Cel ćwiczenia
Celem ćwiczenia jest wyznaczenie współczynnika wydatku ![]()
i sporządzenie charakterystyki przelewu mierniczego.
Podstawy teoretyczne
Przelewem nazywamy przegrodę umieszczoną w kanale otwartym, która spiętrza płynącą wodę i powoduje jej przelewanie się przez przegrodę.
Rozróżniamy przelewy ze względu:
na szerokość korony (o ostrej krawędzi, o kształtach praktycznych, o szerokiej koronie)
w zależności od położenia zwierciadła wody dolnej (niezatopione i zatopione)
na kształt wycięcia (prostokątne, trójkątne, paraboliczne, trapezowe)
na usytuowanie w planie (proste, ukośne, boczne)
od nachylenia ścianki piętrzącej (pionowo, ukośnie)

Rysunek i opis stanowiska pomiarowego
1. Zbiornik dolny 2. Podziałka 3. Zbiornik górny 4. Igła pomiarowa
5. Rura napełniająca 6. Przegroda
Opis przyrządów i metody pomiarowej
Pomiary i obliczenia
Pomiary:
Rzędna krawędzi przelewu HP = 40.65 cm
Szerokość zbiornika górnego B = 28 cm ![]()
Szerokość przelewu 14.4 = 5 cm ![]()
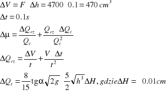
Powierzchnia dolnego zbiornika F = 4700 cm2
Przyrost warstwy cieczy w zbiorniku dolnym ![]()
Obliczenia:

![]()
dla przekroju trójkątnego wzór na Q t ma postać
Przykładowe obliczenie :

Rachunek błędów:

Zestawienie rachunku błędów
|
|
|
|
|
|
|
|
|
33.12 |
7.53 |
47000 |
1557,8 |
2122,14 |
0,734 |
20,8 |
7,05 |
|
33.68 |
6.97 |
47000 |
1383,7 |
1749,32 |
0,727 |
16,2 |
6,28 |
|
31.71 |
8.94 |
47000 |
2546,1 |
3259,35 |
0,78 |
39,3 |
9,12 |
|
32.0 |
8.65 |
47000 |
2326,7 |
3001,43 |
0,775 |
34,8 |
8,68 |
|
32.38 |
8.27 |
47000 |
2028,5 |
2682,57 |
0,756 |
29,04 |
8,11 |
|
32.99 |
7.66 |
47000 |
1639,3 |
2214,93 |
0,740 |
22,11 |
7,23 |
|
35.65 |
5.0 |
47000 |
517,2 |
762,45 |
0,67 |
5,74 |
3,82 |
|
37.77 |
2.88 |
47000 |
96,3 |
191,99 |
0,50 |
1,0 |
1,67 |
|
36.99 |
3.66 |
47000 |
209,5 |
349,53 |
0,59 |
2,19 |
2,39 |
|
Uwagi i wnioski
Ponieważ przeprowadzone przez nas pomiary zostały wykonane w zbyt małym zakresie zmienności μ , niewystarczającym do określenia kształtu wykresu, a jedynie jego tendencji (rosnącej) wykonaliśmy trzy dodatkowe pomiary w dniu 16.11.98.
Na błędy pomiaru największy wpływ ma błąd związany z odczytem poziomu cieczy w zbiorniku dolnym ze względu na problem z dokładnym odczytaniem wartości z podziałki milimetrowej. Aby zminimalizować ten błąd należałoby napełniać zbiornik dolny do np. 141000cm3 ( jednak czas trwania zajęć nie pozwalał nam na takie postępowanie).
