podstawie otrzymanych chi2 i liczby stopni swobody z tabel załączonych do dokumentacji programu „Matex” odczytać można poziom istotności :
poziom istotności pomiarów wynosi 0,01
Poziom ufności, czyli prawdopodobieństwo z jakim można przyjąć daną hipotezę wynosi:
1-
Na podstawie powyższego wzoru obliczamy poziom ufności dla wody i dla cieczy:
Poziom ufności wynosi : 9,99
Dana hipoteza została przyjęta z dużym prawdopodobieństwem
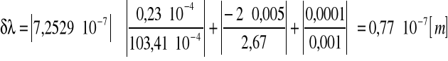
Obliczanie wartości ` λ ` i ` δλ `.

Obliczenia wartości λ dokonano według wzoru :
Obliczenia wartości δλ dokonano za pomocą pochodnej logarytmicznej :


gdzie :
λ -- długość wyliczonej przez nas fali.
δA - błąd parametru A wzięty z aproksymacji .
δL - błąd pomiaru odległości L .
δd - błąd wielkości d .
![]()
Ostateczny zapis :
Porównanie otrzymanej wartości z wynikiem tablicowym.
Długość światła dla danego lasera wynosi :


Aby porównywane wyniki można było uznać za zgodne musi być spełniona następująca nierówność .
![]()

Wniosek : Porównywane wyniki są zgodne.
5. Aproksymacja wyników pomiarów dla siatki dyfrakcyjnej.
Aproksymację wyników przeprowadziliśmy następującą zależnością:
![]()
Po testowaniu wyników przy pomocy programu „Matex” otrzymano następujące dane:
liczba iteracji: 10
wartość statystyki testowej chi2 : 3,447*10 -20
liczba stopni swobody (ndf): 1
parametry wraz z błędami: A= 38,0*10 -3 δ = (+/-) 0,7*10 -3
B= -2,20*10 -2 δ = (+/-) 0,15*10 -2
6. Prawdopodobieństwo hipotezy:
Dla zbadania prawdopodobieństwa hipotezy wykorzystujemy wzór:
Dla dokonanych pomiarów iloraz chi2 przez liczbę stopni swobody (ndf) wyniósł 3,447*10 -20 tak więc hipotezę uznajemy za prawdziwą (iloraz ostro mniejszy od jedności).
Na podstawie otrzymanych chi2 i liczby stopni swobody z tabel załączonych do dokumentacji programu „Matex” odczytać można poziom istotności :
poziom istotności pomiarów wynosi poniżej 0,01
Poziom ufności, czyli prawdopodobieństwo z jakim można przyjąć daną hipotezę wynosi:
1-
Na podstawie powyższego wzoru obliczamy poziom ufności , który wynosi : 9,99
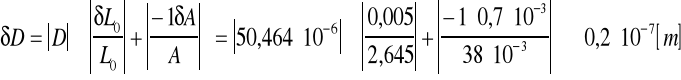
Obliczanie wartości ` D ` i ` δD `.

Obliczenia wartości D dokonuje wg. wzoru :

Obliczenia wartości δD dokonano za pomocą pochodnej logarytmicznej.
Ostateczny zapis :
![]()
8. Wnioski
Siatka dyfrakcyjna odbiciowa.
Hipotezę o stopniu ufności 9,99 można przyjąć z bardzo małym ryzykiem.
W największym stopniu na błąd wielkości λ wpływa błąd odczytania ok. 10%,
w mniejszym błąd odczytania odległości od ekranu ok. 3%,a w najmniejszym
błąd parametru A ok. 2% .
Siatka dyfrakcyjna transmisyjna.
Wartość χ 2 jest liczbą bardzo małą (rzędu a*10 -20),toteż stopień ufności dla tej
hipotezy jest większy niż 99,9.
W największym stopniu na błąd wielkości D wpływa błąd odczytania odległości siatki dyfrakcyjnej od ekranu ok. 2% , a w najmniejszym
błąd parametru A ok. 0,1% .
1
5

![]()


![]()
![]()
![]()
![]()
![]()
![]()

![]()